2.1聯軸器的特點
聯軸器是一種用來連接兩軸或軸和回轉件的機械部件,并且能夠傳遞轉速和扭矩的一種機械裝置口在傳遞過程中一同回轉而不脫開也不改變轉動方向和扭矩大小,有些聯軸器還有補償兩軸相對位移和緩沖減振等功能。此外,有些聯軸器還可兼作防止傳動軸系過載的安全裝置。
普通聯軸器是用來連接同一軸線上的兩軸,而萬向聯軸器是用于連接兩相交軸或平行、交錯的兩軸,它不但允許有較大的軸間夾角,而且允許軸間夾角在限定的范圍內隨著工作需要而變動。而且其傳遞的載荷范圍也非常廣闊,從數萬牛頓.米至幾牛頓.米不等,它又有結構緊湊,傳動效率高,維修保養比較方便等優點,因此應用較廣,常用于交通運輸機械、冶金機械、石油機械、重型機械和精密機械等。
2.2彈性聯軸器
彈性聯軸器由于具有產生較大彈性形變和阻尼作用的彈性元件,因此除了能補償兩軸相對位移外,還能起緩沖和吸振的作用。彈性聯軸器能適應載荷的波動,應用較廣,類型也較多。聯軸器的緩沖和吸振性能主要與其剛度和阻尼有關。
彈性聯軸器的特點就是在兩個半聯軸器的連接中設置彈性元件。通過彈性元件的彈性變形來補償連軸軸線的相對位移。又因彈性元件能儲蓄機械功,故彈性聯軸器具有緩和沖擊、阻尼振動的能力,彈性元件的需用變形功越大,則這種能力也越強。另外改變彈性元件的彈力常數能改變扭轉振動的自振頻率,從而防止扭轉振動的發生,彈性聯軸器還能改善軸和支撐的工作條件,減小聯軸器所受的瞬時過載,由于彈性聯軸器有這些特點故在受變載荷、啟動頻繁、高速運轉、經常反向以及兩軸不便于嚴格對中的地方經常采用。
彈性聯軸器的扭轉剛度可表示為
C=

(2-1)
式中M
t——聯軸器所受的扭矩kgf·cm;
θ——兩半聯軸器在扭矩作用下的相對扭轉角rad
當聯軸器受扭矩時,轉角與扭矩成正比關系(C為常數)的聯軸器,稱為定剛度聯軸器;不成正比關系(C為變數)的稱為變剛度聯軸器。定剛度彈性聯軸器可用于載荷變化不大的機器連接,剛度隨扭轉角增加而增加的變剛度聯軸器時用于載荷變化較大或有共振可能的軸系,以避免共振。
彈性聯軸器結構簡單、制造容易、維護方便,從而使它的應用日益廣泛:彈性聯軸器的彈性元件分為金屬彈簧式和非金屬彈簧式。非金屬彈性元件一般用橡膠、尼龍、皮革等制成,均為變剛度的,內摩擦大,重量輕,單位體積材料儲存的變形能大,阻尼性能好,不需潤滑。但橡膠強度低,易蠕變,耐油耐熱性差,故聯軸器發生劇烈振動時要注意溫升。橡膠彈性元件承受變載荷時,宜預緊,避免反向應力,尼龍制的彈性元件強度比較好,比橡膠耐磨,彈性模量也比橡膠大得多,使用溫度范圍為-20到-70℃。
2.3高彈性聯軸器
高彈性聯軸器的彈性元件為橡膠組合環,它是由橡膠彈性環硫化在兩個金屬盤上制成。橡膠彈性環一般成對配置,為了增加橡膠彈性環與金屬盤的粘結面積,把兩者的接觸面設計成錐形,再加上裝配是的預壓縮變形產生的與壓應力,從而提高了聯軸器的承載能力和可靠性。對于較大功率的傳動,可采用多列橡膠環。
高彈性橡膠聯軸器的橡膠組合環與連接盤、連接凸緣用螺栓連接在一起,一對像膠組合環之間設有內外限制盤,構成聯軸器的整體。把聯軸器兩側的連接法蘭與軸上套裝的輪毅法蘭相連即可用于傳遞扭矩。這種聯軸器具有高的彈性和良好的減震性能,無相對摩擦,不需潤滑,適用于潮濕、多塵、沖擊較大的兩軸連接。
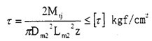
高彈性橡膠聯軸器能補償軸線間較大的綜合位移,按不同的規格,許用徑向位移△y=1.2~6.2mm,許用軸向位移△x=0.7~3.5mm,許用角位移△a=3.2°,被連接兩軸的相對扭轉角θ≤10°,瞬時最大扭矩時為θ≤25°,高彈性橡膠聯軸器傳遞的扭矩與扭轉角的關系
式中Dm2——橡膠環的平均外徑cm,
Dm2——橡膠環的平均內徑cm,
Lm2——橡膠環平均外徑出的外緣寬度cm,
G——為橡膠的切變模量kgf/cm2,z為橡膠環的數目。
橡膠環的扭剪應力
2.4聯軸器的選擇
目前聯軸器種類繁多,性能各異。根據不同的原則可以由不同的分類。一般可分為剛性和彈性兩大類。剛性聯軸器中又有固定式和可移式兩種不同的聯軸器。彈性聯軸器很據彈性元件的不同可分為金屬彈性元件聯軸器和非金屬彈性元件聯軸器兩種類型。不司結構和材料的聯軸器的承載能力差別很大。以傳遞動力為主的聯軸器與以傳遞或控制運動為主的聯軸器顯然不同。不同類型的聯軸器適應的轉速范圍亦不一樣。由于制造和安裝誤差,運轉中軸承磨損和基礎下沉,工作時受載變形和熱變形等各種原因,聯軸器所聯兩軸難免發生相對位移。通常,聯軸器補償兩軸相對位移有兩種方式,一種是借助聯軸器中相對可動元件,使兩半聯軸器發生相對運動:另一種是在聯軸器中安置彈性元件,借助此元件的彈性變形,使兩半聯軸器發生相對運動。第一種補償方式,由于有滑動摩擦,引起磨損、摩擦發熱和功率損耗,需要定期潤滑和維護。這類聯軸器工作性能在很大程度上與其潤滑和維護條件有關。第二種補償方式,可以避免摩擦,因而沒有磨損,也不要潤滑和經常維護,但這類聯軸器補償兩軸相對位移的能力較差。
聯軸器的選用一般是根據工作條件,原動機及工作機械的特性確定聯軸器的合適類型。選用聯軸器是要考慮傳遞扭矩的大小,載荷有否沖擊、循環及共振可能性等;還須考慮連軸器的制造誤差、裝配引起的誤差、軸受載荷和受熱膨脹后的變形,以及部件之間相對運動等原因引起的兩軸軸線的相對位移大小。
選擇聯軸器的類型時,還應考慮工作環境的影響。例如溫度、濕度及腐蝕性介質等。油、溶劑、陽光和溫度對含有橡膠彈性元件的聯軸器影響較大,容易引起橡膠老化而改變其物理性能和機械性能。此外還應注意選用有潤滑的聯軸器因漏油而污染環境或產品,以及對聯軸器降低噪音和保證安全的要求。
此外,還應考慮聯軸器的外形尺寸和安裝方法,使聯軸器能適應工作環境,裝配、挑戰和維修能適應給定的操作空間。應能在軸不需作軸向移動的條件下,裝拆大型聯軸器。
聯軸器的類型選定后,就可以根據軸的直徑、扭矩和轉速確定聯軸器的型號和結構尺寸。必要時要進行強度校核,對關鍵的零部件進行驗算(如轉速高適應驗算輪轂外緣的離心應力,并需進行平衡檢驗,如是彈性聯軸器應計算單性元件的變形)。大部分的聯軸器已經標準化和系列化,可以參照有關手冊查閱和選用。有時可根據工作要求,參照詳盡聯軸器的標準自行設計,決定聯軸器的結構和尺寸。
選擇聯軸器時,聯軸器的計算扭矩應取機械不穩定運轉時的動載荷及過載時的最大扭矩。如最大扭矩能精確求出時,則此最大扭矩就可作為聯軸器的計算扭矩,而最大扭矩不能精確求得時,聯軸器的計算扭矩可按下式確定
Mtj=KMt (2-4)
式中Mtj——計算扭矩,kgf·m
K——工作情況系數,其值見表2.1
Mt——聯軸器需傳遞的扭矩,kgf·m
表2.1 工作機械的工作情況系數
原動機 |
工作機械 |
K |
電動機 |
皮帶運輸機,鼓風機
鏈式運輸機,刮板運輸機,螺旋運輸機,離心泵,攪拌機等
往復式泵,往復式壓縮機,球磨機,破碎機,沖剪機等
起重機,升降機等 |
1.25~1.5
1.5~2.0
2.0~3.0
3.0~4.0 |
渦輪機
往復式
發動機 |
發電機,離心泵,鼓風機等
發電機等
離心泵等
往復式工作機(如壓縮機) |
1.2~1.5
1.5~2.0
3~4
4~5 |
從表2.1中可知,有比較大的變化范圍,機器的工作愈不平穩,K值就愈大。應特別注意表中給出的K值有比較大的變化范圍,一般對剛性固定式聯軸器、剛性可移式聯軸器選用表中較大的K值,彈性聯軸器選用表中較小的K值,工作機械的轉動慣量小,載荷平穩時,取較小的K值,對于安全聯軸器則選用最小的K值。
2.5聯軸器的工作情況
大功率柴油機輸出轉矩的不均勻性對傳動裝置的工作可靠性和壽命有重大影響。對多缸柴油機采說,由于以下四方面原因的存在:
(l)柴油機氣缸內爆發壓力所產生的激振力矩是脈沖式周期變化的;
(2)柴油機曲柄連桿機構的質量及慣性所產生的激振力矩是周期變化的;
(3)接受功率部件所吸收的轉矩不是定值而產生的激振力矩是隨機變化的;
(4)各缸功率不均衡偏差的客觀存及其分布的隨機性導致柴油機輸出轉矩產生隨機波動性等,致使柴油機輸出轉矩的不均勻性不可避免。
為了改善傳動裝置的工作條件、延長其使用壽命,一般在柴油機與傳動裝置之間安裝具有減振性能的彈性聯軸器,從而達到有效衰減柴油機輸出轉矩的不均勻性。但是,具有某一定值彈性的聯軸器,并不是在任意的變扭矩作用下都能產生減振的效果,有時反而會引起更強烈的振動。其原因不在于此聯軸器剛度的大小。只有聯軸器的剛度與整個傳動軸系的其他參數和在和協調時,才能產生減振效果。
聯軸器的彈性元件采用剪切型橡膠元件,該橡膠元件的彈性高,外形尺寸大,適用于對減振和緩沖要求較高的傳動。聯軸器受到來自柴油機的不均勻的輸出轉矩以及萬向節所傳遞的扭轉振動,使聯軸器兩軸存在相對徑向位移,引起一定數量的徑向附加載荷和軸向附加載荷,從而導致彈性原件的失效。如果徑向位移過大,不僅對彈性聯軸器會造成影響,還將使萬向軸和軸承承受很大的附加徑向載荷;產生振動,噪聲等不良影響。
聯軸器是一種用來連接兩軸或軸和回轉件的機械部件,并且能夠傳遞轉速和扭矩的一種機械裝置,在傳遞過程中一同回轉而不脫開也不改變轉動方向和扭矩大小,有些聯軸器還有補償兩軸相對位移和緩沖減振等功能。本章通過對聯軸器的系統介紹,基本了解了普通聯軸器以及彈性聯軸器的特點及所用場合。了解聯軸器的選用標準和方法,同時還分析了的聯軸器的工作情況。聯軸器受到來自柴油機的不均勻的輸出轉矩以及萬向節所傳遞的扭轉振動,使聯軸器兩軸之間產生相對位移,引起一定數量的徑向附加載荷和軸向附加載荷,從而導致彈性元件的失效。