齒輪 標準基本齒條齒廓
1 范圍
本標準規定了通用機械和重型機械用漸開線圓柱齒輪(外齒或內齒)的標準基本齒條齒廓的何參數。
本標準適用于GB/T 1357 規定的標準模數。
本標準規定的齒廓沒有考慮內齒輪齒高可能進行的修正,內齒輪對不同的情況應分別計算。
為了確定漸開線類齒輪的輪齒尺寸,在本標準中,標準基本齒條的齒廓僅給出了漸開線類齒輪齒廓的幾何參數。它不包括對刀具的定義,但為了獲得合適的齒廓,可以根據標準基本齒條的齒廓規定刀具的參數。
2 引用標準
下列標準所包含的條文,通過在本標準中引用而構成為本標準的條文。本標準出版時,所示版本均為有效,所有標準都會被修訂,使用本標準的各方應探討使用下列標準最新版本的可能性。
GB/T 1357—1987 漸開線圓柱齒輪模數(neq ISO 54:1977)
GB/T 3374—1992 齒輪基本術語(neq ISO/R 1122-1:1983)
3 術語和定義
在本標準中,除使用GB/T 3374 給出的術語、定義外,還采用下列術語、定義。
3.1 標準基本齒條齒廓
標準基本齒條齒廓是指基本齒條的法向截面,基本齒條相當于齒數z=∞,直徑d=∞的外齒輪(見圖1)。
注:標準基本齒條齒廓的輪齒介于齒頂處的齒頂線和與之平行的齒底部的齒根線之間。齒廓直線部分和齒根線之間的圓角是半徑為ρfP的圓弧。
3.2 相嚙標準齒條齒廓是指齒條齒廓在基準線P—P上對稱于標準基本齒條齒廓、且相對于標準基本齒條齒廓的半個齒距的齒廓(見圖1)。
4 代號和單位
代號和單位見表1。
1- 標準基本齒條齒廓;2-基準線;3-齒頂線;4-齒根線;5-相嚙標準基本齒條齒廓
圖1 標準基本齒條齒廓和相嚙標準基本齒條齒廓。
表1 代號和單位
符號 |
意義 |
單位 |
cP |
標準基本齒條輪齒與相嚙標準基本齒條輪齒之間的頂隙 |
mm |
eP |
標準基本齒條輪齒齒槽寬 |
mm |
haP |
標準基本齒條輪齒齒頂高 |
mm |
hfP |
標準基本齒條輪齒齒根高 |
mm |
hFfP |
標準基本齒條輪齒齒根直線部分的高度 |
mm |
hP |
標準基本齒條的齒高 |
mm |
hwP |
標準基本齒條和相嚙標準基本齒條輪齒的有效齒高 |
mm |
m |
模數 |
mm |
p |
齒距 |
mm |
sp |
標準基本齒條輪齒的齒厚 |
mm |
5 標準基本齒條齒廓
5.1 標準基本齒條齒廓的幾何參數見圖1和表2,對于不同使用場合所推薦的基本齒條見附錄A(提示的附錄)。
5.2 標準基本齒條齒廓的齒距p=πm。
5.3 在haP加hFfP高度上,標準基本齒廓的齒側面為直線。
表 2 標準基本齒條齒廓的幾何參數
項目 |
標準基本齒條齒廓的幾何參數值 |
αp |
20° |
haP |
1 m |
CP |
0.25 m |
hfP |
1.25 m |
ρfP |
0.38 m |
5.4 P—P 線上的齒厚等于齒槽寬,即齒距的一半。

…………………………………………..(1)
式中:sp —— 標準基本齒條輪齒的齒厚;
eP —— 標準基本齒條輪齒的齒槽寬;
p —— 齒距;
m—— 模數。
5.5 標準基本齒條齒廓的齒側面與基準線的垂線之間的夾角為壓力角αp 。
5.6 齒頂線和齒根線分別平行于基準線P—P ,且距P—P 線之間的距離分別為haP 和hfP。
5.7 標準基本齒條齒廓和相嚙標準基本齒條齒廓的有效齒高hwP等于2 haP 。
5.8 標準基本齒條齒廓的參數用P—P 線作為基準。
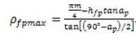
5.9 標準基本齒條的齒根圓角半徑ρfP由標準頂隙CP確定。
對于αp=20°、CP≤0.295m、hFfP=1m的基本齒條

………………………………(2)
式中:ρfPmax — 基本齒條的最大齒根圓角半徑;
CP — 標準基本齒條輪齒和相嚙標準基本齒條輪齒的頂隙;
αp — 壓力角。
對于αp=20°、0.295<CP≤0.369m 的基本齒條

………………………………(3)
式中:hfP — 基本齒條輪齒的齒根高。
ρfPmax 的中心在齒條齒槽的中心線上。
注:實際齒根圓角(在有效齒廓以外)會隨一些影響因素的不同而變化,如制造方法、齒廓修形、齒數。
5.10 標準基本齒條齒廓的參數CP、haP、hfP和hwP 也可以表示為模數m的倍數,即相對于m=1mm時的值可加一個星號表明,例如:
htp=hfp*·m
附 錄 A
(提示的附錄)
不同使用場合下推薦的基本齒條
A1 基本齒條型式的應用
—— A型標準基本齒條齒廓推薦用于傳遞大轉矩的齒輪。
根據不同的使用要求可以使用替代的基本齒條齒廓:
—— B 型和C型基本齒條齒廓推薦用于通常的使用場合。用一些標準滾刀加工時,可以用C型。
—— D 型基本齒條齒廓的齒根圓角為單圓弧齒根圓角。當保持最大齒根圓角半徑時,增大的齒根高(hfP=1.4m,齒根圓角半徑ρfP=0.39m)使得精加工刀具能在沒有干涉的情況下工作。這種齒廓推薦用于高精度、傳遞大轉矩的齒輪,因此,齒廓精加工用磨齒或剃齒。在精加工時,要小心避免根圓角處產生凹痕,凹痕會導致應力集中。
幾種類型基本齒條齒廓的幾何參數見表A1。
表A1 基本齒條齒廓
項目 |
基本齒條齒廓類型 |
A |
B |
C |
D |
αp |
20° |
20° |
20° |
20° |
haP |
1 m |
1 m |
1 m |
1 m |
CP |
0.25 m |
0.25 m |
0.25 m |
0.25 m |
hfP |
1.25 m |
1.25 m |
1.25 m |
1.25 m |
ρfP |
0.38 m |
0.38 m |
0.38 m |
0.38 m |
A2 具有挖根的基本齒條齒廓
使用具有給定的挖根量uFP和挖根角αFP的基本齒條齒廓時,用帶凸臺的刀具切齒并用磨齒或剃齒精加工齒輪,見圖A1。uFP和αFP的具體值取決于一些影響因素,如加工方法,在本標準中沒有說明加工方法。
圖 A1 具有給定挖根量的基本齒條齒廓