8齒面接觸強度計算
8.1概述
赫茲應力是影響齒面接觸應力的基本因素。本標準考慮工作條件將修正后的赫茲應力作為齒面計算接觸應力。
考慮到使用條件、要求及尺寸的不同,本標準以修正后的試件接觸疲勞極限作為許用接觸應力。
8.2基本公式
8.2.1強度條件
錐齒輪節圓處的計算接觸應力σH應不大于其許用接觸應力σHP,即:
σH≤σHP…………………………(33)
或接觸強度的計算安全系數SH應不小于接觸強度的最小安全系數SHmin,即:
SH≥SHmin………………………………(34)
上述兩式中:
σH——計算接觸應力,N/mm2,見8.2.2條;
σHP——許用接觸應力,N/mm2,見8.2.3條;
SH——接觸強度的最小安全系數,見第3章。
SHmin——接觸強度的最小安全系數,見第3章。
8.2.2計算接觸應力σH
錐齒輪節圓處的計算接觸應力σH按下式確定:
式中:KA——使用系數,見7.2條;
KV——動載系數,見7.3條;
KHβ——接觸強度計算的齒向載荷分布系數,見7.4條;
KHα——接觸強度計算的齒間載荷分配系數,見7.5條;
σH0——計算接觸應力的基本值。
上述兩式中:
ZH——節點區域系數,見8.3條;
Z
E——彈性系數,

,見8.4條;
Zε——接觸強度計算的重合度系數,見8.5條;
Zβ——接觸強度計算的錐齒輪系數,見8.6條;
ZK——接觸強度計算的錐齒輪系數,見8.7條;
Fmt——齒寬中點分度圓上的名義切向力,N,見7.1條;
beH——接觸強度計算的有效齒寬,mm,與齒面接觸區長度相當,一般取為0.85b;
b——工作齒寬,mm,指一對齒輪中的較小齒寬;
dv1——小輪當量圓柱齒輪分度圓直徑,mm;
dm1——小輪齒寬中點處分度圓直徑,mm;
uv——當量圓柱齒輪齒數比;
u——齒數比。
8.2.3許用接觸應力σHP
大、小輪的許用接觸應力σHP應按下式分別計算:
式中:σHlim——試驗齒輪的接觸疲勞極限,N/mm2,見8.10條;
ZX——接觸強度計算的尺寸系數,見8.9條;
ZL——潤滑劑系數,見8.8.1條;
ZV——速度系數,見8.8.2條;
ZR——粗糙度系數,見8.8.3條;
注:1)對于有限壽命下的齒面接觸強度的計算參見GB3480的相應部分。
8.2.4接觸強度的計算安全系數SH
上式中符號見8.2.2條及8.2.3條的說明。
8.3節點區域系數ZH、單對齒嚙合區下界點系數ZB
8.3.1節點區域系數ZH
節點區域系數ZH是考慮節點處齒廓曲線半徑對接觸應力的影響,并將分度圓上切向力折算為節圓上法向力的系數。
假定齒廓為漸開線,對零變位和高度變位錐齒輪:
式中:βvb——當量圓柱齒輪基圓螺旋角,(°);
βvb=arcsin(sinβm·cosαn)…………………………(41)
αvt——當量圓柱齒輪端面壓力角,(°);
αvt=arctan(tanαn/cosβm)…………………………(42)
對于常用齒形角的ZH值,可由圖5查取。
8.3.2單對齒嚙合區下界點系數ZB
小于小輪當量圓柱齒輪齒數ZV1<20的錐齒輪,應按單對齒嚙合區下界點處核算其接觸強度。此時,應以節點區域系數ZH與單對齒嚙合區下界點系數ZB的乘積(ZH·ZB)代替式(36)、(37)中的ZH值。這樣處理,即是將錐齒輪節點處的接觸應力換算到單對齒嚙合區下界點B上。
ZB的數值由下式確定:
式中:dva1,2——小輪、大輪的當量圓柱齒輪齒頂圓直徑,mm,見附錄A;
dvb1,2——小輪、大輪的當量圓柱齒輪基圓直徑,mm,見附錄A;
zv1,2——小輪、大輪的當量圓柱齒輪齒數,見附錄A;
αvt——當量圓柱齒輪端面壓力角,(°),見附錄A。
8.4彈性系數ZE
彈性系數ZE是考慮材料彈性模量E和泊桑比v對赫茲應力的影響。
對于鋼制齒輪副Z
E=189.8 (

)
對于鋼、鑄鐵配對齒輪副Z
E=165.4(

)
對于鑄鐵齒輪副Z
E=146.0 (

)
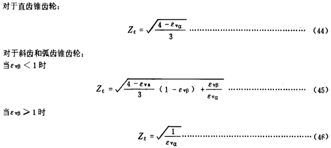
8.5接觸強度的重合度系數Zε
重合度系數Zε是考慮重合度對單位齒寬載荷影響的系數。其值可按式(44)、(45)、(46)計算或由圖6查取。
對于直齒錐齒輪:
以上各式中:
εvα——當量圓柱齒輪端面重合度,見附錄A;
εvβ——當量圓柱齒輪縱向重合度,見附錄A。
8.6接觸強度計算的螺旋角系數Zβ
螺旋角系數Zβ是考慮螺旋角造成的接觸線傾斜對齒面接觸應力影響的系數。其值可按式(47)計算或由圖7查取。
8.7接觸強度計算的錐齒輪系數ZK
接觸強度計算的錐齒輪系數是考慮錐齒輪齒形與漸開線齒形的差異及輪齒剛度沿齒寬變化對齒面接觸強度的影響。當齒頂和齒根修形適當時,取ZK=0.85。
8.8潤滑油膜影響系數ZL、ZV、ZR
潤滑油膜影響系數是考慮齒面之間的潤滑狀況對齒面承載能力產生影響的系數。影響齒面間潤滑狀態的主要因素有:
潤滑油粘度——其影響以潤滑劑系數ZL考慮;
圓周速度——其影響以速度系數ZV考慮;
齒面粗糙度——其影響以粗糙度系數ZR考慮。
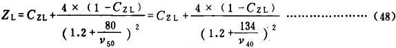
8.8.1潤滑劑系數ZL
式中;v50——50℃時潤滑油的名義運動粘度,mm2/s;
v40——40℃時潤滑油的名義運動粘度,mm2/s;
CZL——系數。
當8500N/ mm2≤σHlim≤1200N/mm2時,
當σHlim<850N/mm2時,取CZL=0.83;
當σHlim>1200 N/mm2時,取CZL=0.91。
ZL值也可由圖8查取。
式(48)及圖8適用于礦物油(加或不加添加劑)。應用某些具有較小磨擦系數的合成油時,對于滲碳鋼齒輪ZL應乘以系數1.1,對于調質鋼齒輪應乘以系數1.4。
式中:vmt——圓周速度,m/s;
CZV——系數。
當850 N/mm2≤σHlim≤1200N/mm2時,
當σHlim<850N/mm2時,取CZL=0.85;
當σHlim>1200 N/mm2時,取CZL=0.93。
ZV值也可由圖9查取。
其中:RZ1、RZ2——小輪、大輪的微觀不平度十分高度,μm;RZ=(4~5)Ra;
如齒面經過跑合,應取跑合后的數值;
αv——當量圓柱齒輪中心距,mm;見附錄A。
ZR值也可由圖10查取。
8.9接觸強度計算的尺寸系數ZX
尺寸系數ZX是考慮輪齒尺寸增大使材料強度降低的系數。其主要影響因素為尺寸、材料和熱處理狀況。
ZX值可按表9中式(55)、(56)、(57)計算得出,也可由圖11查取。
表9ZX計算公式
|
材料 |
計算公式 |
極限值 |
|
滲碳淬火鋼及火焰或感應淬火鋼 |
ZX=1.05-0.005mmn………………55) |
0.9≤ZX≤1 |
|
氮化鋼 |
ZX=1.08-0.011mmn…………(56) |
0.75≤ZX≤1 |
|
結構鋼、調質鋼、鑄鐵 |
ZX=1………………(57) |
|

a——結構鋼、調質鋼、鑄鐵;b——滲碳淬火鋼、感應淬火或火焰淬火鋼;c——氮化鋼
8.10試驗齒輪的接觸疲勞極限σHlim
σHlim是指某種材料的齒輪經長期持續的重復載荷作用后(通常不少于50×106次)齒面保持不破壞時的極限應力。其主要影響因素有:材料成分,機械性能,熱處理及硬化層深度、硬度梯度、結構(鍛、軋、鑄),殘余應力,材料的純度和缺陷等。
試驗齒輪的接觸疲勞極限σHlim可按圖12(a)、(b)、(c)、(d)、(e)查取。圖中的σHlim值是試驗齒輪在持久壽命期內失效概率為1%時的齒面接觸疲勞極限。圖中
ML表示對用于齒輪的材料和熱處理質量的最低要求;
MQ表示可以由有經驗的工業齒輪制造者以合理的生產成本來達到的中等質量要求;
ME表示制造最高承載能力齒輪對材料和熱處理的質量要求。
ML、MQ、ME級質量要求的材料性能以及熱處理要求,見GB8539。