試驗齒輪的疲勞極限σHlim, σFlim
8.1.1 概述
σHlim和σFlim是指某種材料的齒輪經長期持續的重復載荷作用后輪齒保持不失效時的極限應力。其主要影響因素有:材料成分,力學性能,熱處理及硬化層深度、硬度梯度,結構(鍛、軋、鑄),殘余應力,材料的純度和缺陷等。
σHlim和σFlim可由齒輪的負荷運轉試驗或使用經驗的統計數據得出。此時需闡明線速度、潤滑油粘度、表面粗糙度、材料組織等變化對許用應力的影響所引起的誤差。
無資料時,可參考圖22~圖26根據材料和齒面硬度查取σHlim和σFlim值。
圖中的σHlim和σFlim值試驗齒輪的失效概率為1%時的輪齒接觸疲勞和彎曲疲勞極限。對于其他失效概率和疲勞極限值,可用適當的統計分析方法得到。
圖中硬化齒輪的疲勞極限值對滲碳齒輪適用于有效硬化層深度(加工后的)δ≥0.15mn,對于氮化齒輪,其有效硬化層深度δ=0.4~0.6mm。
在σHlim和σFlim的圖中,給出了代表材料質量等級的三條線,其對應的材料處理要求見GB8539。
ML——表示齒輪材料質量和熱處理質量達到最低要求時的疲勞極限取值線。
MQ——表示齒輪材料質量和熱處理質量達到中等要求時的疲勞極限取值線。此中等要求是有經驗的工業齒輪制造者以合理的生產成本能達到的。
ME——表示齒輪材料質量和熱處理質量達到很高要求時的疲勞極限取值線。這種要求只有在具備水平的制造過程可控能力時才能達到。
MX——表示對淬透性及金相組織有特殊考慮的調質合金鋼的取值線。
在選取材料疲勞極限時,除了考慮上述等級對材料質量熱處理質量的要求是否有把握達到外,還應注意所用材料的性能、質量的穩定性以及齒輪精度以外的制造質量同圖列數值來源的試驗齒輪的異同程度。這在選取σFlim時尤為重要。要留心一些常不引人注意的影響彎曲強度的因素,如實際加工刀具圓角的控制,齒根過渡圓角表面質量及因脫碳造成的硬度下降等。有可能出現齒根磨削臺階而計算中又未計Ysg時,在選取σFlim時也應予以考慮。
8.1.2 試驗齒輪的接觸疲勞極限σH lim
σH lim是指某種材料的齒輪以長期持續的重復載荷作用(對大多數材料其應力循環數為5×107)后,齒面不出現進展性點蝕時的極限應力。
圖22a,23a,24a,25a,26a中提供的σH lim值是試驗齒輪在標準的運轉條件下得到的。具體的條件如下:
中心距 a=100mm
螺旋角 β=0(Zβ=1)
模數 m=3~5mm
齒面的微觀不平度10點高度 Rz=3μm(ZR=1)
圓周線速度 υ=10m/s(Zv=1)
潤滑劑粘度 v50=100mm2/s(ZL=1)
相嚙合齒輪的材料相同(ZW=1)
齒輪精度等級 4~6級(GB10095-88)
載荷系數 KA=KV=KHβ=KHa=1
試驗齒輪的失效判據如下:
對于非硬化齒輪,其大小齒輪點蝕面積占全部工作齒面的2%,或對單齒占4%;
對于硬化齒輪,其大小齒輪點蝕面積占全部工作齒面的0.5%,或者對單齒占4%。
8.1.3 試驗齒輪的彎曲疲勞極限σFlim
σFlim是指某種材料的齒輪經長期的重復載荷作用(對大多數材料其應力循環數為3×106)后,齒根保持不破壞時的極限應力。
圖22b,23b,24b,25b,26b中提供的σFlim值是試驗齒輪在標準的運轉條件下得到的。具體的條件如下:
螺旋角 β=0(Yβ=1)
模數 m=3~5mm(YX=1)
應力修正系數 YST=2
齒根圓角參數 qs=2.5(Yδrel T=1)
齒根圓角表面的微觀不平度10點高度 Rz=10μm(Yδrel T =1)
齒輪精度等級 4~7級(GB10095-88)
基本齒廓按GB1356-87
齒寬 b=10~50mm
載荷系數 KA=KV=KFβ=KFa=1
以上圖中的σFlim值適用于輪齒單向彎曲的受載狀況;對于受對稱雙向彎曲的齒輪(如中間輪、行星輪),應將圖中查得σFlim值乘上系數0.7;對于雙向運轉工作的齒輪,其σFlim值所乘系數可稍大于0.7.
8.2 壽命系數ZNT,YNT
壽命系數ZNT和YNT分別考慮齒輪壽命小于或大于持久壽命條件循環次數Nc時(見圖27、圖28),其可承受的接觸應力和彎曲應力值與其相應的條件循環次數Nc時疲勞極限應力的比例的系數。
當齒輪在定載荷工況工作時,應力循環次數NL為齒輪設計壽命期內單側齒面的嚙合次數;雙向工作時,按嚙合次數較多的一側計算。當齒輪在變載荷工況下工作并有載荷圖譜可用時,應按附錄B(提示的附錄)中方法核算其強度安全系數;對于缺乏工作載荷圖譜的非恒定載荷齒輪,可近似地按名義載荷乘以使用系數KA來核算其強度。
條件循環次數Nc是齒輪材料S-N(即應力-循環次數)曲線上一個特征拐點的循環次數,并取該點處的壽命系數為1.0,相應的S-N曲線上的應力稱為疲勞極限應力。
8.2.1 接觸強度計算的壽命系數ZNT
接觸強度計算的壽命系數ZNT應根據實際齒輪實驗或經驗統計數據得出S-N曲線求得,它與一對相嚙合齒輪的材料、熱處理、直徑、模數、齒面粗糙度、節線速度及使用的潤滑劑明關。當直接采用S-N曲線確定和S-N曲線實驗條件完全相同的齒輪壽命系數ZNT時,應取有關的影響系數ZR、ZV、ZL、ZW、ZX的值均為1.0。
當無合適的上述實驗或經驗數據可用時,ZNT可由表25中的公式計算得出,也可由圖27查取。
8.2.2彎曲強度和壽命系數YNT
彎曲強度和壽命系數YNT應根據實際齒輪實驗或經驗統計數據得出的S-N曲線求得,它與材料、熱處理、載荷平穩程度、輪齒尺寸及殘余應力有關。當直接采用S-N曲線確定和S-N曲線實驗條件完全相同的齒輪壽命系數YNT時,應取系數YδrelT,YRrelT,Yx的值為1.0。
當無合適的上述實驗或經驗數據可用時,YNT可用表26中的公式計算得出,也可由圖28查取。
注:σFE=σFlimYST
圖22b 正火處理的結構鋼和鑄鋼的和σFlimσFE
3)灰鑄鐵
圖23a 鑄鐵的σHlim
3)灰鑄鐵
圖23b 鑄鐵的σFlim和σFE
采用說明:
12]ISO文體中圖23b的1)與2)圖樣顛倒,已訂正。
2)鑄鋼
圖24a 調質處理的碳鋼、合金鋼及鑄鋼的σHlim
2)鑄鋼
注:σFE =σFlim
圖24b 調質處理的碳鋼、合金鋼及鑄鋼的σFlim和σFE
2)火焰或感應淬火鋼
圖25a 滲碳淬火鋼和表面硬化(火焰或感應淬火)鋼的σHlim
2)表面硬化鋼
注:σFE=σFlimYST
圖25b 滲碳淬火鋼和表面硬化(火焰或感應淬火)鋼的σFlim和σFE
3)調質或正火——氮碳共滲處理的調質鋼
圖26a 滲氮和氮碳共滲鋼的σHlim
3)調質或正火——氮碳共滲處理的調質鋼
注:σ
FE=σF
limY
ST
圖26b 氮化及碳氮共滲鋼的σFlim和σFE
圖27 接觸強度的壽命系數ZNT
圖28 彎曲強度的壽命系數YNT
采用說明:
13]圖27、28中灰鑄鐵在ISO6336:1996文本里誤為可鍛鑄鐵,已訂正。
表25 接觸強度的壽命系數ZNT
材料及熱處理 |
靜強度最大
循環次數N0 |
持久壽命條
件循環次數NC |
應力循環
次數NL |
ZNT計算公式 |
結構鋼
調質鋼
球墨鑄鐵(珠光體、貝氏體)球光體可鍛鑄鐵;滲碳淬火
的碳鋼;感應淬火或火焰淬火的鋼和球墨鑄鐵 |
允
許
有
一
定
點
蝕 |
N0=6×105 |
NC=109 |
NL≤6×105
6×105<NL≤107
107<NL≤109
109<NL≤1010 |
ZNT=1.6
Z NT=1.3 0.0738 (216)
Z NT= 0.057 (217)
Z NT= 0.0706 (218) |
不
允
許
點蝕 |
N0=105 |
NC=5×107 |
NL≤105
105<NL≤5≤107
5×107<NL≤1010 |
ZNT=1.6
Z NT= 0.0756 (219)
Z NT= 0.0306 (220) |
灰鑄鐵、球墨鑄鐵(鐵素體)
;滲氮處理的滲氮鋼、調質鋼、
滲碳鋼 |
NC=2×106 |
NL≤105
105<NL≤2×106
2×106<NL≤1010 |
ZNT=1.3
Z NT= 0.0875 (221)
Z NT= 0.0191 (222) |
氮碳共滲的調質鋼、滲碳鋼 |
NL≤105
105<NL≤2×106
2×106<NL≤1010 |
ZNT=1.1
Z NT= 0.0318 (223)
Z NT= 0.0191 (224) |
注:當優選材料、制造工藝和潤滑劑,并經生產實踐驗證時,式(218),(220),(222)和(224)可取ZNT=1.0 |
表26 彎曲強度的壽命系數YNT
材料及熱處理 |
靜強度最
大循環次數N0 |
持久壽命條
件循環次數NC |
應力循環
次數NL |
YNT計算公式 |
球墨鑄鐵(珠光體、貝氏體)
球光體可鍛鑄鐵;調質鋼 |
N0=104 |
NC=3×106 |
NL≤104
104<NL≤3×106
3×106<NL≤1010 |
YNT=2.5
 (225)
 (226) |
滲碳淬火的滲碳鋼;火焰淬火、
全齒廓感應淬火的鋼、球墨鑄鐵 |
|
NL≤103
103<NL≤3×106
3×106<NL≤1010 |
YNT=2.5
 (227)
 (228) |
結構鋼;滲氮處理的滲氮鋼、調質鋼、
滲碳鋼灰鑄鐵、球墨鑄鐵(鐵素體) |
N0=103 |
NL≤103
103<NL≤3×106
3×106<NL≤1010 |
YNT=1.6
 (229)
 (230) |
氮碳共滲的調質鋼、滲碳鋼 |
|
NL≤103
103<NL≤3×106
3×106<NL≤1010 |
YNT=1.1
 (231)
 (232) |
注:當優選材料、制造工藝和潤滑劑,并經生產實踐驗證時,式(226),(228),(230)和(232)可取YNT=1.0。 |
8.3 潤滑油膜影響系數ZL,ZV,ZR
齒面間的潤滑油膜影響齒面承載能力,影響齒面間潤滑油膜狀況的因素有:
潤滑區的油粘度——其影響用潤滑劑系數ZL來考慮;
相嚙面間的相對速度——其影響用速度系數ZV來考慮;
齒面粗糙度———其影響用粗糙度系數ZR來考慮。
影響齒面間潤滑油膜狀況的還有齒面載荷和齒面相對曲率半徑等。
確定潤滑油膜影響系數數值的理想方法是總結現場使用經驗或用具有可類比的尺寸、材料、潤滑劑及運行條件的齒輪箱實驗。當采用與設計的齒輪完全相同的參數、材料和條件實驗決定其承載能力或壽命系數時,應取潤滑油膜影響系數ZL,ZV,ZR的值均等于1.0。
當無合適的上述實驗或以驗數據可用時,可按本標準的一般方法或簡化方法確定潤滑油膜影響系數值。
8.3.1一般方法
對持久強度設計,ZL,ZV,ZR可由公式(235),(237),(239)分別計算或由圖29、圖30、圖31分別查取。對靜強度,取ZL=ZV=ZR=1.0。對于循環次數小于持久壽命條件循環次數Nc的有限壽命設計,ZL,ZV,ZR值由式(235),(237),(239)得到的持久強度時的值(即NL=Nc時)和靜強度時的值(此時ZL=ZV=ZR=1.0)按公式(233a)至(233c)相應計算:

……………………………………………(233a)

……………………………………………(233b)

……………………………………………(233c)
上述各式中,不同材料的N0,NC值見表25;Kn是與N0,NC值有關的常數。
Kn=1g(N0/NC)…………………………………………………(234)
對結構鋼;調質鋼;球墨鑄鐵(珠光體、貝氏體);珠光體可鍛鑄鐵;滲碳淬火鋼;感應淬火或火陷淬火的鋼、球墨鑄鐵
Kn=-3.222(允許一定點蝕)
Kn=-2.699(不允許點蝕)
對可鍛鑄鐵;球墨鑄鐵(鐵素體);滲氮處理的滲氮鋼、調質鋼、滲碳鋼;氮碳共滲的調質鋼、滲碳鋼。
Kn=-1.301
8.3.1.1 潤滑劑系數ZL

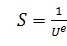
…………………………….(235)
式中:CZL——系數。在850N/mm2≤σHlim≤在1200N/mm2范圍內,CZL可由式(236)算得。當σHlim<850 N/mm2時取CZL =0.83;當σHlim≥1200 N/mm2時取CZL =0.91。

…………………………………………(236)
V50——在50℃時潤滑油的名義運動粘度,mm2/s(cSt);
V40——在40℃時潤滑油的名義運動粘度,mm2/s(cSt)。
式(235),(236)及圖29適用于礦物油(加或不加添加劑)。應用某些具有較小摩擦系數的合成油時,對于滲碳鋼齒輪ZL應乘以系數1.1,對于調質鋼齒輪應乘以系數1.4。
ZL對靜強度幾乎沒有影響,因此靜強度計算時可取ZL=1.0。
圖29 潤滑劑系數ZL
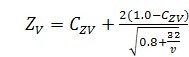
8.3.1.2 速度系數ZV
速度系數ZV按式(237)計算或按圖30查取。

…………………………………………..(237)
式中:CZV——系數。在850N/mm2≤σHlim≤在1200N/mm2范圍內,CZV可由式(238)算得。當σHlim<850 N/mm2時以850 N/mm2計;當σHlim≥1200 N/mm2時以1200 N/mm2計。

……………………………………….(238)
V——節點線速度,m/s。
ZV對靜強度幾乎沒有影響,因此靜強度計算時可取=1.0。
圖30 速度系數ZV
8.3.1.3 粗糙度系數ZR
當所計算的齒輪要求持久壽命時(NL>2×106~5×107,視材料而異,見8.2,ZR可由式(239)計算得出,或由圖31查得。
圖31 粗糙度系數ZR

(極限條件為:ZR≤1.15)……………………………………..(239)
式中:CZR——系數。在σHlim<850N/mm2時,CZF =0.15,當σHlim>在1200N/mm2時,當CZF=0.08。在850 N/mm2≤σHlim≤1200 N/mm2范圍內,CZR可由式(240)算得。
CZR =0.32-0.0002σHlim…………………………………………………..(240)
RZ10——相對(峰-谷)平均粗糙度。

………………………………………………………(241)
RZ1,RZ2——小齒輪及大齒輪的齒面微觀不平度10點高度5)(5)若粗糙度以Ra值(Ra=CLA值,=AA值)給出,則可近似取Rz≈6Ra。),μm。如經事先跑合,則RZ1,RZ2應為跑合后的數值;
ρred——節點處誘導曲率半徑,mm;ρred =ρ1ρ2(ρ1±ρ2)。式中“+”用于外外嚙合,“-”用于內嚙合,ρ1, ρ2分別為小輪及大輪節點處曲率半徑;對于小齒輪-齒條嚙合,ρred =ρ1;ρ1,2=0.5db1,2tan a't,式中db基圓半徑。
ZR對靜強度幾乎沒有影響,因此靜強度計算時可取ZR=1.0。
8.3.2 簡化方法
ZL,ZV,ZR的乘積在持久強度和靜強度設計時由表27查得。對于應力循環次NL小于持久壽命條件循環次數NC的有限壽命設計,(ZLZVZR)值由其持久強度(NL≥NC)和靜強度(NL≤NC)時的值參照式(233a)~(233c)插值確定。
表27簡化計算的(ZLZVZR)值
計算類型 |
加工工藝及齒面粗糙度RZ10 |
(ZLZVZR)
N0 NC |
持久強度
(NL≥NC) |
RZ10>4μm經展成法滾、插或刨削加工的齒輪副 |
0.85 |
研、磨或剃齒的齒輪副(RZ10>4μm);滾、插
、研磨的齒輪與RZ10≤4μm的磨或剃齒輪嚙合 |
0.92 |
RZ10<4μm的磨削或剃的齒輪副 |
1.00 |
靜強度
(NL≤NC) |
各種加工方法 |
1.00 |
8.4 齒面工作硬化系數ZW
工作硬化系數ZW是用以考慮經光整加工的硬齒面小齒輪在運轉過程中對調質鋼大齒輪齒面產生冷作硬化,從而使大齒輪的許用接觸應力得以提高的系數。
大齒輪齒面承載能力的提高還和其他許多因素有關,如材料中的合金元素、赫茲應力、硬化過程、表面粗糙度等。所以,工作硬化效果應優先由試驗數據來確定,如無合適的試驗或經驗數據,ZW值可由式(242)計算得出,或由圖32查取。此公式和圖的使用條件為:小齒輪齒面微觀不平度10點高度RZ<6μm,大齒輪齒面硬度為130~470HB。

……………………………………(242)
式中HB為大輪齒面布氏硬度值。
當HB<130時,取ZW=1.2;當HB>470時,取ZW=1.0。
圖32工作硬化系數ZW
8.5 尺寸系數ZX,YX
尺寸系數ZX和YX是考慮因尺寸增大使材料強度降低的尺寸效應因素,分別用于接觸強度和彎曲強度計算。確定尺寸系數最理想的方法是通過實驗或經驗總結。當用與設計齒輪完全相同尺寸、材料和工藝的齒輪進行實驗得到齒面承載能力或壽命系數時,應取ZX或YX值為1.0。靜強度(NL≤N0)的ZX=YX=1.0。
當無合適的實驗或經驗數據可用時,持久強度(NL≥NC)的尺寸系數ZX,YX可分別由下列表28或表29中公式計算確定,也可由圖33或圖34查取。有限壽命(NO<NL<NC)的尺寸系數由持久強度和靜強時的尺寸系數值照式(233)的辦法插值確定。
8.5.1 接觸強度尺寸系數ZX
持久強度的ZX可按表28中公式計算或圖33查取。
表28 接觸強度計算的尺寸系數ZX
材料 |
ZX |
備注 |
調質鋼、結構鋼 |
ZX =1.0 |
|
短時間液體滲氮;氣體滲氮鋼 |
ZX =1.067-0.05 6mn |
mn<12時,取mn =12
mn>30時,取mn =30 |
滲碳淬火鋼、感應或火焰淬火表面硬化鋼 |
ZX =1.076-0.010 9mn |
mn<7時,取mn =7
mn>30時,取mn =30 |
注:mn是單位為mm的齒輪法向模數值。 |
8.5.2 彎曲強度尺寸系數YX
持久強度的YX可按表29中公式計算得出,或由圖34查取。
a——結構鋼、調質鋼、靜強度計算時的所有材料;
b——短時間液體滲氮鋼,氣體滲氮鋼;c——滲碳淬火鋼、感應或火焰淬火表面硬化鋼
圖33 接觸強度計算的尺寸系數ZX14] (14]按DIN3990增補了ZX。 )
a——結構鋼、調質鋼、球墨鑄鐵(珠光體、貝氏體)、珠光體可鍛鑄鐵;b——滲碳淬火鋼和全齒廓感應或火焰淬火鋼,滲氮或氮碳共滲鋼;c——灰鑄鐵,球墨鑄鐵(鐵素體);d——靜強度計算時的所有材料
圖34 彎曲強度計算的尺寸系數YX
表29 彎曲強度計算的尺寸系數YX
材料 |
YX |
備注 |
結構鋼、調質鋼、球墨鑄鐵(珠光體、貝氏體)、
珠光體可鍛鑄鐵 |
1.03~0.006mn |
當mn<5時,取mn =5
當mn>30時,取mn =30 |
滲碳淬火鋼和全齒廓感應或火焰淬火鋼、滲氮鋼
或氮碳共滲鋼 |
1.05~0.01mn |
當mn<5時,取mn =5
當mn>25時,取mn =25 |
灰鑄鐵、球墨鑄鐵(鐵素體) |
1.075~0.015mn |
當mn<5時,取mn =5
當mn>25時,取mn =25 |
注:mn為齒輪法向模數值。 |
8.6相對齒根圓角敏感系數YδrelT
齒根圓角敏感系數表示在輪齒折斷時,齒根處的理論應力集中超過實際應力集中的程度。
相對齒根圓角敏感系數YδrelT是考慮所計算齒輪的材料、幾何尺寸等對齒根應力的敏感度與試驗齒輪不同而引進的系數。定義為所計算齒輪的齒根圓角敏感系數與試驗齒輪的齒根圓角敏感系數的比值。
在無精確分析的可用的數據時,可按下述方法分別確定YδrelT值。
8.6.1持久壽命時的相對齒根圓角敏感系數YδrelT
持久壽命時的相對齒根圓角敏感系數YδrelT可按式(243)計算得出,也可由圖35查得(當齒根圓角參數在1.5<qs<4的范圍內時,YδrelT可近似地取為1,其誤差不超過5%)。

………………………………..(243)
式中:P′——材料滑移層厚度,mm,可由表30按材料查。
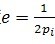
X*——齒根危險截面處的應力梯度與最大應力的比值。其值可由下式確定:

…………………………………………………..(244)
qs——齒根圓角參數,見7.2.2式(209);
——試驗齒輪齒根危險截面處的應力梯度與最大應力的比值,仍可用式(244)計算,式中qs取為qsT =2.5。此式適用于m=5mm,其尺寸的影響用YX來考慮。
表30 不同材料的滑移層厚度P′
序號 |
材 料 |
滑移層厚度
P′mm |
1 |
灰鑄鐵 σb=150N/mm2 |
0.3124 |
2 |
灰鑄鐵、球墨鑄鐵(鐵素體) σb=300N/mm2 |
0.3095 |
3a
3b |
球墨鑄鐵(珠光體)
滲氮處理的滲氮鋼、調質鋼 |
0.1005 |
4 |
結構鋼 σs=300N/mm2 |
0.0833 |
5 |
結構鋼 σs=400N/mm2 |
0.0445 |
6 |
調質鋼,球墨鑄鐵(珠光體、貝氏體) σs=500N/mm2 |
0.0281 |
7 |
調質鋼,球墨鑄鐵(珠光體、貝氏體) σs=600N/mm2 |
0.0194 |
8 |
調質鋼,球墨鑄鐵(珠光體、貝氏體) σs=800N/mm2 |
0.0064 |
9 |
調質鋼,球墨鑄鐵(珠光體、貝氏體) σs=1000N/mm2 |
0.0014 |
10 |
滲碳淬火鋼,火焰淬火或全齒廓感應淬火的鋼和球墨鑄鐵 |
0.0030 |
注:圖中材料數字代號意見同表30序號
圖35 持久壽命時的相對齒根圓角敏感系數YδrelT
8.6.2 靜強度的相對齒根圓角敏感系數YδreT
靜強度的YδrelT值可按表31中的相應公式計算得出(當應力修正系數在1.5<YS<3的范圍內時,靜強度的相對敏感系數YδrelT近似地可取為:YS/YST;但此近似數不能用于氮化的調質鋼與灰鑄鐵)。
表31 靜強度的相對齒根圓角敏感系數YδrelT
計算公式 |
公式號 |
備注 |
結構鋼
|
(245) |
YS——應力修正系數,見7.2.2
σS——屈服強度 |
調質鋼、鑄鐵和球墨鑄鐵(珠光體、貝氏體)
|
(246) |
σ0.2——發生殘余變形0.2%時的條件屈服強度 |
滲碳淬火鋼、火焰淬火和全齒廓感應淬火的鋼、球墨鑄鐵
YδrelT= 0.44YS +0.12 |
(247) |
表層發生裂紋的應力極限 |
滲氮處理的滲氮鋼、調質鋼
YδrelT= 0.20YS +0.60 |
(248) |
表層發生裂紋的應力極限 |
灰鑄鐵、球墨鑄鐵(鐵素體)
YδrelT=1.0 |
(249) |
斷裂極限 |
8.6.3 有限壽命的齒根圓角敏感系數YδrelT
有限壽命的YδrelT可用線性插入法從持久壽命的YδrelT靜強度的YδrelT之間得到。
8.7 相對齒根表面狀況系數YRrelT
齒根表面狀況系數是考慮齒廓根部的表面狀況,主要是齒根圓角處的粗糙度對齒根彎曲強度的影響。
相對齒根表面狀況系數YRrelT為所計算齒輪的齒根表面狀況系數與試驗齒輪的齒根表面狀況系數的比值。
在無精確分析的可用數據時,按下述方法分別確定6)(6)對經過強化處理(如噴丸)的齒輪,其YRrelT值要稍大于下述方法所確定的數值。對有表面氮化或化學學腐蝕的齒輪,其YRrelT值要稍小于下述方法所確定的數值。)。
8.7.1 持久壽命時的相對齒根表面狀況系數YRrelT
持久壽命時的相對齒根表面狀況系數YRrelT可按表32中的相應公式計算得出,也可由圖36查得。
a——灰鑄鐵;鐵素體球墨鑄鐵,滲氮處理的滲氮鋼、調質鋼;b——結構鋼;c——調質鋼,球墨鑄鐵(珠光體、鐵素體),滲碳淬火鋼,全齒廓感應或火焰淬火鋼;d——靜強度計算時的所有材料
圖36 相對齒根表面狀況系數YRrelT
表32持久壽命時的相對齒根表面狀況系數YRrelT
計 算 公 式 或 取 值 |
材 料 |
RZ<1μm |
1μm≤ RZ<40μm |
調質鋼,球墨鑄鐵(珠光體、貝氏
體),滲碳淬火鋼、火焰和全齒廓感
應淬火的鋼和球墨鑄鐵 |
YRrelT=1.120 |
YRrelT=1.674-0.529(RZ+1)0.1 (250) |
結 構 圖 |
YRrelT=1.070 |
YRrelT=5.306-4.203(RZ+1)0.01 (251) |
灰鑄鐵、球墨鑄鐵(鐵素體), 滲
氮的滲氮鋼、調質鋼 |
YRrelT=1.025 |
YRrelT=4.299-3.259(RZ+1)0.005 (252) |
注:RZ為齒根表面微觀不平度10點高度。 |
8.7.2 靜強度的相對齒根表面狀況系數YRrelT
靜強度的相對齒根表面狀況系數YRrelT等于1。
8.7.3 有限壽命的相對齒根表面狀況系數YRrelT
有限壽命的YRrelT可從持久壽命的YRrelT和靜強度的YRrelT之間用線性插入法得到。
9 輪齒靜強度核算
9.1 適用范圍
當齒輪工作可能出現短時間、少次數(不大于表25和26中規定的N0值)的超過額定工況的大負荷,如使用大起動轉矩電機,在運行中出現異常的重載荷或有重復性的中等甚至甚至沖擊時應進行靜強度核算。作用次數超過上述表中規定的載荷應納入疲勞強度計算。
9.1 載荷及其修正系數
9.2.1 載荷
應取載荷譜中或實測的最大載荷來確定計算切向力。當無上述數據可用時,可取預期的最大載荷Tmax(如起動轉矩、堵轉轉矩、短路或其他最大過載轉矩)為靜強度計算載荷。
計算切向力和最大轉矩的關系式如下:

…………………………………………………………(253)
式中:Fcal——計算切向載荷,N;
d——齒輪分度圓直徑,mm;
Tmax——最大轉矩,N·m。
9.2.2 修正載荷的系數
a)因已按最大載荷計算,取使用系數KA=1。
b)對在起動或堵轉時產生的最大載荷或低速工況,可取動載系數KV=1;其余情況KV按6.2取值。
c)齒向載荷分布系數FHβ,KFβ見6.3,但此時單位齒寬載荷應取 。
d)齒向載荷分配系數FHa,KFa取值同6.4。
9.3 靜強度核算公式
9.3.1 齒面靜強度核算
齒面靜強度必須保證:
σHst≤σHPst…………………………………………………….(254)
當大、小齒輪材料σHPst不同時,應取小者進行核算。
式中:σHst——靜強度最大齒面應力,N/mm2,見9.3.1.1;
σHPst——靜強度許用齒面應力,N/mm2,見9.3.1.2。
9.3.1.1 靜強度最大齒面應力σHst

………………………………(254)
式中KV,KHβ,KHa取值見9.2.2,ZH,ZE,Zε,Zβ及u,b等代號意義及計算同7.1和4.1。
9.3.1.2 靜強度許用齒面接觸應力σHPst

…………………………………………(256)
式中:σHlim——接觸疲勞極限應力,N/mm2,見8.1;
ZNT——靜強度接觸壽命系數,此時取NL=N0,見表25;
ZW——齒面工作硬化系數,見8.4;
SHlim——接觸強度最小安全系數,參見附錄A。
9.3.2 彎曲靜強度核算
彎曲靜強度應保證:
σFat≤σFPst………………………………………………..(257)
式中:σFat——靜強度最大齒根彎曲應力,N/mm2,見9.3.2.1
σFPst——靜強度許用齒根彎曲應力,N/mm2,見9.3.2.2。
9.3.2.1靜強度最大齒根彎曲應力σFat
9.3.2.2靜強度最大齒根彎曲應力σFPst

…………………………………………………(260)
式中:
σFlim——彎曲疲勞極限應力,N/mm2,見8.1;
YST——試驗齒輪的應力修正系數,如用本標準給出的σFlim值計算時,YST =2.0;
YNT——彎曲強度壽命系數,此時取NL=N0,見8.2表26;
YσrelT——相對齒根圓角敏感系數,見8.6;
SFlim——彎曲強度最小安全系數,參見附錄A。
附錄A
最小安全系數參考值15]
使用要求 |
最 小 安 全 系 數 |
SFmin |
SHmin |
高可靠度 |
2.00 |
1.50~1.60 |
較可靠度 |
1.60 |
1.25~1.30 |
一般可靠度 |
1.25 |
1.00~1.10 |
低可靠度 |
1.00 |
0.85 |
注
1 在經過使用使用驗證或對材料強度、載荷工況及制造精度擁有較準確的數據時,可取表中SFmin下限值。
2 一般齒輪傳動不推薦采用低可靠度的安全系數值。
3 采用低可靠度的接觸安全數值時,可能在點蝕前先出現齒面塑性變形。 |
15]附錄A表中各SFmin推薦值是根據ISO6336:1996規定SFmin=1.25,經理論分析論證并參考權威的經驗數據確定的。
附錄B
(提示的附錄)
在變動載荷下工作的齒輪強度核算16] (16]等效采用ISO/DTR10495:1995。)
B1 有載荷圖譜的強度計算
當齒輪在變動載荷下工作且有載荷圖譜(示意圖見圖B1)可用時,應按Palmgreen-Miner定則核算其不同載荷水平下的應力及其疲勞累積損傷計算的強度安全系數。上述定則假定:齒輪在一系列不同的重復應力水平下工作所造成的疲勞累積損傷度,等于每一個應力水平的應力循環次數與材料應力-循環次數特性線(S-N曲線)上該應力水平對應的循環次數的比值之和(參見式(B2))。為了偏于安全,這里所謂的每一應力水平應取每一應力水平區間中的最大應力值。例如,在第i級應力水平下工作的循環次數為NLi,該應力水平所對應的S-N曲線上的應力循環次數為Ni,i=1,2,3,…,則有

……………………………………………..(B1)
U=∑Ui

……………………………………………………..(B2)
式中:Ui——在第i級應力水平下的疲勞損傷度;
。铡X輪疲勞累積損傷度。
為保證齒輪強度安全系數S≥1.0,則需有
。铡1.0…………………………………………………………(B3)
各應力水平區間的接觸應力σHL和彎曲應力σFL分別按式(B4)、(B5)計算,大、小輪應分別計算。
圖B1 工作載荷圖譜示意圖

……………………………..(B4)

………………………………………………..(B5)
式中:TL——應力水平區間內最大的小輪轉矩,N·m;
d1——小輪分度圓直徑,mm;
b——工作齒寬,mm;
ZBD——單對齒嚙合系數ZB與ZD中之大值者,按5.1.5規定取值。
KVL,KHβL,KFβL,KHaL,KFaL是指在TL載荷下的KV,KHβ,KFβ,KHa,KFa值。各系數K及Y的定義見本標準正文第2章。
在計算各應力水平的σHL和σFL時,應取使用系數KA=1.0。
在S-N曲線上有

…………………………………………………..(B6)
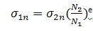
式中:σ1n, σ2n——S-N曲線上點1、點2處的應力,N/mm2;
N1,N2——S-N曲線上點1、點2處的應力循環次數;
e——材料指數。
對接觸強度

………………………………………………………..(B7)
對彎曲強度

………………………………………………………..(B8)
Pi值見表B1。
因此,在變動載荷工況下且有工作載荷譜可用時,齒輪的強度安全系數S可按下式計算:

………………………………………………………….(B9)
亦即
對接觸強度

………………………………………………………..(B10)
對彎曲強度

………………………………………………………..(B11)
為保證齒輪安全工作,需要足本標準(正文)的式(2)式(10),即
和
式中SHmin和SFmin分別是接觸強度和彎曲強度的最小安全系數值,參見附錄A。
表B1 材料疲勞曲線指數pi
計算類別 |
材料及其熱處理 |
工作循環次數NL |
pi |
接觸強度 |
結構鋼;調質鋼;
球墨鑄鐵(珠光體、貝氏體);
珠光體可鍛鑄鐵;
滲碳淬火的滲碳鋼;
感應淬火或火焰淬火的鋼、球墨鑄鐵 |
允許有一定點蝕時 |
6×105<NL≤107 |
6.77 |
107<NL≤109 |
8.78 |
109<NL≤1010 |
7.08 |
不允許出現點蝕 |
105<NL≤5×107 |
6.61 |
5×107<NL≤107 |
16.30 |
灰鑄鐵、球墨鑄鐵(鐵素體);
滲氮處理的滲氮鋼、調質鋼、滲碳鋼 |
105<NL≤2×106 |
5.71 |
2×106<NL≤1010 |
26.20 |
氮碳共滲的滲氮鋼、滲碳鋼 |
105<NL≤2×106 |
15.72 |
2×106<NL≤1010 |
26.20 |
彎曲強度 |
球墨鑄鐵(珠光體、貝氏體);
珠光體可鍛鑄鐵;調質鋼; |
104<NL≤3×106 |
6.23 |
3×106<NL≤1010 |
49.91 |
滲碳淬火的滲碳鋼;火焰淬火、全齒廓感應
淬火的鋼、球墨鑄鐵 |
103<NL≤3×106 |
8.74 |
3×106<NL≤1010 |
49.91 |
灰鑄鐵、球墨鑄鐵(鐵素體);結構鋼;
滲氮處理的滲氮鋼、調質鋼、滲碳鋼 |
103<NL≤3×106 |
17.03 |
3×106<NL≤1010 |
49.91 |
氮碳共滲的滲氮鋼、滲碳鋼 |
103<NL≤3×106 |
84.00 |
3×106<NL≤1010 |
49.91 |
B2 無載荷圖譜時的強度核算
在變動載荷下工作的齒輪又缺乏載荷圖譜可用時,可近似地用常規的方法即用名義載荷乘以使用系數KA來確定計算載荷。當無合適的數值可用時,使用系數KA可參考本標準第6章表3確定。這樣,就將變動載荷工況轉化為變動載荷工況來處理,并按本標準正文中各章的有關公式核算齒輪強度。
附錄C
輪緣系數YB17]
C1 概述
計算分析表明,當齒輪的輪緣厚度SR相對地小于輪齒全齒高ht時(SR及ht意義見C1),輪齒的齒根彎曲應力將明顯增大。光彈實驗和有限元分析均指出:當輪緣齒高比mB=SR/ht≥2.0時,mB對齒根彎曲應力沒有影響。在mB=1.0~2.0區間,齒根彎曲應力開始增大。圖C1是經分析歸納得出輪緣系數YB與輪緣高比mB的關系曲線,它由以mB=1.0和1.56為折點的三段直線組成。
需指出,輪緣系數YB沒有考慮加工臺階、缺口、箍環、鍵槽等結構影響對齒根彎曲應力的影響。
C2 輪緣系數YB
在薄輪緣齒輪根應力基本值計算時,應增加一項輪緣系數YB,用以考慮輪緣齒高比mB對齒根彎曲應力的影響。即對用方法一[見4.2.2a]計算σF0時,本標準中式(12)應改寫成

…………………………….(C1)
或采用方法二[見4.2.2a]計算σF0時,公式(13)應改寫成

…………………………….(C2)
式中:σF0——齒根應力基本值,N/mm2;
b——齒輪寬度,mm;
mn——齒輪模數,mm;
YF,YFa——彎曲強度計算方法一及方法二的齒形系數,見7.2.1;
YS, YSa——彎曲強度計算方法一及方法二的應力修正系數,見7.2.2;
Yβ——彎曲強度計算的螺旋角系數,見7.2.4;
Yε——彎曲強度計算的重合度系數,見7.2.3。
輪緣系數YB可按式(C3)~(C5)計算或由圖C1查取。
當mB<1.0時,

…………………………………………….(C3)
當1.0≤mB<1.56時,

…………………………………………….(C4)
當mB≥1.56時,
YB=1.0…………………………………………….(C5)
圖C1 輪緣系數 YB
采用說明:
17]ISO 6336中彎曲應力計算未給出SR≤3.5mn時的公式。此附錄等效采用AGMA2010-C95中的處理方法并根據ISO限用條件擬合了當1.0≤mB<1.56的YB公式。