5齒面接觸強度(點蝕)計算
5.1基本準則
節點或單對齒嚙合區內界點處的接觸應力σH是齒面接觸強度的計算基礎。用兩點中的較大σH值來確定承載能力。小輪和輪的接觸應力σH和許用接觸應力σHP均要分別計算,σH應當小于或等于σHP。
5.1.1強度條件
大、小輪在節點和單對齒嚙合區內界點處的計算接觸應力中的較大值σH,均應不大于其相應的許用接觸應力σHp即:
σH≤σHp……………………(50)
或者,接觸強度的計算安全系數SH均應不小于其相應的最小安全系數SHmin,即:
SH≥SHmin……………………(51)
上述兩式中:σH——計算接觸應力,N/mm2,見5.1.2;
σHp——許用接觸應力,N/mm2,見5.1.3;
SH——接觸強度的計算安全系數,見5.1.4;
SHmin——接觸強度的最小安全系數,見1.4。
5.1.2計算接觸應力σH
小輪和大輪的計算接觸應力σH1和σH2分別按下述兩式確定:
上述兩式中:“+”號用于外嚙合,“-”號用于內嚙號;
ZH——節點區域系數,見5.3;
ZB、ZD——小輪及大輪單對齒嚙合系數,見5.2;
Z
E——彈性系數,

,見5.4;
Zβ——螺旋角系數,見5.6;
b——齒寬(對于雙斜齒傳輸線b=2bB),mm,取一對齒輪中節圓處的較小齒寬,忽略端面倒棱或修緣部分。對齒面硬化齒輪,齒寬既不包括非硬化部分,也不包括過渡區部分;
u——齒數比,u=z1,z2,、z1分別為大輪和小輪齒數。
5.1.3許用接觸應力σHP
根據GB/T3480(或ISO6336-5),σHlim是在循環次數NL=5×107時得出的,高速齒輪的循環次數可能超過這個值.當NL≤5×107時,可按式(54)計算σHP;當NL>5×107時,在給出合適的條件(材料、制造)和有使用經驗時,仍可按式(54)計算σHP,滯則,由式(55)計算σHP。
上述兩式中:σHlim——試驗齒輪的接觸疲勞極限,N/mm2,見5.7;
ZL——潤滑劑系數,見5.8.1;
ZV——速度系數,見5.8.2;
ZR——粗糙度系數,見5.8.3;
ZW——工作硬化系數,見5.9;
ZX——接觸強度計算的尺寸系數,見5.10;
σHG——計算齒輪的接觸極限應力,N/mm2;
σHpref——基準許用接觸應力,N/mm2,σHpref取為由式(54)計算的σHP值;
NL——應力循環次數。
5.1.4接觸強度的計算安全系數SH
大、小齒傳輸線的SH分別計算。
式中:σHG是按式(54)或式(55)計算。
5.2單對齒嚙合系數ZB,ZD
當ZB>1或ZD>1時,ZB是把節點處的接觸應力折算到小輪單對齒嚙合內界點B處的接觸應力的系數;ZD則是把節點處的接觸應力折算到大輪單對齒嚙合區內界點D處的接觸應力的系數。
a)內齒輪
ZB=ZD=1
b)εβ≥1的斜齒輪
ZB=ZD=1
c)直齒輪
先計算參數M1和M2:
式中:da1(da2),db1(db2),z1(z2)分別為小輪(大輪)的齒頂圓、基圓直徑和齒數;αwt為端面節圓齒合角;εα為端面重合度,見5.5.1。
當M1>1時,取ZB=M1;當M1≤1時,取ZB=1.0。
當M2>1時,取ZD=M1;當M2≤1時,取ZD=1.0。
d)εβ<1的斜齒輪副
ZB和ZD在直齒輪和εβ≥1的斜齒傳輸線之間插值確定:
ZB=M1-εβ(M1-1),ZB≥1……………………(59)
ZD=M2-εβ(M2-1),ZD≥1……………………(60)
當ZB和ZD等于1時,由式(52)和式(53)計算的接觸應力是節圓柱10)(10)5.2中的方法適用于計算當節點位于接觸線上時的接觸應力。當節點C位于接觸強之外時,ZB和(或)ZD按鄰近的頂圓接觸確定。對于εβ<1的斜齒輪ZB和ZD在直齒輪和εβ≥1的斜齒輪的值(在節點或鄰近的頂圓上確定)之間線性插值確定。)上的接觸應力。
5.3節點區域系數ZH是考慮節點處齒廓曲率對赫茲壓力的影響并將分度圓上的切向轉換為節圓上的法向力的系數。
式中:βb為基圓螺旋角,見式(98);αt為端面分度圓壓力角;αwt為端面嚙合角。
5.4彈性系數ZE
彈性系數ZE是考慮材料特性E(彈性模量)和v(泊桑比)對接觸應力影響的系數。ZE的值見表3。
5.5重合度系數Zε
重合度系數Zε是考慮端面重合度和縱向重合度對圓柱齒輪齒面承載能力影響的系數。
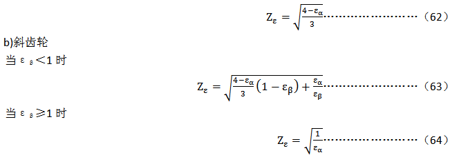
a)直齒輪
表3部分材料組合的彈性系數ZE
|
齒輪1 |
齒輪2 |
|
|
材料 |
彈性模量
N/mm2 |
泊桑比v |
材料 |
彈性模量
N/mm2 |
泊桑比
v |
ZE
|
|
鋼 |
206000 |
0.3 |
鋼 |
206000 |
0.3 |
189.8 |
|
鑄鋼 |
202000 |
188.9 |
|
球墨鑄鐵 |
173000 |
181.4 |
|
鑄錫青銅 |
103000 |
155.0 |
|
錫青銅 |
113000 |
159.8 |
|
灰鑄鐵 |
126000到118000 |
165.4到162.0 |
|
鑄鋼 |
202000 |
鑄鋼 |
202000 |
188.0 |
|
球墨鑄鐵 |
173000 |
180.5 |
|
灰鑄鐵 |
118000 |
161.4 |
|
球墨鑄鐵 |
1730000 |
球墨鑄鐵 |
173000 |
173.9 |
|
灰鑄鐵 |
118000 |
156.6 |
|
灰鑄鐵 |
126000到118000 |
灰鑄鐵 |
118000 |
146.0到143.7 |
5.5.1端面重合度εα
εα=gα/Pbt……………………(65)
端面基圓齒距:
Pbt=mtπcosαt……………………(66)
嚙合線長度:
上式中外齒輪取上排符號,內齒輪取下排符號。
式(67)僅在嚙合線長度由大、小齒輪齒頂圓所限定時才有效,不適用于挖根齒廓。
5.5.2縱向重合度αβ
式中:b為齒寬,mm,見5.1.2齒寬的定義。
5.6螺旋角系數Zβ
螺旋角系數是考慮螺旋角對接觸應力影響的系數。
5.7接觸疲勞極限應力σHlim
GB/T 3480和GB/T8539中給出了常用齒輪材料、熱處理方法及材料質量對接觸疲勞極限應力影響的有關資料,σHlim由標準試驗齒輪的試驗結果獲得。
GB/T8539中還給出了ML、MQ、ME和MX質量等級的材料和熱處理要求。除非別有協議,材料質量等級MQ為高速齒輪所要求的最低質量等級。
高速齒輪常用材料的接觸疲勞極限σHlim見圖1~圖3。
圖3 滲氮和氮碳共滲鋼的σHlim
5.8潤滑油膜影響系數ZL、ZV和ZR
ZL、ZV和ZR分別是考慮名義潤滑劑黏度、相嚙齒廓間的相對速度和齒面粗糙對接觸區潤滑油膜的影響。
當嚙合齒輪的硬度不同時,用較軟的材料來確定這些系數。
5.8.1潤滑劑系數ZL11)(11)可選用ZL=CZL+4(1-ZZL)vf,vf=1/(1.2+80/v50)2,常用黏度參數見下表:
|
ISO黏度等級 |
VG32* |
VG46* |
VG68* |
VG100 |
VG150 |
VG220 |
VG320 |
|
名義黏度 v40
v50 |
mm2/s
mm2/s |
32
21 |
46
30 |
68
43 |
100
61 |
150
89 |
220
125 |
320
180 |
|
黏度參數vf |
- |
0.040 |
0.067 |
0.107 |
0.158 |
0.227 |
0.295 |
0.370 |
|
*僅用于高速齒輪。 |
a)當850N/mm2≤σHlim≤1200 N/mm2時:
b)σHlim<850N/mm2時:
CZL=0.83……………………(72)
c)σHLim>1200 N/mm2時:
CZL=0.91……………………(73)
5.8.2速度系數ZV12)(12)可選擇:ZV=CZV+2(1-CZV)vP,速度參數VP=1/(0.8+32v)0.5。)
式中:
CZV=CZL+0.02………………(75)
5.8.3粗糙度系數ZR
或
上述兩式中:RZ10——相對峰谷平均粗糙度,μm,見式(79);
RZ1、RZ2——小輪及大輪齒面微觀不平度10點高度,μm。
5.8.3.1粗糙度值
RZ1、RZ2在幾個齒面測量13),14)(13)平均粗糙RZ1(小輪齒廓)和RZ2(大輪齒廓)由制造后的齒面狀況確定。制造包括任何形式的跑合,如作為制造工序的一部分而專門進行的跑合,如有可能也包括使用狀誠下的跑合。14)若粗糙度以Ra值(=CLA值)(=AA值)給出時,則可近似地取Ra=CLA=AA=Rz/6。),取其平均值。
式中:ρred——節點處誘導曲率半徑,mm;
ρ1、ρ2——分別為小輪及大輪節點處的曲率半徑,mm;
ρ1=0.5db1tanαwt……………………(81)
ρ2=0.5db2tanαwt……………………(82)
對內齒輪,db取負號。
5.8.3.2指數CZR
a)當850850N/mm2≤σHlim≤1200 N/mm2時:
CZR=0.32-0.0002σHlim…………………………(83)
b)σHlim<850N/mm2時:
CZR=0.15………………………………(84)
c)σHlim>1200 N/mm2時:
CZR=0.08………………………………(85)
5.9齒面工作硬化系數ZW
工作硬化系數ZW是考慮鋼制大齒輪(結構鋼、調質鋼)與光整齒面(Rz≤6μm)的硬化小齒輪相嚙合,從而使大齒輪齒面承載能力得能提高的系數。
式中:HB——齒輪副中較軟齒輪齒面的布氏硬度;當HB<130時,ZW=1.2;當HB>470時,ZW=1.0。
5.10接觸強度計算的尺寸系數ZX
ZX是考慮因尺寸的增大使材料接觸強度降低的尺寸效應系數。統計數據表明,尺寸大小影響到應力梯度較小的次表層的缺陷(如果缺陷存在)與材料品質(影響鍛造過程與金屬結構的變化等)。
對于調質齒輪及相對于輪齒尺寸和相對曲率半徑有合適滲層深度的表面硬化齒輪,ZX=1,當滲層較淺時,ZX應選擇較小的值。