6.3齒向載荷分布系數KHβ,KFβ
6.3.1KHβ的定義及影響因素
齒向載荷分布系數KHβ是考慮沿齒寬方向載荷分布不均勻對齒面接觸應力影響的系數,其定義為:
式中:ωmax——單位齒寬最大載荷,N/mm;
ωm——單位齒寬平均載荷,N/mm;
Fm——分度圓上平均計算切向力,N;Fm=FtKAKV。
式中:b——齒寬,mm;對人字齒輪或雙斜齒輪,應取兩個斜齒輪寬度之和。影響齒向載荷分布的主要因素有:
a)齒輪副的接觸精度(GB 10095–88 第Ⅲ公差組精度),它主要取決于齒輪加工誤差、箱體鏜孔偏差、軸承的間隙和誤差、大小輪軸的平行度、跑合情況等;
b)輪齒嚙合剛度、齒輪的尺寸結構及支承型式及輪緣、軸、箱體及機座的剛度;
c)輪齒、軸、軸承的變形,熱膨脹和熱變形(這對高速寬齒輪尤其重要);
d)切向、軸向載荷及軸上的附加載荷(例如帶或鏈傳動);
e)設計中有無元件變形補償措施(例如齒向修形)。
由于影響因素眾多,確切的載荷分布系數應通過實際的精密測量和全面分析已知的各影響因素的量值綜合確定。這時,要論證應用方法的精確度和可靠性,并明確其前提條件。這種方法特別適用于調質小齒輪寬徑比b/d>1.5或硬齒面小齒輪b/d>1.2的重要齒輪裝置的校核計算。
各影響因素引起輪齒沿齒寬的綜合變形、位移和制造誤差的合成量稱初始嚙合齒向誤差(跑合前輪齒嚙合齒向誤差)以表示Fβx表示。它是決定齒向載荷分布系數的重要數據。在通過實測或綜合的精確計算得到初始嚙合齒向誤差Fβx時,可按式(56)至式(60)求得齒向載荷分布系數KHβ值。
當按上述方法得到的嚙合齒向誤差由齒向修形補償的高精度齒輪副,在給定的運行條件下,其齒向載荷接近均勻分布,KHβ接近于1。
在無法按上述方法確定KHβ時,可按本標準提供的下述兩種方法——一般方法或簡化方法近似計算齒向載荷分布系數。
6.3.2KHβ計算的一般方法
KHβ計算的一般方法適用條件列于6.3.2.1,計算公式按6.3.2.2。對于符合6.3.2.7中條件的一些典型結構齒輪裝置,如單對齒輪、軋機齒、簡單行星齒輪,其可KHβ按6.3.2.7所列公式計算。
6.3.2.1基本假定和適用范圍
a)沿齒寬將輪齒視為具有嚙合剛度CY的彈性體,載荷和變形都呈線性分布(參見圖4);
b)軸齒輪的扭轉變形按載荷 沿齒寬均布計算,彎曲變形按載荷集中作用于齒寬中點計算,沒有其他額外的附加載荷;
c)箱體、軸承、大齒輪及其軸的剛度足夠大,其變形可忽略;
d)等直徑軸或階梯軸, dsh為與實際軸產生同樣彎曲變形量的當量軸徑;
e)軸和小齒輪的材料都為鋼;小齒輪軸可以是實心軸或空心軸(其內徑應﹤0.5dsh)齒輪的結構支承形式見圖5,偏心距s/l≤0.3。
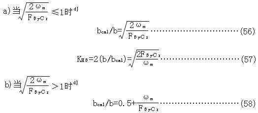
6.3.2.2KHβ的計算公式
KHβ可用式(57)或式(59)計算
采用說明:
4]ISO 6336原判別式為bca1/b在設計時為未知,故改用此判別式。
上述各式中:bca1——計算齒寬,見圖4;
Cy——輪齒嚙合剛度,見6.5;
Fβy——跑合后嚙合齒向誤差,μm;
ωm——計算見式(55)。
Fβy=Fβx-yβ=Fβxxβ…………………………………………(60)
式中:Fβx——初始嚙合齒向誤差,μm,見6.3.2.3;
yβ——齒向跑合量,μm,見6.3.2.6;
Xβ——齒向跑合系數,見6.3.2.6.
當KHβ>1.5時,通常應采取措施降低KHβ值。
|
K′ |
圖號 |
結構示圖 |
|
剛性 |
非剛性 |
|
0.48 |
0.8 |
a) |
 s/l<0.3 |
|
-0.48 |
-0.8 |
b) |
 s/l<0.3 |
|
1.33 |
1.33 |
c) |
 s/l<0.5 |
|
-0.36 |
-0.6 |
d) |
 s/l<0.3 |
|
-0.6 |
-1.0 |
e) |
 s/l<0.3 |
注
1 對人字齒輪或雙斜齒輪,圖中實、虛線各代表半邊斜齒輪中點的位置,S按用實線表示的變形大的半邊斜齒輪的位置計算,b取單個斜齒輪寬度。
2 圖中,d1/dsh ≥1.15為剛性軸,d1/dsh <1.15為非剛性軸。通常采用鍵聯接的套裝齒輪都屬非剛性軸。
3 齒輪位于軸承跨距中心時(S≈0),最好按6.3.2.7的公式計算。
4 當采用圖5以外的結構布置型式或s/l超過圖5規定的范圍,或軸上作用有皮帶輪或鏈輪之類的附加載荷時,推薦進一步的分析。
6.3.2.3初始嚙合向誤差KHβ
可據KHβ可據不同情況分別按式(61)~(63)計算。
a)在載荷作用下沒達到全齒寬接觸或未能驗證有良好的接觸長度和位置時
Fβx=1.33fah+fma; Fβx≥Fβxmin………………………………………………(61)
b)當已證實達到所希望的接觸斑點時(例如彩齒向修形或裝配時調整、對研、部分加載跑合、精確計算鼓形量或齒端修薄量等方法,使彈性變形和制造誤差相互補償)
Fβx=|1.33fah-fma|; Fβx≥Fβxmin……………………………………………(62)5]
c)在載荷作用下達到理想的接觸斑點時
Fβx=Fβxmin……………………………………………(63)
上述各式中:Fβxmin=max{(0.005mm·μm /N)ωm,0.5Fβ}……………………………(64)
即Fβxmin取0.005ωmt 0.5 Fβ二者中之大值。μm;
fsh——綜合變形產生的嚙合齒向誤差分量,μm,見6.3.2.4;
fma——制造、安裝誤差產生的嚙合齒向誤差分量,Um,見6.3.2.5;
Fβ——齒向誤差,μm;
Fβ6——GB10095-88的6級精度的齒向公差Fβ,μm.
6.3.2.4綜合變形產生的嚙合齒向誤差分量fsh
fsh——是考慮小齒輪和小齒輪軸的彎曲和扭轉變形產生的嚙合齒合誤差。
當fsh無法實測或精確計算時,要按下式確定:
fsh=ωmfsho=(Fm/b)fsho………………………………………………(65)
式中fsh——載荷作用下的的嚙合齒向誤差,μm;
fsho——單位載荷作用下的嚙合齒向誤差,μm·mm/N;可按表7中的公式計算。
表7 fsho計算公式
|
齒輪型式 |
fsho計算公式 |
|
一般齒輪 |
0.023y (66) |
|
齒端修薄的齒輪 |
0.016y (67) |
|
修形或鼓形修整的齒輪 |
0.012y (68) |
表中:γ——小齒輪結構尺寸系數,可根據圖5先取系數K′值后,按表8中的公式計算。
表8 小齒輪結構尺寸系數y
采用說明:
5] 式(62)是ISO6336新增的,因含有|1.33fsh-fβ6|項,使用時需加限制條件(如精度及b/d值),否則將出現明顯不合理的結果。
6.3.2.5 制造、安裝誤差產生的嚙合齒向誤差分量fma
fma的大小取決于齒輪副加工的齒向誤差與軸線間平行度的組合(彼此疊加或補償)以及是否進行裝配調整。
如無實測數據,fma可按表9中的方法之一確定。
表9fma計算公式(μm)
|
類別 |
確定方法或公式 |
|
粗略數值 |
某些高精度的高速齒輪 |
fma=0 |
|
一般工業齒輪 |
fma=15μm |
|
給定精度等級 |
裝配時無檢驗調整 |
fma=1.0Fβ |
|
裝配時進行檢驗調整(對研,輕載跑合,調整軸承,螺旋線修形,鼓形齒等) |
fma=0.5Fβ |
|
齒端修薄 |
fma=0.7Fβ |
|
給定空載下接觸斑點長度bco |
fma=(b/bc0)Sc (71)
SC——涂色層厚度,一般為2~20μm,
計算時可取
SC=6μm
如按最小接觸斑點長度bcomin計算
fma=2/3(b/bc0min)Sc (72)
如測得最長和最短的接觸點長度
fma=1/2(b/bc0min+b/bc0max)Sc (73) |
6.3.2.6 齒向跑合量yβ,跑合系數Xβ
齒向跑合量yβ是考慮跑合后使嚙合齒向誤差減小的量,um; Xβ是表示跑合嚙合齒向誤差Fβy的比例數據,yβ,Xβ可用表10中各式計算。
表10 yβ、xβ計算公式
|
齒輪材料 |
齒向跑合量yβ,um,跑合系數Xβ |
適用范圍及限制條件 |
|
結構鋼、調質
鋼、珠光體或
貝氏體球墨鑄鐵 |
yβ=320/σHlimFβx
(74)
xβ=1-320/σHlim |
V>10m/s時,
yβ≤12800/σHlim FβX≤40μm;
5<v≤10m/s時,
yβ≤25600/σHlim
FβX≤80μm;
v≤5m/s時,
yβ無限制 |
|
灰鑄鐵、鐵素
體球墨鑄鐵 |
yβ=0.55Fβx
(75)
xβ=0.45 |
V>10m/s時,
yβ≤22μm, FβX≤40μm;
5<v≤10m/s時,
yβ≤45μm, FβX≤80μm;
v≤5m/s時,
yβ無限制 |
|
滲碳淬火鋼、表面硬化鋼、氮化鋼、
氮碳共滲鋼、表面硬化球墨鑄鐵 |
yβ=0.15Fβx
(76)
xβ=0.85 |
yβ≤6um. FβX≤40um |
|
注
1σhlim——齒輪接觸疲勞限值,N/mm2,見8.1.2
2 當大小齒輪材料不同時,yβ=(yβ1+ yβ2)/2,Xβ=(Xβ7=+Xβ2)/2,式中下標1,2分別表示大、小齒輪。 |
6.3.2.7 典型結構齒輪的FβX
a)適用條件
1)沿齒寬將齒輪視為具有嚙合剛度cy的彈性體,載荷和變形均呈線性分布;
2)在載荷作用下接觸斑點布滿全齒寬,軸齒輪的扭轉和彎曲變形均按載荷沿齒寬均布計算,沒有其他額外的附加載荷;
3)小齒輪直徑和軸徑相近,軸齒輪為實心或空心軸(內孔徑應<0.5dsh),對稱布置在兩軸承之間(s/l≈0);非對稱布置時,應把估算出的附加彎曲變形量加到fma上;
4)箱體、軸承、大齒輪及其軸的剛度足夠大,其變形可忽略。
符合上述條件的單對齒輪、軋機齒輪和簡單行星傳動可按下述b)~d)中的公式計算KHβ。
b)單對齒輪
符合a)中條件的單對齒輪,可按表11中的公式計算KHβ。
表11 單對齒輪的KHβ計算公式
c)軋機齒輪
軋機齒輪機座采用一對軸齒輪,u=1,功率分流,被動齒輪傳遞k%的轉矩、另外(100-K)%有轉矩由主動齒輪的軸端輸出,兩齒輪皆對稱布置在兩端的軸承之間,其KHβ值可按表12中公式計算。
表12 軋機齒輪的KHβ計算公式
d)簡單行星傳動齒輪
符合項a)中條件的行星傳動中的各齒輪副:太陽輪(S)/行星輪(P)、內齒輪(H)/行星輪,其KHβ可按表13中的公式計算。計算時應取
式中:ωm——單位齒寬平均載荷,N/mm;
Ky——不均載系數;
Np——行星輪個數。
表13 行星傳動齒輪的KHβ計算公式
注
1 Ⅰ,Ⅱ表示行星輪及其軸承在行星架上的安裝型式:Ⅰ——軸承裝在行星輪上,轉軸剛性固定在行星架上;Ⅱ——行星輪兩端帶軸頸的軸齒輪,軸承裝在轉架上。
2 ds——太陽輪分度圓直徑,mmdp——行星輪分度圓直徑,mm;;lp——行星輪軸承跨距,mm;B為包括空刀槽在內的雙斜齒寬度,mm;bB為單斜齒輪寬度,mm。
6.3.3 KHβ計算的簡化方法
6.3.3.1適用范圍
a)中等或較重載荷工況:對調質齒輪,單位齒寬載荷Fm/b為400~1000N/mm;對硬齒面齒輪,Fm/b為800~1500N/mm。
b)剛性結構和剛性支承,受載時兩軸承變形較小可忽略:齒寬偏置度s/l較小,符合表14、表15限定范圍。
c)齒寬b為50~400mm,齒寬與齒高比b/h為3~12,小齒輪寬徑比b/d1對調質的應小于2.0,對硬齒面的應小于1.5。
d)輪齒嚙合剛度cy為15~25N/(mm·μm)。
e)齒輪制造精度對調質齒輪為5~8級,對硬齒面齒輪為5~6級;滿載時齒寬全長或接近全長接觸(一般情況下未經齒向修形)。
f)礦物油潤滑。
6.3.3.2計算公式
齒輪第Ⅲ公差組精度為5~8級(硬齒面為5~6級)及相應的結構布局限制條件的KHβ簡化計算公式見表14或表15。
表14 調質齒輪KHβ的簡化計算公式
表15 硬齒面齒輪KHβ的簡化計算公式
6.3.4 KFβ的計算公式
齒向載荷分布系數KFβ是考慮沿齒寬載荷分布對齒根彎曲應力的影響。對于所有的實際應用范圍,KFβ可按下式計算:
KFβ=(KHβ)N……………………………………………(139)
式中:KHβ——接觸強度計算的齒向載荷分布系數,見6.3.2或6.3.3;
N——冪指數。
式中:b——齒寬,mm,對人字齒或雙斜齒齒輪,用單個斜齒輪的齒寬;
H——齒高,mm。
b/h應取大小齒輪中的小值。
圖6給了按式(139)、(140)確定的近似解。
圖6 彎曲強度計算的齒向載荷分布系數KFβ