3.1彈性聯軸器的剛度和阻尼
彈性聯軸器由于具有能產生較大彈性變形和阻尼作用的彈性元件,因此除能補償兩軸相對位移外,還能起緩沖和吸振的作用。彈性聯軸器能適應載荷的波動,所以其應用較廣,類型也較多。這種聯軸器的緩沖和吸振性能主要與其剛度和阻尼有關。
聯軸器的剛度可分為徑向剛度、周向剛度和扭轉剛度。由于載荷變化多數以扭矩波動形式出現,由此引起的振動也是以扭轉振動為主,所以聯軸器最主要的剛度是扭轉剛度。扭轉剛度易產生單位扭轉變形所需的扭矩表示。通常,由于傳動軸系中其它零件的剛度都比彈性聯軸器的剛度大得多。所以為了簡化起見,其它零件的彈性可以略去不計。僅考慮聯軸器彈性,并根據這一情況以聯軸器的剛度作為傳動軸系的剛度。剛度可用下式表示:
C=T/

(3-1)
式中T——聯軸器傳遞的扭矩;

——在扭矩作用下兩半聯軸器的相對扭轉角。
當軸系接近發生共振時,剛度隨扭矩增大而增大,改變傳動軸系的固有頻率與振動頻率之間的關系,就能避開共振。
彈性聯軸器在傳遞不穩定扭矩的過程中,彈性元件的彈性變形隨扭矩的改變而增減。由于變形的不穩定,在彈性元件相對運動的接觸表面上產生外摩擦,同時在彈性元件內部還存在內摩擦。這些摩擦將吸收一部分動能轉化為熱能,使溫度升高。這就是聯軸器的阻尼作用。阻尼作用能實現緩沖和衰減振動。聯軸器的阻尼性能可以用阻尼系數表示。它是每一次載荷循環中產生的阻尼能和儲存在扭轉彈性元件中的變形能之比,即ф=W
d/W
e。在振動運動微分方程中,粘滯阻力系數用y來表示,它與阻尼系數之間的關系為Y=

,ω為振動頻率或繞動力矩變化頻率。阻尼系數大,由于摩擦而消耗的能量就多,反之,阻尼系數小,由于摩擦而消耗的能量就少。
彈性聯軸器一般都有緩沖和吸振功能,但是具有某一定值彈性的聯軸器,并不是在任意的變扭矩作用下都能產生減振的效果,有時反而會引起更強烈的振動。其原因不在于此聯軸器的剛度大小。可見,只有剛度和整個傳動軸系的其他參數和載荷協調時,才能產生減振效果。因此,必須根據課題條件,通過計算來定出聯軸器的剛度。
3.2周期性載荷作用下的動力特性計算
對于某一已定的傳動軸系,轉動慣量和固有頻率可由計算求得,如果已知所傳扭矩的變化規律,如振幅和頻率等,就能建立起軸系在扭轉振動式的運動微分方程,對該方程求解,即可得到所需的聯軸器的剛度。
為了便于求解運動微分方程,需要對傳動軸系中聯軸器的主動和從動兩側的轉動慣量和剛度作力學模型的簡化。根據具體結構情況,可以將軸系簡化為若干個等效轉動慣量圓盤,以具有某一剛度的周聯系起來。通常比較典型的是簡化為兩個等效的圓盤,配置在聯軸器的兩側。并設定所聯兩軸的剛性很大,只有聯軸器具有彈性和阻尼。如圖3.1所示

設定主動軸與圓盤1以恒扭矩經聯軸器帶動從動軸上的圓盤2,而在從動圓盤上有按簡諧規律變化的擾動扭矩分量。此時,根據動量矩定理,按聯軸器兩側力矩平衡條件,可以分別列出兩圓盤的轉動運動方程式,即系統扭振的微分方程為:

(3-2)

(3-3)
式中

,

——主從動圓盤的轉角

--兩圓盤的相對扭轉角
I1,I2——主、從動軸上圓盤的等效轉動慣量

,

——主、從動軸的角速度

,

——主、從動軸的角加速度
C——聯軸器的剛度
r——聯軸器粘滯阻力系數
Td2sinωt——從動軸圓盤上的擾動扭矩
以上兩式合并得到二階常系數線性非其次微分方程
上式的解由兩部分組成,即對應的其次方程的通解和本方程的特解。經運算后可得到聯軸器所受的諧振扭矩為:
當sin(ωt+a)=l時,表示諧振扭矩達到最大值:
由上式可知,在有阻尼的受迫振動中,經連軸器傳遞振動扭矩的振幅,主要與動力放大系數和轉動慣量有關。當擾動扭矩作用一側的轉動慣量大于另一側的轉動慣量時,可以減小振動扭矩的振幅。反之,對減小振動扭矩振幅的作用不大。動力放大系數對振動扭矩振幅的影響與阻尼系數、擾動扭矩的變化頻率及軸系固有頻率的比值等有關。當阻尼系數一定時,振動扭矩的振幅僅與軸系的固有頻率有關,即與聯軸器的剛度有關。
以下分幾種不同的擾動扭矩變化頻率與軸系固有頻率的比值,分析對振動扭矩振動的影響。為了簡便起見,不計阻尼系數,即

項等于零。
(l)當

=0,或

,動力放大系數K
d總大于1。
這表示經聯軸器的振動扭矩沒有放大,前一種情況相當于沒有擾動扭矩,或者可認為軸系的固有頻率為無限大,即聯軸器為絕對剛性體,其剛度C無限大。后一種情況表示聯軸器具有一定的剛度,軸系的固有頻率與擾動扭矩的變化頻率的比值剛好為

。
(2)當0<

<

時,動力放大系數K
d總大于1。
表示在該擾動扭矩的變化頻率下,聯軸器的剛度還太大,而彈性不夠,不能起到減振的作用,以致使經聯軸器傳遞的振動扭矩增大。若

,則K
d=∞,這表明經過聯軸器傳遞振動扭矩的振幅達到無限大,也就是說,軸系發生扭轉共振。此時如有阻尼存在,則動力放大系數為K
d=
即不會使扭轉振動的振幅無限增大。但是通常

都是大于1,因此即使有阻尼,扭振還是存在,阻尼對傳動系統的影響程度,完全取決阻尼系數的大小。
(3)當

>

時,動力放大系數K
d<1。
表示只有在固有頻率為擾動扭矩的變化頻率的萬倍時,彈性聯軸器才能起到減振的效果。頻率比值

>>

,意即采用剛度很小的彈性聯軸器,這樣動力放大系數可降到很小值,這對減振的效果最好,但是卻過分降低了聯軸器的承載能力。此外當比值過分大時,也有可能與較高一階的共振頻率接近,仍會引起共振。因此,聯軸器的剛度也不宜過分小。
3.3沖擊載荷作用下的動力特性
機械可能受到周期性的擾動扭矩作用而引起軸系振動,也可受非周期性的擾動扭矩作用而引起軸系振動。例如有沖擊載荷引起的軸系振動。在許多機械上,比較常見的是沖擊式作用的變載荷。對于從動軸上作用有常量沖擊載荷的情況,與前述情況相似,仍可通過根據沖擊載荷條件列出的運動方程,得到在常量沖擊載荷作用下的物阻尼系統。有沖擊載荷產生的扭轉角為:
上式表明軸系有沖擊載荷作用時,經聯軸器傳遞振動扭矩的大小,除與轉動慣量有關外,還與沖擊載荷作用的時間長短有關。以下為按沖擊載荷作用時間的長、短的兩種情況:
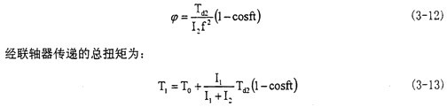
1.沖擊載荷突然作用后,在長時間內保持不變,這樣的承載方式相當于機械先空載起動,然后在滿載條件下工作。此時經聯軸器傳遞的總扭矩為
T
1=T
0+

T
d2(1-cosft) (3-9)
式中T
0經聯軸器傳遞的穩定扭矩,T
d2表示作用在從動軸上的沖擊扭矩,當t=

時,經聯軸器傳遞的扭矩達到最大值:
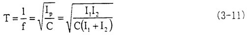
上式表明,如果發生沖擊扭矩一側軸上的轉動慣量較小,經聯軸器傳遞的扭矩接近于沖擊扭矩的2倍,聯軸器的振動周期T為:
在沖擊載荷作用下,聯軸器的彈性高低,對沖擊載荷引起,經聯軸器傳遞最大扭矩的幅值并無影響。只是改變振動周期的長短。聯軸器的彈性愈高,固有頻率愈低,經聯軸器傳遞的扭矩達到最大值的時間就愈長。因此,聯軸器的彈性對改善傳遞扭矩的平穩性有利。影響聯軸器傳遞的扭矩最大值的因素之一,就是聯軸器兩側轉動慣量的比值。當沖擊載荷作用一側軸系的轉動慣量大于另一側軸系的轉動慣量時,就能減小經聯軸器傳遞的振動扭矩值。此外,當聯軸器具有阻尼時,由于阻尼消耗了一部分沖擊能量,也可減小最大扭矩。
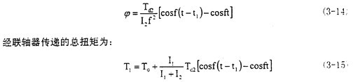
2.沖擊載荷突然增加后,只持續一段較短的時間t,就恢復正常值。當沖擊載荷持續作用的時間t
1≥

,即持續時間大于或等于固有頻率
的周期的一半時,經聯軸器傳遞的扭矩仍然有時間達到最大值。因此,這種短時受沖擊載荷與沖擊載荷增加后在較長時間內保持不變的情況一樣,在0<t<t
1這一時間內,經聯軸器傳遞的扭矩,當不計阻尼時,仍可用(3-1)計算。只有當沖擊載荷作用時間t
1<

,才是屬于突然的短時間受沖擊載荷。此時經聯軸器傳遞的振動扭矩仍可按上述方法得出有關計算式。
當時間區間為O≤t≤t1時(即沖擊載荷開始作用至消失時的時間)由沖擊載荷引起的兩半聯軸器的相對扭轉角為:
這與(3-9)相同,對于t≥t1,即在沖擊載荷消失之后的某一時刻,以上兩式轉化成
如下形式:
因沖擊載荷引起的兩半聯軸器相對扭轉角:
由式(3-10)可知,在短時沖擊載荷作用下,聯軸器傳遞的最大扭矩隨t1與f之間的關系而變。例如
由此可見,隨著沖擊載荷作用時間的縮短,經聯軸器傳遞的最大扭矩也隨著減小。或者在沖擊載荷作用時間相同的條件下,只要所選聯軸器的彈性相當大,使得軸系的固有振動頻率降低以達到保持

> t
1,就能使經聯軸器傳遞的最大變動扭矩小于沖擊扭矩。綜上所述,有沖擊載荷作用時,選擇具有彈性的聯軸器,能夠起到緩沖作用。需要多高的彈性,則與沖擊載荷持續作用的時間、軸系的轉動慣量等有關。一般聯軸器的承載能力,隨著彈性的增加而降低。因此,對于大型的和需要量較多的聯軸器,如果按上述方法選定聯軸器,則其尺寸和重量都有加大,從而增加制造成本并增加軸系的附加載荷。為此,當沖擊載荷作用次數不多時,可以采用安全性聯軸器,或采用具有較高阻尼的彈性聯軸器。
3.4不對中時的運動及動態特性
實際上可以將不對中分為冷態不對中和熱態不對中兩種情況。其中冷態不對中主要是指在室溫下由于安裝誤差造成的對中不良;熱態不對中指聯軸器在運行過程中由于溫度等因素造成的不對中。其主要原因有:轉子各零部件受熱不均,使聯軸器產生熱膨脹變形和扭曲變形;發動機熱膨脹時由于表面的摩擦力及導向鍵磨損引起軸承座傾斜和側行;由于轉子的饒性和重量分配不均勻,轉子在安裝之后產生原始彎曲,進而影響對中情況。
3.4.1不對中時的運動分析
(1)當轉子軸線存在軸向的位移時(如圖3.2),軸向位移只會產生附加的周向應力,而不會影響轉子的運動性。所以這里不進行計算。
(2)當轉子軸線之間存在徑向位移時(如圖3.3所示),聯軸器的中間套齒與半聯軸器組成移動副,不能相對轉動,但是中間套齒與半聯軸器產生相對滑動而作平面圓周運動,即中間套齒的中心是沿著以徑向位移△y為直徑作圓周運動,如圖3.4所示。
設A為主動轉子的軸心投影,B為從動轉子的軸心投影,K為中心齒套的軸心,那么有AK丄BK,設AB長度為D,K點的坐標為K(x,y),取θ為自變量,如圖3.5所示。則有
則K的線速度為
由于中間套齒平面運動的角速度等于轉軸的角速度,即

=ω,所以K點繞圓周中心運動的速度為
由上式可知,K點的轉動為轉子轉動的角速度的兩倍,因此當轉子高速運動時,就會產生很大的離心力,激勵轉子產生徑向振動,其振動頻率為轉子工頻的兩倍。
(3)當轉子軸線之間存在偏角位移時(如圖3.6),從動轉子的角速度與主動轉子角速度是不同的,從動轉子的角速度為
式中ω1,ω2——分另為主動轉子和從動轉子的角速度
a——從動轉子的偏斜角
ф1——主動轉子的轉角
當主動轉子的回轉角速度為常數時,從動轉子的角速度是偏角和主動轉子轉角的函數。當或ф
1=0
0或180
0時,ω
2最大,當ф
2=90
0獲270
0時,ω
2最小。其轉速比變化曲線如圖3.8所示,即有ω
1cosa≤ω
2≤
由此可知,當發動機或機組的轉子軸線發生偏角位移時,其傳動比不僅隨轉子每轉一周變動兩次,而且其變動的幅度雖偏角的增加而增大,因而從動轉子由于傳動比變化所產生的角加速度激勵轉子而發生振動,其徑向振動頻率也為轉子工頻的兩倍。
(4)實際旋轉機械的轉子聯軸器處既有平行不對中,又有偏角不對中,即為兩種情況的綜合,因而轉子發生徑向振動的頻譜特征是兩者綜合的結果,其徑向振動頻率為轉子工頻的兩倍。
3.4.2不對中時的動態特性
由上面的運動分析可知,軸向不對中時對聯軸器的運動情況可以忽略。所以動態特性分析也只考慮平行不對中、偏角不對中以及平行偏角不對中三種情況。
聯軸器連接的兩轉子軸線之間發生不對中故障時具有平行位移或角度位移,在運動傳遞過程中,聯軸器中間齒套的運動必須同時滿足兩半聯軸器的需要,即中間齒套軸線作平面運動,且軸心線的回轉運動頻率與轉子的運行頻率不一致。當產生平行不對中、偏角不對中和平行偏角不對中三種情況時,聯軸器中間齒套的軸線回轉軌跡分別為圖下圖所示的圓柱體、雙錐體和半雙錐體。在這些圖中,O1,O2為兩半聯軸器的軸心,O,O′為聯軸器中間套齒的靜態和動態回轉中心,△y,△a分別為轉子系統的平行和偏角不對中量。
對于上面圖中所示的三種情況,任意回轉輪廓的截面圖為一周,如圖3.12所示,O′的運動軌跡可以描述為
X=△Esin(Ω′t-Ψ) (3-24)
式中Ω——轉子的回轉角頻率
△E——當量不對中量,△E=

(平行不對中時);
△E=

(偏角不對中時)
Ψ——初始相位角,Ψ=2ф(平行不對中時);
Ψ=2ф(偏角不對中時左端);Ψ=2ф-

(偏角不對中時右端)中間套齒對轉子系統施加的激振力為
Fx=4M△EΩ2sin(Ωt-ф),Fy=4M△EΩ2cos2(Ωt-ф) (3-24)
工作狀態下聯軸器的動態特性如圖3.13所示,兩半聯軸器的中心為O1和O2,聯軸器外殼的動態中心為O′,當系統以Ω轉動時,外殼重心的加速度在
其中△e=OO′為系統當量不對中量,在轉軸的彈性力的作用下,由質心運動定理:m 0=-kX,m 0-kY,考慮到外阻力的作用
現在對結果進行討論:
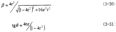
(1)當r趨近于O時,動力放大系數M趨近于O;θ趨近于O,這表明,系統在轉速較低時,其向應振幅較小,且有較小的相位角。
(2)當r=1/2時,系統發生共振,系統具有振幅最大值,該值的大小只與阻尼系數有關,與此同時,相位角為

。
(3)當r趨近于∞時,動力放大系數M趨近去1,這表明,系統在轉速較高時,其向應振幅趨于穩定。振幅并不隨激振力的迅速增加而加大,與此同時,相位角θ趨近于π,并逐漸保持穩定。
3.5本章小結
本章通過引入聯軸器的剛度和阻尼,計算了彈性聯軸器在周期性載荷與沖擊載荷二的動力特性。在第四節中著重分析了平行不對中,偏角不對中以及平行偏角不對中的運動與動力特性。
從各種不對中的運動學和動力學分析可以得出如下結論:
(1)激勵力幅與不對中量成正比,隨不對中量的增加,激勵力幅則線性加大
(2)在不對中情況下,中間圓環的軸芯線相對于聯軸器的軸心線產生相對運動,其中,平行不對中的回轉輪廓為一圓柱體,偏角不對中時為一雙錐體,平行偏角不對中時為半雙錐體。回轉體的范圍由不對中量決定。
(3)聯軸器處于工作狀態時,無論是哪一種不對中形式,系統的響應在轉速達到臨界轉速的一半時發生共振,振幅具有最大值。同時,相位角為
(4)系統在轉速大于臨界轉速后,隨轉速的增加,其響應振幅趨于穩定,并不隨激勵力的迅速增加而增大。