不對中狀態的理論分析
4.1以材料力學為基礎的受扭分析
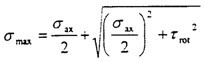
聯軸器正常工作情況下,只受到一個旋轉的扭矩。因此首先來研究圓環受扭轉時的應力,這要綜合研究幾何、物理和靜力等三方面的關系。

4.1.1變形幾何關系
為了觀察圓軸的扭轉變形,與薄璧圓筒受扭一樣,在圓周表面上作圓周線和縱向線,在扭轉力偶矩m作用下,得到與薄璧圓筒受扭時相似的現象。即:各圓周線繞軸線相對地旋轉了一個角度,但大小,形狀和相鄰圓周線的距離不變,在校變形的情況下,縱向線仍然近似地是一條直線。只是傾斜了一個微小的角度,變形前表面上的方格,變形后錯動成菱形。
根據觀察到的現象,做下述基本假設:圓周扭轉變形前原為平面的橫截面,變形后仍保持平面,形狀和大小不變,半徑仍保持為直線;且相鄰兩截面間的距離不變。這就是圓周扭轉的平面假設。按照這一假設,扭轉變形中,圓軸的橫截面就像剛性平面一樣,繞軸線旋轉了個角度。以平面假設為基礎到處的應力和變形計算公式,符合試驗結果,且與彈性力學一致。
在圖4.1中,ф表示圓周兩端截面的相對轉角,稱為扭轉角。扭轉角用弧度來度量。用相鄰的橫截面p-p和q-q從軸中取出長為dx的微段。剪應變
y=P

(4-1)
式中dф/dx是轉角中沿x軸的變化夔。對一個給定的截面來說,它是常量。公式表明,橫截面上任一點的剪應變與該點到圓心的距離p成正比。
4.1.2物理關系
以

表示橫截面上距圓心為p出的剪應力,由剪切胡克定律知道

=G·y (4-2)
將式(5-1)代入上式則可以得到

= G·P

(4-3)
這表明,橫截面上任一點的剪應力 P與該點到原新的距離P成正比。因為YP發生于垂直于半徑的平面內,所以YP也與半徑垂直。如果注意到剪應力互等定理,則在縱向截面和模截面上,沿半徑剪應力的分布如圖4.2所示
因為公式中的 dф/dx尚未求出,所以仍不能用它計算剪應力,這就要用靜力關系來解決。
4.1.3靜力關系
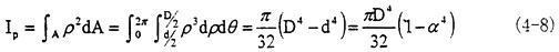
于圓軸橫截面內,按極坐標取微分面積dO,求出內力系對圓心的力矩就是截面上的扭矩即:
Ip稱為橫截面對圓心點的極慣性矩。由公式可以算出橫截面上距圓心為p的任一點的剪應力為:
在圓截面邊緣上,p為最大值R,得到最大剪應力為:
引用記號W
t=

,W
t為抗扭截面系數,便可以改寫公式為τ
mox=

,導出的公式中引進了截面極慣性矩和抗扭截面系數,在空心軸的情況下有
其中D和d分別為空心圓截面的外徑和內徑,R為外半徑,a=d/D
最后建立圓軸扭轉的強度條件,根據軸的受力情況或扭矩圖,求出最大扭矩Tmax。對于等截面桿,按照公式算出最大剪應力τmax不超過許用應力[τ],
4.2以彈塑性力學為基礎的受扭分析
在材料力學中已知圓軸扭轉時的變形規律。隨著扭矩MT的增加,剪應力也不斷增大。由于圓軸最多層剪應力最大,因而最外層首先進入塑性狀態,此時的扭矩就是圓軸的彈性極限扭矩
M
T=

(τ
θz)
max (4-11)
(1)當最外層開始屈服時,此時最外層剪應力應達到剪切屈服應力τ
y,即(τ
θz)
max=τ
y,如圖4.4(a),于是有

τ
y。
若選用Mises屈服準則,則有
若選用Tresca屈服準則,則有
(2)當圓軸整個截面都進入塑性狀態,如圖4.4(c),此時的扭矩就是圓軸的塑性極限

,即

若選用Mises屈服準則,則
若選用Tresca屈服準則,則
(3)當扭矩M
T處于彈性與塑性極限扭矩之間時,即

<M
T<

時,則圓軸外層處于塑性狀態,內層處于彈性狀態,彈性區與塑性區的分界面半徑為r
P,此時扭矩
此時剪應力在截面上沿半徑R的分布情況見如圖4.4(b)所示。
若先Mises屈服準則,則有
若選用Tresca屈服準則,則有
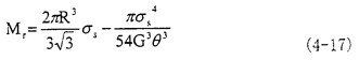
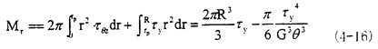
隨著扭矩的增加,塑料性區由圓軸的外層向軸的中心逐漸擴大,直至整個截面全部進入塑性狀態。當軸的整個截面全部進入塑性狀態后,圓軸將進入無約束的塑性變形,此時的圓軸將完全喪失承載能力。
彈性與塑性極限扭矩之比為:
4.3軸向不對中時的聯軸器的工作狀態
在像膠右端面圓環上取單元體,且在分析過程中時取關鍵的四個象限點的位置作為研究對象,分別為90°,180°,270°,360°位置為研究對象。后面的徑向不對中、角向不對中以及綜合不對中也采用相同的4個位置進行分析。
軸向不對中時,由于軸向的偏移,橡膠圓環左端面受到附加,的向左拉應力,右端面則受到附加的向右的拉應力,并且在旋轉過程中,拉應力σax的大小和方向的大小和方向都不會隨著圓環的旋轉角度改變而改變;由橡膠圓環旋轉扭矩產生的剪應力τrot方向始終與其線速度方向相反,而線速度方向在旋轉一周的過程中不斷的變化。軸向不對中時的應力情況應該是σox與τrot的疊加,所以其受力情況比較復雜。
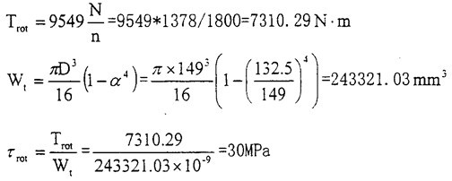
根據實際情況計算出工作時的剪應力:GK2型內燃機車啟動發電機ZQF-38TH,115V,38KW,1170~358Or/min;GK2型內燃機機用柴油機型號為MTU16V396TC14,持續功率為1378KW,旋轉角速度為18O0rod/min。柴油機冷區液溫度為40℃時最小啟動轉矩包括加速余量約8OON.m,曲軸扭矩約75ON.m
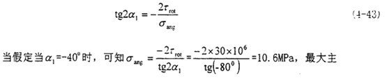
根據聯軸器破壞時的橡膠圓環的裂紋方向和角度,可以知道裂紋有一個400的斜角,也就是說引起破壞的應力平面具有一定的角度。首先假設破壞僅僅是源于軸向不對中應起的,下面對具體的位置進行討論。
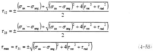
(1)軸向不對中90°位置:當圓環上的單元體旋轉到最上方時,也就是90°位置時,單元體的應力如下圖所示。
此時的受力情況其實屬于二向應力狀態,利用解析法可知
最大主應力平面如圖4.9所示。
(2)軸向不對中180°位置:當圓環上的單元體旋轉到最左端時,也就是180°位置時,單元體的應力如下圖所示
此時的受力情況仍然屬于二向應力狀態,只是分析的平面沿著跟著旋轉了90°,得出最大、最小主應力為
此時主平面上的正應力平面的角度有這種關系,即a2較a1逆時針旋轉了90°
(3)軸向不對中270°位置:當圓環上的單元體旋轉到最下方時,也就是270°位置時,單元體的應力如下圖所示
此時的受力情況仍然屬于二向應力狀態,只是分析的平面跟著旋轉了90°,
此時主平面上的正應力平面的角度有這種關系,即a3較a2逆時針旋轉了90°
(4)軸向不對中360°位置:當圓環上的單元體旋轉到最右端時,也就是360°位置時,單元體的應力如下圖所示
此時的受力情況仍然屬于二向應力狀態,
只是分析的平面跟著再旋轉了90°,此時主平面上的正應力平面的角度有這種關系,即a4較a3旋轉了90°
tg2o
4=-

(4-27)
由上面的分析可知,在軸向不對中時,聯軸器受到的最大應力的大小始終不變,

大應力方向隨著旋轉角度變化。
4.4徑向不對中時的聯軸器的工作狀態
徑向不對中時,由于徑向的偏移,橡膠圓環左端面受到附加的向下的剪應力,右端面受到附加的向上的剪應力,并且在旋轉過程中,剪應力τrad的大小和方向都不會隨著圓環的旋轉角度改變而改變;由橡膠圓環旋轉扭矩產生的剪應力τrot,方向始終與其線速度方向相反,而線速度方向在旋轉一周的過程中不斷的變化,徑向不對中時的應力情況應該是τrad與τrot,的疊加。所以其受力情況比較復雜。同樣取徑向位移的方向為y軸,與徑向位移垂直的方向為x軸,建立坐標系。分別取四個象限點的位置狀態作為研究重點,分別對單元體進行應力分析。
(1)徑向不對中90°位置時,這時由,單元體的應力如下圖所示
此時的應力屬于空間應力狀態分析,變形體中任何一點處的應力在不同方向的平面上有不同的值。所謂應力狀態指的是任意一點處的應力的大小和方向以及不同平面上應力間的關系。在主平面上,只有正應力,而剪應力分量等于零。主平面上的正應力叫做主應力。由代數理論可知,有以下方程

(4-28)
該方程有三個實根,分別為σ1,σ2,σ3,且有σ1≥σ2≥σ3,此三個應力即為分別作用于三個相互垂直平面上的主應力值,并且在此三個平面上無剪切應力。當坐標變換時,雖然每個應力分量都隨之改變,但是有些量是不變的,Il,I2,I3分別為第一,第二,第三應力不變量。
σzx=τrod分別代入(4-29)(4-30)(4-31),得到具體的三個不變量的值
由式(4-35)可知,最大應力平面剛好在垂直于正弦矢量相加的方向。
當τ
rot=10MPo時,可以算出σ
max=σ
1=

(2)徑向不對中180°位置:當圓環上的單元體旋轉到最左端時,也就是180°位置時,單元體的應力如下圖所示
由圖示可知,此時單元體的受力其實是屬于純剪切狀態,只是此時的剪切應力為τrad與τrot的疊加。此時剪應力τrad與τrot的方向相反。所在最大應力有所抵消。
此時主平面上的正就力平面的角度有這種關系:tg2a2=-∞,所有a2=-450或-1350
當τrot=10MPa時,可以算出σmax=30-10=20MPa
(3)徑向不對中2700位置:當圓環上的單元體旋轉到最下方時,也就是2700位置時,單元體的應力如下圖所示
此時的受力由圖上可以看出,屬于空間應力狀態,其基本分析過程類似于徑向不對中900狀態,現在將徑向不對中2700時的受力情況:σxx=0,σyy=0,σzz=0,τxy=-τrot,σyz=0,σzx=0,σzx=τrod分別代入式(4-29)(4-30)(4-31),得到
將上述主應力的值代入就可以得知
由式(4-39)可知,最大應力平面剛好在垂直于正弦矢量相加的方向。這與徑向不對中90°位置的情況有些相似。
當τ
rot=10MPa時,可以算出σ
max=σ
1=
(4)徑向不對中360°位置:當圓環上的單元體旋轉到最右端時,也就360°位置時,單元體的應力如下圖所示
由圖示可知,此時單元體的受力其實是屬于純剪切狀態,只是此時的剪切應力為τrad與τrot的方向相同,而在1800時方向相反,所以有
此時主平面上的正應力平面的角度有這種關系:tg2a4=-∞,所以有a4-450或-1350
當τrot=10MPa時,可以算出σmax=30-10=40MPa
從徑向不對中的情況可知,可以知道聯軸器的單元體即有三向工作應力狀態,又存在純剪切的工作狀態,其最大工作應力大小和方向都隨著橡膠圓環的改變而改變。,在旋轉一周的過程中,綜合考慮四個不同的位置時最大主應力的大小,由于(τ
rot+τ
rad)>

> (τ
rot-τ
rad),所以可以知道最大的最大應力為應該是聯軸器360°位置時的最大主應力,最大主應力平面方向與y軸成45
0夾角。即360
0位置為徑向不對中時的危險點。
4.5角向不對中時的聯軸器的工作狀態
角向不對中時,由于兩軸之間存在一定的夾角,使得橡膠圓環最上方受到附加的拉應力,而圓環的最下端則受到附加的壓應力,這個附加的拉應力σ
ang的大小和方向隨著圓環的旋轉角度改變而改變,在最上方時受拉,且絕對值最大,在最下方受壓,絕對值亦最大,所以其變化的過程圖形類似于余弦函數;由橡膠圓環旋轉扭矩產生的剪應力氣.方向始終與其線速度方向相反,而線速度方向在旋轉一周的過程中不斷的變化。角向不對中時的應力情況應該是。σ
ang與τ
rot的疊加。所以其受力情況比較復雜。分別取四個象限點的位置狀態作為研究重點,分別對單元體進行應力分析。
(1)角向不對中90
0位置:當圓環上的單元體旋轉到最上方時,也就是90
0位置時,單元體的應力如下圖所示
此時的受力情況其實屬于二向應力狀態,即為拉扭結合,
此時主平面上的正應力平面的角度有這種關系
應力平面如圖4.24所示。此時的最大應力值為
(2)角向不對中180°位置:當圓環上的單元體旋轉到最左端時,也就是180°位置時,單元體的應力如下圖所示
此時的受力圖中可以看出,附加的拉應力已經減小為零,實際上單元體受力其實屬于純剪切狀態,
此時主平面上的正應力平面的角度有這種關系:tg2a2=-∞,所以有a2=-450或-1350,最大主應力值為σmax=30MPa
(3)角向不對中270°位置:當圓環上的單元體旋轉到最下方時,也就是270°位置時,單元體的應力如下圖所示
此時的受力情況其實屬于二向應力狀態,只是這時的附加應力變成了壓應力。即拉應力變成了負號。利用拉扭結合時的應力分析方程可知
(4)角向不對中3600位置:當圓環上的單元體旋轉到最右端時,也就是3600位置時,單元體的應力如下圖所示
此時的受力圖中可以看出,附加的拉應力已經減小為零,實際上單元體受力其實屬于純剪切狀態,
此時主平面上的正應力平面的角度有這種關系:tg2a4=-∞,所以有a4=-450或-1350,此時的最大應力值為σmax=30MPa
通過角向不對中的分析可以知道,具有角向不對中的聯軸器受力情況仍然屬于兩向應力狀態,即只有拉扭結合與純剪切的情況發,沒有三向應力狀態,比較四個位置的最大主應力
可以知道,在聯軸器旋轉一周的過程中,最大主應力在900位置。即900位置為角向不對中時的危險點。
4.6綜合不對中時的聯軸器的工作狀態
綜合三種不對種情況,對圓環的單元體進行綜合受力分析。由于實際工作中聯軸器兩軸之間不僅存在一定的徑向和軸向位移,而且存在一定的偏角。使得橡膠圓環受到附加的軸向拉應力σax,附加的徑向剪應τrad,附加的角向應力σang,以及由橡膠圓環旋轉扭矩產生的剪應力τrot。所以綜合不對中的應力情況應該是σax、τrad、σang與τrot的疊加。所以其受力情況比較復雜。仍然按照上面類似的方法分別取四個象限點的位置狀態作為研究對象,分別對單元體進行應力分析。
(l)綜合不對中位置:當圓環上的單元體旋轉到最上方時,也就是900位置時,單元體的應力如下圖所示
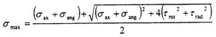
此時的應力情況屬于三向應力狀態,所以其分析過程和徑向不對中900以及2700以情況相似,只是這里還有了附加的軸向拉應力和附加的角向應力,將各個應力值σxx=σax+σang,σyy=0,σzz=0,τxy=τrot,τyz=0,τzx=τrad分別代入式(4-29)(4-30)(4-31)中,可以得到
I1=σax+σang+0+0=σax+σang
I3=0-0-0-0+0=0
再將三個應力不變量代入方程

- I
1
+ I
2σ
v- I
3=0中,得到

-(σ
ax+σ
ang)

-(

)σ
v=0 (4-48)
解出這個方程,可以得到三個主應力的值
(2)綜合不對中1800位置:當圓環上的單元體旋轉到最左端時,也就是1800位置時,單元體的應力如下圖所示
此時的受力仍然屬于兩向應力狀態,因為徑向不對中產生的剪應力方向和扭轉產生的剪應力的方向在同一平面上而且相互平行。根據計算可以知道
此時主平面上的正應力平面的角度有這種關系
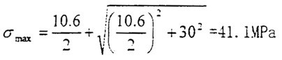
(3)結實合不對中2700位置:沒圓環上的單元體旋轉到最下方時,也就是2700位置時,單元體的應力如下圖所示
此時的應力情況屬于三向應力狀態,所以其分析過程和徑向不對中900以及2700情況相似,只是這里還有了附加的軸向拉應力和附加的角向應力,將各個應力值
將上述主應力的值代入就可以得知
這時取σ
ax=10.6MPa,τ
rad=10MPa,σ
ang=10.6MPa,代入式(4-49)中,可以得出最大主應力為σ
max=

=31.6MPa
(4)綜合不對中360°位置:當圓環上的單元體旋轉到最右端時,也就是360°位置時,單元體的應力如下圖所示
此時的受力仍然屬于兩向應力狀態,
此時主平面上的正應力平面的角度有這種關系
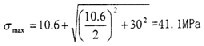
這時取σax=10.6MPa,τrad=10MPa,代入式(4-56)中,可以得出最大主應力值為
σ
max=

=45.65MPa
現在比較一下四個不同位置時的最大主應力的大小
根據上面的分析,可以知道聯軸器在綜合受力的情況下,其總的應力情況與四個量有關,也就是σ
ax、τ
rad、σ
ang與τ
rot的疊加。為了能夠更加形象直觀地描述由于不對中量產生的附加應力與總應力的關系,下面進行曲線的擬合。考慮到σ
ax與σ
ang方向都在同一直線上,而τ
rad與τ
rot的方向也在一條直線上,但是這兩條直線相互垂直。所以以σ為橫坐標軸,τ為縱坐標軸建立坐標系后。各個不對中量都有一個范圍,因而由不對中量引的附加應力也有一個范圍,
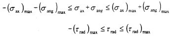
綜合以后可知,附加應力的在一個大的矩形里面變化。見圖4.39。矩形的方程由下面兩式決定:
而在聯軸器旋轉一周的過程中,各個不對中量都是定值,此時應力范圍在見圖4.40的橢圓。該橢圓的方程為
4.7本章小結
本章主要從力學的角度對聯軸器進行各種不對中的分析。從聯軸器各種不對中的分析結果可以得出以下結論。
1.在軸向不對中時,在給定的軸向不中量情況下,有最大主應力為

最大應力方向隨著旋轉角變化。
2.在徑向不對中時,在給定的徑向不中量情況下,最大主應力為發生在聯軸器360°位置,有σmax=+(τrot+τrad)。最大主應力平面方向與y軸成450夾角。即360°位置為徑向不對中時的危險點。
3.在角向不對中時,在給定的角向不中量情況下,最大主應力發生在90
0位置,

。即90
0位置為角向不對中時的危險點。
4.在綜合不對中時,在給定的軸向、徑向和角向不中量的情況下,最大應力為發生在聯軸器90°位置,即有

最大危險點在90
0位置。
隨后根據上述結論進行了不對中量范圍的討論。最后得出了用一個大的矩形來表示由于不對中產生的附加應力的范圍。矩形的形狀由下面的兩個式子來決定:
最后根據實際情況的不對中量,繪出了聯軸器在旋轉一周的過程中最大應力的橢圓。該橢圓的方程為

。