管道穩態裂紋擴展模擬
2.1斷裂動力學理論簡述
斷裂力學學科的先導者是A.A.Griffith,他在1920年首先提出將裂紋臨界擴展的判據與裂紋的長度定量地聯系在一起,建立起脆斷理論的基本框架。斷裂力學的蓬勃發展則以1948年Irwin和Orowan分別獨立建立的工程材料脆性斷裂理論為標志。
作為斷裂力學的一個重要分支,斷裂動力學誕生的標志是1948年英國物理學家N.F.Mott在Griffith理論中考慮動能的影響后所發表的論文。1951年印度女科學家Elizabeth Yoffe最早給出了運動Griffith裂紋的解析解。然而斷裂動力學中最重要基本概念的提出,系統分析方法的形成,以及相對成熟的實驗研究方法的建立,是20世紀80年代以來的研究成果。本文的主旨是用數值模擬和實驗方法解決管道動態斷裂評估問題。
2.1.1靜止裂紋與動態擴展
斷裂力學認為在結構中不可避免有類似裂紋的缺陷存在。在小變形、低能量耗散的情況下,可看作脆性斷裂;對于大變形、高能量耗散的情況則按延性斷裂來處理。受應力集中影響,除去理想脆性材料外,外加載荷在裂紋尖端附近均伴隨非彈性區。若該區域尺寸與其他特征尺寸相比為小量,則可以用線彈性斷裂力學處理。裂紋根據加載方式的不同可分為三種模型:張開模式(I型);滑開模式(Ⅱ型);撕開模式(Ⅲ型)。本文討論的范圍限于I型裂紋。在斷裂力學中,定義引起裂紋產生單位長度的擴展所需要的能量為裂紋驅動力G。在平面問題中,G與應力強度因子Kc的關系可以表達為:
對于平面應力問題,E′=E;對于平面應變問題,E′=E/(1-v2)。其中,E是材料的楊氏模量,v為泊松比。
斷裂動力學(FractUre Dynamics)也叫做動態斷裂力學(Dynamic Fracture
Mechanics),其目的是研究那些慣性效應不能忽略的斷裂力學問題。這些問題主要歸納為兩大類:一是裂紋穩定而外力隨時間迅速變化,如振動、沖擊、波動等:二是外力恒定或緩漫變化而裂紋發生快速傳播。這兩類斷裂動力學的問題分別稱為裂紋動態起始問題和運動裂紋問題。
運動裂紋問題從現象上看可以分為前期加速,擴展軌跡,擴展速度,分叉和止裂幾方面問題。本文研究裂紋從快速擴展開始直至止裂的過程。
2.1.2裂紋擴展的極限速度
輸氣管道上的脆性裂紋擴展速度曾經達到過103m/s而S的量級。通過改善鋼材韌性,降低韌脆轉換溫度等辦法,裂紋擴展的主要形式由脆性斷裂轉化為延性斷裂,裂紋擴展速度也有大幅度的下降。伴隨著超高壓管道上的裂紋擴展,近年來的實測速度又有上升。
對于本文的裂紋動態模擬和止裂評估,裂紋擴展速度是關鍵變化量。那么裂紋擴展存在極限速度嗎?如果存在,如何量化?本小節旨在探討這方面的內容。尤其針對輸氣管道上的應用,文中給出了大致的估算。
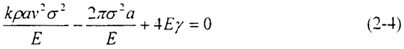
1948年Mott認為快速裂紋擴展過程中的動能作用不可忽略。考慮無窮大彈性板中的裂紋擴展,加入動能項的能量平衡方程為:

式中a為半個裂紋長度,U為彈性應變能,K為動能,Γ為表面能。
在推導動能表達式的過程中,Mott引入以下假定:
●圍繞裂紋尖端區域的應力場、位移場,可由靜態彈性理論確定;
●裂紋擴展速度遠小于柱形桿縱波速度C
o=

;
●裂紋擴展阻力不隨裂紋速度變化而改變。
在上述假定的前提下,得到無限大彈性板中的動能表達式:
式中k是待定的比例系數,p為密度,v為裂紋擴展速率,σ為無窮遠處承受的均勻拉伸應力,E為材料的楊氏模量。
對于無限大板中的裂紋而言,應變能U和表面能廠的表達式同靜態清況相比沒有形式上的改變。將三種能量的表達式代入能量平衡方程(2-2),可得:
將單位面積的表面能廠用表示為臨界裂紋長度ac的形式,經過Berry等人的修正,得到裂紋速度的表達式:
Roberts(1954)用數值方法計算了泊松比v=0.25時的系數

=0.38,從而得到鋼材中的極限裂速v
m≈1929m/s。
在雙懸臂梁DCB(double-Cantilever-Beam)試樣中測到的結果比上述值略低,約為1500m/s。
Freund(1972)通過分析推導,認為裂紋的極限裂速v
m,應該等于Rayleigh波速C
R。按此方法估算,v=0.25時鋼材中的極限裂速v
m=294m/s。
根據Rice(2000)通過奇異裂紋模型做出的最新論斷,在典型的遠場加載條件下,在I型和Ⅱ型時的極限速度為Rayleigh波速,而在Ⅲ型時的極限速度可達橫波波速,對鋼材而言約3100m/s。
Rice總結了I型拉伸裂紋的實驗觀測結果,發現:
●在脆性非晶態材料(如玻璃、PMMA)中,裂紋速度的上限為0.55CR~0.65CR;
●裂紋速度v<0.3CR~0.4CR時,斷裂面呈鏡面光滑狀。在更高(平均)速度時,裂紋表面變得非常粗糙,并且v開始劇烈振蕩;
●存在v接近于CR的例外情況,如高度各向異性的脆性單晶(鎢、云母),及不完全燒結的固體。
這一結果同鋼材斷裂從DBF到DDF的發展過程中,實測速度與斷口形貌的變化趨勢相吻合。簡單的說,就是韌性提高可以導致斷裂的極限速度降低。
壓力管道的裂紋擴展與無限大彈性板不同,Kanninen等(1980)利用類似一維梁的模型提出了輸氣管道中的裂紋擴展極限速度的估算值。模型中采用彈性基礎梁的撓度模擬在對稱載荷作用下圓柱殼的變形,并作了以下基本假設:
●以徑向變形為主;
●壓力沿圓周的變化可以忽略不計;
●裂紋張開位移等于在裂紋區任何截面徑向位移沿圓周的積分;
●塑性屈服鉸在裂尖后部形成;
●裂紋擴展速度超過流體降壓速度,擴展中裂尖后面的壓力為零;
●由于裂紋出現導致殼體剛度突變。
得到管道裂紋的極限速度:
式中C0為柱形桿縱波波速,鋼材約5076m/s,h和R為管道壁厚和平均半徑。按此式估算的西氣東輸管道上裂紋擴展的極限速度約為648m/s。
對于裂紋在脆性管道中的快速擴展,在全尺寸實驗中可觀察到的裂速范圍為600~1000m/s,考慮到不同的設計參數,與上述預測比較接近;全尺寸實驗在近年來應用的高韌性管線中觀測到的裂紋穩態擴展速度一般在150~350m/s,近似可以看作脆性斷裂速度的1/3,即:
在Kanninen之后,Emery(1950)提出,盡管裂紋的起裂和小范圍擴展可由系統的降壓值作為上限而加以估算,但開裂管道中的裂紋擴展卻受到流體外流引起的壓力降低的強烈影響。在幾何尺寸一定的條件下,由管道斷裂引起的壓力釋放波可以由遠端反射回來,從而增加了裂尖處的管道壓力:同時張開裂紋的自由邊,卻承受一個顯著減少的壓力,致使裂紋擴展減速。因此,為了解裂紋的動力學特征,必須考慮管道變形及流體壓力。
在Emery的圓柱殼模型下,極限裂紋擴展速度比(2-6)式略低。
2.1.3動態斷裂力學參數
斷裂動力學理論為結構動態斷裂的分析與控制奠定了理論基礎,并為其在工程應用方面提供了重要的概念、分析方法、結構參數計算和動態斷裂準則。基本概念可以歸納為三個方面:描述動態斷裂的特征參數、材料的動態斷裂韌性和運動裂紋的止裂判據。接下來對上述三方面問題,尤其是對于和管道問題相關的概念,加以闡述和介紹,以備后文直接引用。
本節的討論范圍限于I型裂紋快速擴展問題,主要目的是給出與斷裂力學參數相應的動態應力強度因子、動態能量釋放率和裂紋尖端張開角的表達式。
2.1.3.1動態應力強度因子
I型動態應力強度因子

(t)的定義為:
式中t為時間,a
yy為y向正應力分量。
自Yoffe(1951)開始,包括形Rice(1968)、Freund(1990)在內的很多學者推導并不斷完善了無限大板等簡單模型的以

(t)表示的穩態擴展的裂紋頂端漸進應力場和位移場的解析解,Nishioka等(1996)進而給出了包括瞬態情況下的四階漸進展開式,在此不做贅述。
這樣只要得到

(t)的值,就可以按照上述文獻中的公式得到裂紋尖端場的解析解。目前除對于無限介質中的穩態擴展裂紋,通過適當簡化可以得到應力強度因子的解析表達式以外,有限介質及構件中運動裂紋的動態應力強度因子的計算主要依靠數值方法,包括有限元法和有限差分法。
本文研究的高韌性鋼為彈塑性材料,在裂紋擴展前,往往在裂端區甚至更大范圍內有相當大的塑性變形,且伴隨著裂端后面的卸載。因此,起裂后必須克服塑性變形才能發生裂紋擴展。此時,作為衡量裂端區應力場強度的力學參量J積分和應力強度因子K并不是嚴格有效的。Kanninen提出了更先進的J積分-T積分,適合應用于在彈塑性材料中的動態裂紋擴展分析。
2.1.3.2動態能量釋放率
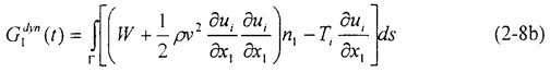
對含運動裂紋的一般彈性體,為確定釋放到裂尖的能量,考慮圍繞裂尖非常小的閉合回路Γ,如圖2-1所示,動態能量釋放率可以由能量流動定義為:
式中vn表示裂紋尖端運動速度在回路Γ上的法向分量,v為裂尖速率,Ti為作用于Γ上的應力分量,W為應變能密度,p為物質密度。
這里Γ的形狀是任意的,但必須附關于裂尖的運動坐標系。這個表達式對線性與非線性的材料均適用。
在裂紋穩態擴展的條件下,

(t)退化為斷裂力學中的動態J積分,是與路徑無關的量:
對于無限介質而言,

(t)和

(t)都可以寫成與裂紋速度有關的函數與靜態因子乘積的形式:

(t)=k(v)K(0)

(t)=g(v)G(0) (2-9)
將用動態應力強度因子表示的無限大平面彈性體應力場和位移場的表達式代入動態能量釋放率的定義式,可得二者之間的對應關系:
式中F(v)可以表示為裂尖速率v與材料平面縱波波速C1及平面橫波波速C2的函數,E是材料的楊氏模量,v為泊松比。
(2-10)式意味著

(t)和

(t)同時達到臨界值。也就是說,動態擴展斷裂判據既可用臨界應力強度因子,也可用臨界能量釋放率來表示。這是對線彈性材料、恒定裂速擴展的裂紋在無限大彈性體中得出的結論,可以定性地推廣到一般問題中使用。
2.1.3.3裂紋尖端張開角
裂紋尖端張開角CTOA(Crack Tip Opening Angle)最早被用來分析核電站管路的穩態裂紋擴展,后來用于輸氣管線和航空工業。如圖2-2,與裂紋張開角COA不同,CTOA對應于一定的斷裂擴展狀態,不隨測量點的位置而改變。CTOA在數學上可以按下式定義:
式中:δt為裂紋尖端張開位移,△a為裂紋擴展長度。
2.1.4材料的動態斷裂韌性
作為材料抵抗動態斷裂能力的度量,引入韌度的概念,稱為動態斷裂韌性。具體材料的韌性值由規定條件下的實驗測定。
表征材料抗力的動態斷裂參數有沖擊斷裂韌性KId,動態能量釋放率臨界值Gd,動態J積分臨界值Jd,裂紋尖端張開角臨界值(CTOA)c,甚至包括直接從實驗機上獲得的夏比沖擊功和落錘吸收能量等等,均可以作為判斷裂紋擴展與止裂的參數。工程上如何選用要視具體問題與實驗條件而定。
動態韌性參數除與靜態斷裂韌性同樣與材料性質,環境溫度,應力狀態等因素有關以外,同時還與裂紋速度有關。這是本文關心的問題。
裂紋發生快速運動時,一個高應力集中區被驅動穿過材料,因此裂紋頂端附近的材料產生很高的應變速率或加載速率。在一般情形下,高加載速率使得材料變脆,因而抗力降低:另一方面,隨著裂紋速度的提高,由于裂紋頂端應力場多軸化程度降低,又增強了塑性效應,從而提高了材料的抗力。另外,快速擴展引起的熱耗散使得裂紋頂端附近溫度上升,也會影響材料的抗斷性能。Eftis,Klaft(1965)和Barton,Mall(1960)等的實驗結果表明,動態斷裂韌性由裂紋起始擴展的材料抗力開始下降,當裂紋速度達到一定值時,動態斷裂韌性又隨裂紋速度的增長而提高,表明了前面分析的正確性。
在裂紋穩態擴展階段,CTOA達到臨界值而保持恒定不變,稱作(CTOA)c。(CTOA)c可在小試樣沖擊實驗中測得,并直接應用到全尺寸管道的斷裂上。在描述斷裂性能方面,(CTOA)c是衡量延性斷裂擴展抗力的指標之一,它被認為可以替代夏比沖擊韌性,以解決在高韌性管線上依賴后者而出現的重大偏差。
Kanninen等(1992)認為,對于動態裂紋擴展問題,Gd和(CTOA)c是最適合的斷裂韌性描述參數,如表2-1。
表2-1斷裂力學基本處理方法
問題類型 |
應用范圍 |
裂紋驅動力 |
斷裂韌性 |
線彈性 |
小范圍塑性屈服 |
K |
KC |
彈塑性 |
大范圍塑性屈服,微小裂紋擴展 |
J |
JR |
動態非彈性 |
大變形,裂紋快速長距離擴展 |
G,CTOA |
Gd,(CTOA)c |
2.1.5運動裂紋的止裂判據
含裂紋結構在動載作用下將發生裂紋的起裂和擴展,導致結構破壞或者發生止裂,產生這些過程的條件稱為判據。除了1.2,1節提到過的減壓波速判據及在它基礎上發展起來的雙曲線方法以外,還有應力強度因子K判據,能量釋放率G判據和裂紋尖端張開角CTOA判據等。表2-1同樣給出了參考性意見。
在止裂條件的建立上,存在兩種不同的觀點,即動態觀點和靜態觀點。下面用K判據為例介紹一下兩種觀點的區別和發展,以及本文的選擇。動態觀點認為,裂紋的快速擴展直至止裂是一個完整的過程,止裂是這種過程的結束,并忽略慣性力的影響。這樣,裂紋持續快速擴展的條件為:

=K
ID(v,T) (2-12)
即把裂紋動態擴展斷裂韌度KID表示成為裂紋速率v和溫度T的函數。注意這一條件并不適用于起裂時刻,因為KID(O,T刀不等于靜態韌性KIC(T)。
按照上面的觀點,從止裂發生的t
0時刻一直到裂紋速度降為零的t
a時刻,

加均應小于擴展斷裂韌度K
ID(v,T)的最小值,止裂判據表示為:
這樣,通過數值方法解出特定問題的K
I(t),和材料實驗定出的K
ID(v,T)相比較,可以得到是否滿足止裂條件的結論。
靜態觀點著眼于止裂瞬間的裂紋尖端條件,而不顧及已經發生的裂紋動態擴展過程和歷史。這樣,基于靜態觀點的止裂判據表示為:

≤K
Ia (2-14)
式中

是對應于止裂長度的靜態應力強度因子,K
Ia是材料的靜態斷裂韌性。兩種學術觀點的爭論長達二十多年,并都得到了特定條件下實驗結果的證實。直至1985年方達成一致,解釋如下:
引起動態效應的主要原因是由于試樣邊界對應力波的反射,當邊界反射的應力波幾乎不返回到裂紋尖端的情況下,采用靜態觀點相對合適;反之應采用動態止裂分析觀點。這一結論得到了實驗的證明。
壓力管道尤其是高壓輸氣管道上的裂紋擴展是強幾何非線性的過程,同時不斷伴隨應力波的傳播與反射,因而本文在分析裂紋擴展與止裂時用了動裂紋約束的概念(動態觀點)。根據這一概念,裂紋止裂就是使裂紋不能連續擴展。現將本文用到的以G和CTOA建立的動態判據分述如下:
對于天然氣管道,能量釋放率判據可以表示為:
G(a,p,D,SDR,E)=G
d(T,v,h) (2-15)
式(2-15)中,當Gmax=Gd時,裂紋擴展;若G<Gdmin,裂紋止裂。G表示裂紋驅動力,Gd表示材料的動態斷裂韌性,a為裂紋長度,p為流體壓力,D為管道直徑,SDR(Standard Dimension Ratio)為管道外直徑與壁厚的比值,E為材料的楊氏模量,T為溫度,v為裂紋擴展速率,h為試樣壁厚。
為了防止裂紋在工程管道上擴展事故的發生,G和Gd的相對值為實際應用準則提供了定量的形式。G來源于對結構模型的分析和計算,而Gd要通過對結構材料的實驗來分析確定。
類似的,在管道延性裂紋擴展過程中,表征裂紋驅動力的(CTOA)max與表征管壁斷裂韌性(CTOA)c構成止裂判據:
(CTOA)max(a,p,D,SDR,E)=(CTOA)c(T,v,h) (2-16)
當(CTOA)max ≥(CTOA)c時,裂紋擴展;若(CTOA)max<(CTOA)c,則裂紋止裂。
2.2斷裂動力學的有限元法
管道裂紋動態擴展問題的關鍵是正確描述管道的實際工作狀態。斷裂動力學問題的復雜性和目前的研究深度決定了分析解法的求解必須對加載形式、材料參數、裂紋幾何和運動狀態作很多限制,因而本文以有限元方法為主,在表征韌性的參數確定和計算結果參照中引入實驗手段,在試件比擬的塑性區范圍確定等處用到了解析方法。
斷裂動力學中的有限元法分為動力學分析和斷裂分析兩方面。在動力學分析中要考慮材料的慣性效應,在動態變化的載荷下求解運動方程;在斷裂分析方面,要考慮裂紋尖端場的性質,以及裂紋擴展引起的邊界變化等。下面分別從這兩方面介紹本文計算中用到的有限元技術及相關處理方法。
2.2.1殼體結構動力學基本方程
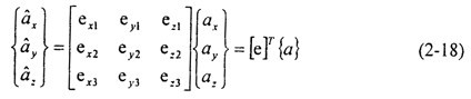
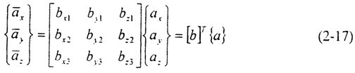
殼體有限元計算的一般思路是在單元內描述問題,再根據節點集合。在描述幾何方程和運動方程之前,首先說明符號的格式。本節將用到矢量符號、矩陣符號和上下標。矢量符號通過黑體表示,如a,它的分量表示為:ai,也可以以矩陣{a}的形式表示。aiI是節點I的a矢量的第i個分量。
在本節中,將會用到圖2-3所示的三種坐標系:
●空間固定的總體坐標系(x,y,z),或x
i,正交基矢量為 。
●節點坐標系行(

)習,反映節點的平動與轉動;正交基矢量為b
i。
●單元隨體坐標系(

);正交基矢量為e
i。
對于總體坐標系中的任意矢量a,其在節點坐標系中的分量可以表達為:
其中,bxl,byi,bzl是節點基矢量bi在總體坐標系中的三個分量。
類似地,對于單元隨體坐標系:
其中[b]T、[e]T分別是總體坐標與節點坐標、總體坐標與單元隨體坐標之間的轉換矩陣。
節點J的初始位置為:

(i=1,2,3代表x,y,z三個方向的分量),當發生了位移u
iJ后,新的位置坐標為x
iJ。
x
iJ=

+u
iJ (2-19)
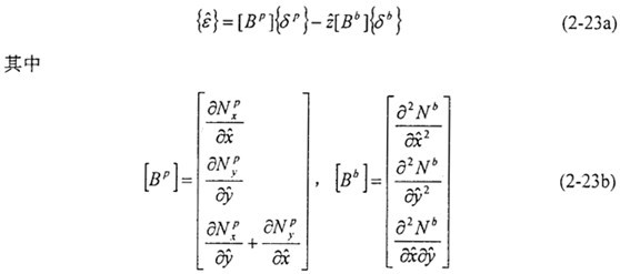
2.2.1.1幾何方程
基于Kirchhoff假設的板殼單元,殼體中某一點的應變

可以由中面應變

和曲率

來表示:
其中[NP]為殼體面內位移形函數,[Nb]為殼體彎曲位移形函數。[δP]、[δb]是相應的節點位移。
將方程(2-22)代入(2-21),得到
2.2.1.2運動方程
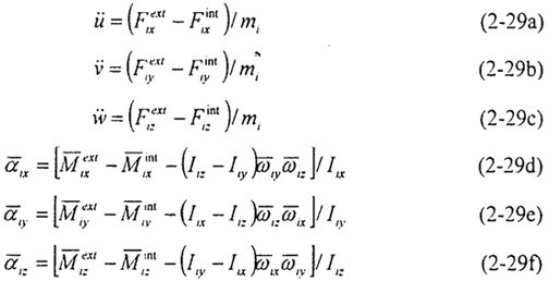
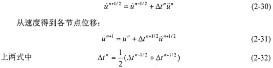
對于慣性力不可忽略的結構進行分析,要求解運動方程,以獲得系統在瞬時狀態下的位移和速度、加速度。一般的方法是按照平動和轉動的自由度,分別給出運動方程。在有限元中,對于離散化的節點,要相應地給出它的三個平動方程和三個轉動方程。
三個平動方程為:
其中i代表節點號,m
i為節點質量,

為平動加速度,

為外力,

為變形引起的內力(其中j=1,2,3,分別表示三個坐標軸方向x,y,z)。
三個轉動方程為:
其中I
ij為轉動慣量,

分別為角速度和角加速度,

為外力矩,

為變形引起的內力矩。
公式(2-24),(2-25)中的內力分量

和

可以如下求得:
首先根據虛功原理,在一個單元E內,對節點i有:
其中對I 不求和;;j代表各方向,對j求和。

為單元E的應變率,V是單元體積。由上述方程可以得到節點內力和節點內彎矩:
利用疊加原理,將每一個單元內的節點上的內力和內彎矩分別求和,可得到節點上的相應分量:
其中,

是如下定義的相關系靈敏:

=1 當單元E中的節點A與節點i相關;

=0 當單元E中的節點A與節點i無關。
將方程(2-28)代入方程(2-24)和(2-25),可得到各節點的加速度與角加速度:
對于每一時間步長,由運動方程首先解出各節點的平動加速度,然后根據顯式中心差分公式解出各節點速度:
利用位移可以根據幾何方程和本構方程求得應變和應力。
2.2.1.3本構方程
本文研究鋼制管道的裂紋擴展。忽略軋制過程的影響,鋼材可看作各向同性材料,則本構關系可以寫成分段線性彈性的形式。進一步考慮到本文采用節點力釋放法進行裂紋擴展計算,裂尖附近的應力集中影響不大,故可采用線彈性本構關系計算。
對于板殼單元,在單元隨體坐標下應變和應力均只有三個分量:
2.2.1.4局部坐標下的邊界條件
一般地,可以在邊界處約束任意平動與轉動分量,即令其為零。如要定義的運動分量不在總體坐標系下,則需在該節點定義局部坐標(X,Y,Z)。計處牙可以通過定義X和Y坐標的方向余弦cxX,cyX,czX,cxY,cyY,czY來實現。Z坐標的方向余弦可通過其正交性由下式求得:
將上面的轉換矩陣定義為[c],則邊界條件中的平動速度可按(2-36)式轉化為局部坐標中的分量,轉動角速度按下式定義:
然后將被約束的分量置零,求解。求解后的平動速度和轉動速度可分別通過(2-36)和(2-37)的逆變換轉化成總體坐標中的分量。因為新的角位移量從方程(2-31)和關于b1的方程直接解得,邊界條件通常反映在更新的位移和節點向量b1中。
2.2.2斷裂動力學基本方程
2.2.2.1生成模式與擴展模式
在管道裂紋擴展問題中,因動態斷裂發生的時間很短,以及裂紋擴展速度的非預先確定性,使得測量高階的物理量如能量分布、瞬時動態能量釋放率和動態裂紋尖端應力場變得十分困難。為此針對管道快速斷裂問題發展了兩種分析計算模式:生成模式(Generation mode)和擴展模式(Propagation mode)。
生成模式就是給定管道的幾何尺寸和工作條件,同時必須給出已知的以裂紋擴展長度或者裂紋速度表示的裂紋擴展歷史作為補充條件使得問題可解,從而計算裂紋驅動力G(或CTOA和評估斷裂韌度Gd(或(CTOA)c)。
本章計算中的裂紋擴展速度取為定值,該值未必是裂紋穩態擴展的真實速度。然而通過指定不同的速度值,可以尋找對應于某一特定穩態裂紋擴展速度的G或CTOA,如果該值小于材料韌性,可以判斷發生止裂;否則可能發生擴展。從而得到一些有價值的結論,例如在什么速度下管道失穩斷裂等等。這種分析方法是運用了生成模式。
擴展模式是通過實驗測量裂紋速度和壓力分布,分析Gd(或(CTOA)),找到它與裂紋速度之間的關系,分析確定產生裂紋擴展需要的驅動力,從而得到一定條件下是否止裂的結論。包括第一章提到的雙曲線法和后面提到的韌性減速機理等以實驗和結合實驗的計算為主的分析方法,就是采用了擴展模式。
2.2.2.2節點力釋放技術
節點力釋放(Node Foroe Release),顧名思義就是當裂紋頂端通過有限元網格中的某節點時,便解除該節點在網格中本來起到的連接作用,即將其分為兩個節點,并釋放連接力,如圖2-4。

在典型的生成模式計算中,可根據指定的a(t)或v(t)判斷裂紋經過的時間和路線,依次釋放節點力;另一種運用擴展模式的方法是通過判斷裂紋頂端被約束的節點力達到F
c時,這個節點便被松弛。這里的F
c是指定的,它與網格尺寸以及動態斷裂韌性K
ID有關。Keergstra(1976)證明,對于給定的網格,裂紋頂端的節點力正比于應力強度因子K
ID。
早期將有限元法應用于動態裂紋擴展時,裂尖運動由不連續的突進進行模擬:在時間增量△t內,裂尖沿裂紋方向從單元的一個節點改變到下一個節點。為了得到比較精確的解答,必須采用較小的時間步長△t,通常為膨脹波在兩個最近單元節點間傳播所需要的時間。由于裂紋傳播速度通常明顯低于波速,在時間△t內裂尖實際上通常只能運動到兩個相鄰節點之間的某一位置。在裂尖從一個節點移動到下一個節點的過程中,裂紋長度的突然增加和位移約束的突然解除,將引起有限元求解中比較嚴重的高頻振蕩現象。為了克服這一困難,產生了“回復力”法,Lagrange乘子法,節點力釋放率法等緩步釋放節點的方法,下面介紹本文采用的節點力釋放率法。
在生成模式中,輸入信息包括作為時間函數的裂紋尖端位置,每一時間步長中裂紋前進的距離是已知的。裂紋沿著單元擴展的過程中單元節點力逐步釋放,此時,能量釋放率G,即在裂端區每單位面積上裂紋擴展所引起的能量變化,可以近似地以節點力作功的形式表示:
式中,h是管理壁厚度,

是沿裂紋擴展方向的一個單元長度,△t是裂紋擴展一個單元所用的時間,v
n是垂直裂紋擴展方向的節點位移速度,系數2表示管道對稱計算的兩個部分。
在公式(2-38)中,F是被釋放的約束力,它的大小隨著裂紋在單元邊界上的位置呈線性變化,表示為:
式中的Fo是被釋放的節點約束力,a(t)是裂紋在單元上的擴展長度。指數c曾取過1/2、1、3/2、2等不同取值。本文在與實驗對比的基礎上取1。
2.2.2.3裂紋驅動力G的能量表達
能量平衡方法計算裂紋驅動力基于Griffiths斷裂理論。在本章的計算程序中,外力作功和內部能量的平衡常被用來校核計算結果的數值穩定性,也可將算得的能量值帶入Irwin-Orowan能量平衡公式計算裂紋驅動力。該方法與節點釋放法更為簡便。
Griffiths奠定了斷裂問題的能量平衡理論。在裂紋擴展過程中,物體內部能量釋放所產生的裂紋驅動力導致了裂紋增長,同時存在阻止形成新裂紋面積的阻力,當裂紋增長da長度時,二者形成平衡。這樣裂紋驅動力G可以表示為:
式中h表示裂尖處材料厚度,W表示外力作用于裂紋體的功,U表示應變能。在動裂紋擴展問題中需要考慮動能K的作用,上式擴展為:
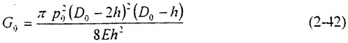
早期對流體壓力管道裂紋擴展問題的分析中曾應用應變能變分原理,將裂紋動力等效為裂紋前面環向應變能的釋放率,Iewin-Conten發展了裂紋驅動力的解析計算:
式中p0為初始內壓,D0和h為管壁外徑和壁厚,E為材料的楊氏模量。
2.2.3數值穩定性分析
在顯式時間積分中,除非時間步長選得足夠小,否則會出現數值不穩定性,從而使計算結果失去意義。盡管對于完全非線性問題,不能進行穩定性分析,但是經驗表明線性分析也會給出有用的時間步長估計。一般說來,將線性穩定的時間步長減少10%到20%,可以克服非線性帶來的不穩定性。
對于中心差分,線性分析表明時間步長
其中,

是系統的最高頻率, 是最高頻率下的臨界阻尼系數。
ω是下面問題的特征值:
[K]{X}=ω
2[M]{X} (2-44)
其中[K]是系統的剛度矩陣,[M]是質量矩陣。
在實際計算中,我們并不是直接計算系統的ω
max,而是計算單元的

。在所有的單元的

中選擇最大值作為ω
max。
對于板單元,有
其中,Cl是平面縱波波速,對四邊形板單元來說,L是短邊的長度。
2.2.4氣體壓力模式
1.3.3節提到了解禍算法中氣體壓力模式的廣泛應用。對于含裂紋擴展的管道,其內部管壁受到的氣體壓力由兩種模式組成:裂紋前面氣體減壓傳播和裂紋后部的氣體壓力衰減。
Battelle的Maxey等人在實驗中采用壓縮空氣、氮氣以及甲烷含量高的天然氣觀察氣體的減壓行為,發現理想氣體規律足以滿足這些氣體的狀態等式。假設氣體的膨脹過程是等熵過程,充滿氣體的管道突然發生開裂,整個狀態中氣體成分混和均勻,則裂尖附近氣體局部壓力與裂紋擴展速度有如下關系:
式中p
d為減壓后的壓力水平(MPa);p
i為開裂前管內壓力(MPa);v為裂紋擴展速度(m/s);v
a為初始壓力和溫度狀態下的聲速(m/s);

為起始狀態下氣體的絕熱系數,C
P和C
v分別為定壓比熱和定容比熱。
從(2-46)式可以看出,當裂紋在管道上擴展時,裂紋前面的氣體減壓傳播,其數值低于氣體初始壓力值p
0,氣壓減少值主要取決于裂紋的擴展速度,對于穩態擴展的長裂紋,管道內部氣體減壓趨于穩定的數值。
當裂紋沿管壁快速擴展時,裂紋后面的氣體逸出,氣壓降低,但是與液體壓力不同的是,該區域內的氣體壓力并不是立即降為零值,而是穩定地衰減至大氣壓力,并有一段明顯的衰減區。在這一衰減區內,氣體壓力仍然作用在已經開裂的管壁上,加速管壁的變形。
根據實驗給出的實際管道開裂實驗的結果,發展了裂紋后面氣體壓力衰減模式,將氣壓的衰減表示成裂紋位置和初始壓力的函數。常見的衰減模式有指數衰減的Fourier級數和拋物線衰減函數等。
更為簡便的是圖2-5所示的氣體壓力衰減模式是線性衰減函數,圖中以裂紋擴展方向z為橫軸,壓力分布p為縱軸,其計算表達式為
P(z)=P
1(1-

),z<L (2-47)
式中z是計算截面的位置,L是衰減長度。在計算中,L取1.5倍或2倍的管道外徑。
2.3管道穩態裂紋擴展問題的數值模擬
本節著重介紹穩態擴展條件下的開裂管道計算結果,力求從多個角度模擬管道變形的真實狀態,為建立止裂判據與后文的減速機理打下基礎。
2.3.1計算模型與邊界條件
管道上的裂紋一般從起裂點同時向兩側擴展。因管道幾何形狀和載荷分布具有對稱性,本文取一側管道的一半來分析和計算,即四分之一模型,如圖2-6所示。采用四節點板殼單元,沿管道軸向和環向分別劃分網格,在管道內壁給出氣體壓力分布。

在對西氣東輸管道進行計算時,采用的管道模型長度L=37.5m,直徑D=1.016m,厚度h=0.0147m,沿軸向劃分為250個單元,環向劃分為16個單元,共4000個單元,4267個節點,每個四邊形單元軸向長度0.15m,環向長度0.lm。下文如無特殊說明,則網格均按此劃分。
在圖2-7中,C點表示裂尖位置:裂紋沿LINE4擴展,在A、B點和邊界LINEl、LINE2、LINE3和LINE4上施加不同的邊界條件。I、Ⅱ和Ⅲ區代表卸載區、減壓區和裂前區:其中,點A、B和邊界LINEl、LINE2、LINE3是約束
邊界條件,C點和邊界LINE4為運動邊界條件。I、Ⅱ及Ⅲ區隨時間而變化。
根據對稱性指定邊界條件如下:
B、F點是固定點;
C點隨時間而變化,AC是自由邊;
邊界LINE1(包括A點)與LINE3上約束了z向的位移和繞x、y軸的轉動;
邊界LINE2上約束x、y向的位移和繞x、z軸的轉動;
邊界LINE4上約束x向的位移和繞y、z軸的轉動。
2.3.2表征裂紋驅動力的G與CTOA的計算
本節采用節點力釋放法計算裂紋驅動力G。根據(2-38)式,以鋼制管道為例,指定設計參數:直徑為0.72m,壁厚0.015m,管長取37.5m,壓力為0.30MPa,裂紋穩定擴展速度為550m/s。圖2-8給出了程序計算的結果,反映了裂紋驅動力與裂紋擴展距離的變化關系。在這一計算中,裂紋后面壓力衰減長度,即(2-47)式中的L,取為2倍的直徑長度。
如圖2-8,隨著裂紋起裂后的迅速擴展,裂紋驅動力上升直至達到并保持在穩定的數值,這一平臺值1.6KN/m就是裂紋穩態(steady state)擴展的驅動力G。裂紋尖端的移動過程中,G在該值附近有一些小的波動,這是由于裂紋長度的突然增加和位移約束的突然解除,引起的有限元解的高頻振蕩。振蕩的幅度與有限元單元網格的疏密和單元內節點力釋放的指定規律有關。
圖2-9表示了CTKOA的計算方法。由于在裂紋后方有很大的非線性變形,計算中張開位移用割線近似,采用8個單元的長度來計算CTOA。這一長度經過與細化后的網格結果比較,誤差在10%之內。
2.4管道穩態裂紋擴展算例分析
如2.1.2節所述,可在Kanninen(1980)按一維梁模型推導的輸氣管線裂紋擴展極限速度(2-6a)式的基礎上,對高延性管道進行修正。按照西氣東輸管道選用的設計參數,可得到大致的延生斷裂穩態裂紋擴展速度,估算裂紋穩態擴展達到該速度時的裂紋驅動力G和CTOA。另我,通過選用不同的設計參數,可給出穩態裂紋驅動力隨內壓、壁厚、管徑以及徑厚比等參數變化的規律。
2.4.1西氣東輸設計參數下的典型算例
在這一小節,我們研究的管道參數限于:管道長度L=25m,直徑D=l.016m,內壓10.OMPa,厚度h=0.0147m。網格劃分比2.3.1節中的網格兩個方向各密一倍,即:沿軸向劃分為500個單元,環向劃分為32個單元,共16000個單元,16533個節點,每個四邊形單元軸向長度0.05m,環向長度0.05m。裂紋穩態擴展速度按(2-6b)式,取為216m/s。軸向壓力衰減長度取1.5倍直徑,即約1.5m。
首先觀察裂尖附近的MISES應力分布,如圖2-10。按以針狀鐵素體和塊狀鐵素體組織為主的X70鋼級管線鋼的平均屈服強度500~600MPa估算,計算給出的裂尖前部塑性區長度大約在3個單元長度以內,即0.15m左右。
圖2-11直觀地給出了內壓10MPa,裂紋速度216m/s時一維管道氣體壓力模型(L=1.5D)下的管壁壓力沿軸向的分布。每條曲線的衰減起始點即為該時刻的裂尖位置。圖中裂尖壓力約為6.6MPa。
圖2-12展示了管道裂紋穩態擴展中的開裂段位移的分布。圖中最大位移點位于裂尖后部第28個單元,即1.4m左右,位移量為0.23m。裂紋后方遠端的管道因回彈現象而位移量降低,這與全尺寸實驗中觀測到的現象是吻合的。
圖2-13分別按照三個方向上的位移分布在開裂前管道表面畫出云紋圖。從圖中可以看到,此種設計參數下的位移量主要發生在裂尖附近5m左右的區域,對遠端的影響較小。
在裂紋擴展與止裂分析中,代表裂紋驅動力的G和CTOA是最受關注的量。下面分別對本小節穩態擴展情況下的典型算例進行分析。
圖2-14反映了節點力釋放法計算的動態能量釋放率與裂尖位置的關系,其結果因前面提到過的有限元算法的原因而略有抖動,G的穩態值約35KN/m,遠高于X70鋼材的斷裂韌性Gd<10KN/m。
CTOA的計算值大約在14°左右,略高于第四章中測到的(CTOA)c≈12°。
2.4.2不同設計參數對裂紋驅動力的影響
在這一小節,我們分別根據與西氣東輸有關的不同的管道設計參數,在裂紋穩態擴展的前提下,對G和CTOA的變化作規律性的評測。
目前我國輸氣管道的最高輸氣壓力為6.4MPa;俄羅斯運營的輸氣干線最高為7.5MPa;西氣東輸工程先期設計壓力8.4MPa;干線設計壓力10MPa;國際上的輸送壓力在二十世紀末期達到了14MPa。圖2-16和2-17給出了上述幾種壓力下計算的動態能量釋放率G和裂紋尖端張開角CTOA的值,管道口徑和壁厚均分別為1.016m和14.7mm。從圖上看,G和CTOA與PO呈線性關系。
西氣東輸工程中,靖邊——上海復線管壁厚11.7mm;根據地理結構與危險程度劃分的一、二、三、四類地區分別采用的干線臂厚為14.7、17.5、21.0、26.2mm。我國現有輸氣管道最大直徑 660mm(陜京線);西氣東輸管線天津——南京支線口徑813mm;主要干線口徑1016mm;先期設計口徑1118mm;預計未來十年間進口管線直徑將達1422mm。
根據式(2-15)和(2-16),引入管道無量綱參數SDR,即直徑與厚度之比,固定其余參數,分別按上述不同工程參數變化壁厚和直徑,總結出G和CTOA隨SDR變化的規律。從圖2-18和圖2-19看,除個別點外,G和CTOA與SDR滿足線性關系。但有一點值得注意,這里未考慮SDE對穩態擴展速度的影響。
2.5本章小結
在本章中,我們將斷裂動力學中的基本原理(如裂紋極限速度、動態能量釋放率、止裂動態觀點與靜態觀點等),基本方法(節點力釋放法)和基本止裂判據與殼體動力學有限元方法結合起來,利用氣體壓力模式確定管壁處的氣體壓力,形成了求解輸氣管道上穩態裂紋擴展的數值分析方法。
程序計算各種設計參數下裂紋驅動力的結果同管材實驗得到的韌性值處于同一量級,基本反映了目前求解的工程問題所處的狀態。通過計算得到的管道穩態擴展過程中的各向應力與位移的具體數值,對分析管道變形量和強度要求有重要的參考意義。
在裂紋穩態擴展的條件下,動態能量釋放率G或裂紋尖端張開角CT(劉同管道內壓p0或徑厚比SDR之間均呈線性關系。由此關系可便捷地推算任意設計參數下的裂紋驅動力。通過和第四章介紹的小試件實驗的動態斷裂韌性結果相對照,可以得到裂紋止裂或擴展的結論。
本章的結果還存在一些不足。
一是與計算結果密切相關的穩態裂紋擴展速度難以確定。本文擬定的(2-6b)式僅僅是一個粗略的估算公式,無法保證計算的精度。而測定裂紋擴展速度的全尺寸爆破實驗因為其昂貴(一次實驗耗費上千萬人民幣)和測量手段的高要求,目前國內尚未進行;
二是對于止裂過程的描述。高韌性輸氣管道上已有的全尺寸爆破實驗結果表明,動態裂紋的止裂大都不是瞬間完成的,而是有一段明顯的減速過程。本章僅能提供穩態裂紋擴展的驅動力,通過和小試件實驗測得的動態斷裂韌性相比較得到止裂或擴展的結論,卻無法提供止裂過程、止裂點以及止裂長度等止裂分析中的關鍵量;
三是氣體壓力模式的取值范圍與可靠性難以保證。盡管該模式早在三十年前就得到了實驗的驗證,但僅常見的衰減模式就有指數衰減的Fourie:級數和拋物線衰減函數等一系列表達,本文應用的線性衰減模式中的衰減長度也有不同的取值方法。尤其是高壓輸送導致欠膨脹超聲速射流出現以后,氣體壓力模式的適用性也在受到挑戰。
本文將在下面的三至五章中對上述問題作進一步的研究與分析。