確定管材韌性的小試件實驗
4.1引言
提高鋼材的使用性能已形成愈來愈強勁的全球化趨勢。在本世紀,鋼鐵材料仍然是占主導地位的結構材料。各行各業的效益、效率和效能迫使結構材料最大限度地提高其使用性能水平。以石油天然氣輸送管道的應用為例,屈服強度由448MPa(X65)提高到690MPa(Xl00),經濟效益提高了20%。
21世紀中期,我國鋼材需求量可能超過2億噸/年,即需要在目前基礎上再增加1億噸/年的生產能力,需再投入10000億元。國家的財力、能源、資源、環境、運輸等均無法承受。提高鋼的使用性能,使一噸能夠頂幾噸使用,是我國鋼鐵工業的主要出路。
提高鋼的使用性能必須提高其使用強度與斷裂韌性的水平。為滿足社會發展的要求,西方發達國家和我國都制訂了面向21世紀的“超級鋼”研究計劃。
日本1997年提出STX21超級鋼研究計劃,為期10年,總費用高達1000億日元。其目標為普通鋼屈服強度達到80OMPa,高強度鋼抗拉強度達到驚人的300OMPa;
我國973項目“新一代鋼鐵材料的重大基礎研究”,為期5年,前兩年投入1500萬元人民幣,目標為碳素結構鋼屈服強度達到400MPa,低合金鋼屈服強度達到800MPa,合金結構鋼抗拉強度達到1500MPa。
國內外“超級鋼”計劃包括了石油用鋼的管線鋼、油井管鋼和石油、石化裝備用鋼等。以管線鋼為例:
日本STX21超級鋼計劃將高性能管線鋼作為其中的重要內容。發達國家已批量生產供應的高鋼級管線鋼管為X80,酸性環境用管為X65,已研制成功開始試用的高強度和耐酸性環境腐蝕的管線管分別為Xl00和X70,目前正在研制高強度X12O和酸性環境用的X80管線鋼管。
我國973中也包含了“高性能管線鋼的重大基礎研究”,其目標是將現有管線鋼的使用壽命延長一倍,其中包括高強度X80和酸性環境用X65管線鋼的重大基礎研究。
鋼材的強度與韌性性能決定于材料的成分/結構以及合成/加工。
在鋼材的成分/結構,即材料設計方面,超低碳貝氏體鋼和超低碳馬氏體鋼被譽為21世紀的管線鋼,其鋼級為X80~X100(貝氏體)、Xl00~Xl20(馬氏體)。
在鋼材的合成/加工,即冶煉和加工成型工藝方面,主要的工作是保障預期的組織狀態,并使鋼有超高純凈度、高的均勻性和晶粒的超細化。
現代冶金技術和加工成型工藝的進展主要包括:超純凈鋼冶煉技術,保證鋼材中的各元素比比例N≤20ppm,O≤10ppm,H≤1.0ppm;高均勻性的連鑄技術,包括連續過程的電磁攪拌、連續板坯緩慢壓縮(soft reduction)技術等;控制軋制、控制冷卻、強制加速冷卻,超細晶粒(可達1μm左右),沉淀硬化,以保障得到預期的組織結構;TiO處理等。
一般來說,對天然氣管線有兩種韌性要求。首先是要求全壁厚落錘撕裂實驗,要求在最低設計溫度下的最小剪切面積為85%,以保證不發生脆性斷裂;其次是夏比沖擊韌性的要求,以保證管線鋼有足夠的韌性,能夠延性止裂。規定的夏比韌性值與下述相關:所有試件的平均值等于最小延性止裂的計算值。
本章采用我們同中國石油天然氣集團公司西安石油管材研究所(CNPC)合作項目測定的高韌性管線鋼CVN、DWTT沖擊能量數據進行歸納比較,旨在確定現有X7O鋼級鋼材的物理性能及其中的規律,并為數值模擬動態斷裂擴展中參數的確定提供依據。
4.2 V型缺口夏比沖擊實驗(Charpy V-Notch Impact Test)
CVN(Chary V-Notch)實驗又稱三點彎曲夏比沖擊實驗,是一種傳統的評價材料斷裂韌性的實驗方法。它通過擺錘式沖擊實驗機對含V型缺口的小型試件的沖擊破壞實驗測量在此過程中的耗散功,即夏比沖擊功,來評價材料的斷裂韌度。
該實驗簡便易行,且有大量的數據積累,因此在防止結構脆性破壞或延性裂紋擴展的評價上得到廣泛的應用。
實驗裝置和參數示意圖如圖4-1所示。
GB2106-80和ASMME23-96規定試樣標準尺寸為10×10×55mm,缺口深度為2mm。對于2/3尺寸試樣,厚度減為6.67mm,截面尺寸不變,如圖4-2。
HLP組織提到沖擊功大致與試樣厚度的1.5次方成正比,由此得到全尺寸沖擊功和2/3尺寸沖擊功的近似關系:
C2/3=0.544CKV (4-1)
式中CKV和C2/3分別表示全尺寸試樣和2/3試樣的夏比沖擊功。
在20世紀60年代,管線鋼管開始使用控軋或熱機械加工工藝鋼生產。這種工藝導致壁厚中的帶狀組織,其內含有馬氏體和貝氏體晶粒薄層。這一結果實際上產生了低合金鋼復合結構。馬氏體鋼和貝氏體鋼在對材料韌性方面有一定的好處,但這些薄的馬氏體和貝氏體晶粒薄層比厚的鐵素體/珠光體層還要脆,并導致產生平行于鋼管表面的開裂,這種剝離被認為在軸向擴展的裂紋尖端產生。在裂尖附近的鋼將明顯的存在一系列的孤立的分層。這些分層多被歸類為分離,并應與條帶夾雜物,如MnS夾雜區分開來。壁厚的減薄將減低韌脆轉化溫度,所以只需添加少量的合金,材料便可具有更高的抵抗脆斷的能力。斷口分離現象可以從試樣的斷裂表面觀察到,如圖4-3所示。

對于斷口上有分離的材料,隨溫度的升高,分離將最終消失,這是因為馬氏體和貝氏體帶也達到了上平臺溫度。圖4-4表示典型控軋鋼的夏比能量隨溫度的變化。夏比沖擊試樣上100%剪切面積對應的最小夏比能稱為CV100。當所有的分離都消失時,上平臺能CVP出現,其大小可能高于CV100。

圖4-5給出了某種控軋鋼的CVN沖擊能量隨溫度的變化。由于在脆性斷裂行為中沖擊韌性值遠小于韌性斷裂,因而當環境溫度接近或低于材料的韌脆轉化溫度時,測得的CVN值會明顯降低。圖4-6中的系列試樣經歷了韌脆斷裂過程的轉變。一般定義SA為韌性撕裂所占斷口面積比,85%SATT表示韌性占85%撕裂面積對應的轉化溫度。
斷口分離的發生情況與溫度有關。隨著試樣溫度的升高,當鋼材成分中的馬氏體/貝氏體層達到其上臺能時,斷口分離會逐漸減少直至消失。分離對上平臺韌性的影響是:鋼中分層越薄,韌性斷裂的抗力越低。因此,材料中分離多時,其韌性比大高溫下無分離的相同材料的韌性低。
圖4-7選擇的管線鋼在實驗溫度范圍內同時經歷了韌脆轉化和斷口分離,對上述結論給予了證實,并可以看到發斷口分離的試件的韌性稍低于未發生斷口分離的試件。

夏比沖擊實驗的缺點是擺錘的沖擊速度遠遠低于實際裂紋的擴展速度,同時試件厚度偏薄,使得測到的CVN能量不能嚴格反映裂紋擴展過程中受到的材料韌性的影響。近年來人們開始注意選擇不同的韌性測定實驗以提高止裂評價的準確性。在這種背景下,DWTT實驗得到了廣泛的重視與應用。
4.3落錘撕裂實驗(Drop Weight Tear Test)
落錘撕裂實驗DWTT早期主要用于根據斷口形貌確定鐵素體鋼的韌脆轉變溫度,近年來也用于評價材料的斷裂韌性。同CVN實驗相比,它的試樣尺寸較大,錘刃更為厚重,因而要求試驗機具備更高的沖擊能量。
圖4-8和圖4-9分別表示DWTT的試樣標準和斷口形貌。
GB 8363-87和ASMM E436規定試樣外形尺寸為300×75mm,缺口深度為5mm,厚度即為原板厚度。
實驗證實,對有上臺能的控軋鋼進行的實驗中,標準DWTT實驗比夏比沖擊實驗在評價延性裂紋擴展行為上有更好的對應關系。但對于高韌性的淬火回火鋼,標準DWTT試樣由于在起裂過程中吸收了大量的功,致使裂紋擴展的應變速度過低而與真實擴展狀況不符。采用靜態預制裂紋DWTT試樣或雙試樣DWTT法是解決這一問題的兩種方案,如圖4-10所示。
在預制裂紋DWTT實驗中,起裂功由于預開裂紋的原因基本上被消除了;在雙試樣DWTT實驗中,采用了V形槽和DWTT試樣,這種試樣對V形缺口根據實際應用的要求進行了修正,在后端加開了凹槽,兩次實驗的開槽深度不同,以其DWTT功的差作為最終評價的依據,有效地抵消了起裂功。這樣實驗得到的DWTT功只有裂紋擴展功,能夠很好地估計延性裂紋的擴展。
DWTT實驗過程中也會發生斷口分離,如圖4-11所示。DWTT分離形貌與全尺寸行為在相同溫度下很相似,CVN則明顯不同。

DWTT試樣的斷口分離平行于鋼板表面,垂直于斷一口平面。鋼材從高溫軋制冷卻到接近于低溫相變溫度時,厚度方向上發生組織轉變,形成貝氏體或馬氏體板條束,引起平行于板材平面的方向發生開裂。板材越厚,裂紋尖端塑性區的應力越大,越容易發生斷口分離。
隨著裂紋擴展成為一系列小的薄片,斷口分離使得軸向傳播的裂紋尖端充分顯露出來,從而減小了管子的有效壁厚,降低韌脆轉化溫度,使材料整體上更適于低溫使用。當斷口表面發生大量分離時,相應的延性斷裂功會有所降低。為了準確地測定材料的斷裂韌性,應盡可能避免斷口分離現象的發生。與CVN實驗類似,DWTT沖擊韌性也隨溫度的升高而增加。圖4-12給出了與圖4-6相對應的具有上臺能的控軋鋼材標準DWTT吸收功與溫度的變化關系。DWTT試樣和夏比試樣的厚度差異導致了兩圖85%SATT不同。
圖4-13比較了在延性和脆性斷裂中有無斷口分離試樣的DWTT韌性值。結論與CVN實驗類似,發生斷口分離的試樣,測得韌性值略低。
4.4 CVN實驗與DWTT實驗的比較研究
CVN實驗是被廣泛采用的測定鋼材斷裂韌性的方式。近二十年來的研究工作表明,隨著管線輸送技術的發展,就高韌性鋼而言,基于DWTT實驗的結果比CVN實驗更準確。對于這種現象成因的解釋一般基于以下幾種觀點:
●錘擊速度。CVN和DWTT實驗的錘擊速度均小于全尺寸實驗裂紋的擴展速度,相比之下DWTT實驗的錘擊速度更高,更接近真實狀態。隨著輸送壓力的提高,斷裂擴展速度大幅提升,CVN實驗的擺錘撞擊速度比真實斷裂速度低引起的能量耗散上的非線性差異更加突出:
●尺寸效應。CVN實驗標準試樣厚度小于管道壁厚,使止裂韌性預測發生偏差;而DWTT實驗測定止裂韌性一般采用全厚度試樣,這與它用于評價韌脆轉變溫度時一致,裂紋的斷裂路徑比夏比試樣更長,因此完全剪切撕裂破壞可以像全尺寸斷裂行為那樣得到充分的發展。對于高韌性材料,CVN實驗中為采用試樣標準厚度而對原管壁進行加工對實驗結果的影響更為顯著;
●缺口形狀。DWTT試樣的尺寸比CVN試樣寬闊,利于調整缺口形狀和性質使實驗結果趨于精確。除采用預開裂試件或雙V形槽試件的方法消除起裂功以外,缺口的角度和脆性都對實驗結果有一定的影響;
●試驗機容量。CVN和DWTT試驗機的過剩能容量可以有很大的不同,通常DWTT設備的過剩能容量是相同的CVN設備的兩個數量級以上。一般認為儀器容量相當于最高韌性樣品能量的五倍即是具有足夠的過剩能量。在此范圍之內,過剩能量的多少是影響CVN和DWTT實驗斷口形貌和韌性數值的最主要因素。
在已進行的大多數全尺寸實驗中,對鋼材斷裂性能的描述漢限于CVN沖擊能量方面。如果能夠保存實際止裂點處鋼材的性能,便可制作試樣取得止裂所需的DWTT能量數據。實際上無法做到這一點,這意味著只有找到DW竹韌性和CVN韌性之間的關系,已有的裂紋擴展全尺寸實驗數據庫才能用于DWTT吸收功做止裂預測。因而從實用的角度來看,應該建立同種材料的夏比吸收功和DWTT功之間的大致對應關系。
Wilkowski對老式控軋鋼,包括有無上臺能的情況做了檢驗,得到標準DWTT韌性和夏比韌性的對應關系:
ds=3cKV+0.63 (4-2)
日本HLP委員會在大量實驗基礎上針對淬火回火高韌性鋼進行了調整:
Ds=5.9h1.5CKV0.544 (4-3)
上兩式中Ds表示標準DWTT吸收功相應的,ds表示標準DWTT韌性值,即單位面積的DWTT吸收功。CKV和cKV分別表示全尺寸試樣的夏比沖擊功和沖擊韌性值,即單位面積的夏比沖擊功。h為壁厚,mm。
本文根據我們最近的實驗數據修正了(4-3)式的系數:
Ds=3.5h1.5CKV0。6 (4-4)
圖4-14將(4.2)~(4.4)式預測的對應關系同真實實驗結果做了對比。可以看到對于相近的CVN韌性預測結果,實際的DWTT功從低到高在大范圍內分布。
由于DWTT實驗和Charpy沖擊實驗存在根本區別,實驗結果受試驗機過剩容量、斷口分離情況、起裂功比例不同、尺寸效應、錘擊速度差異等因素的直接影響,DWTT實驗和夏比實驗結果之間對應關系的分散性不可避免。總結二者之間近似的對應關系,目的是給通過DWTT韌性的止裂預測提供更多的實測參考。
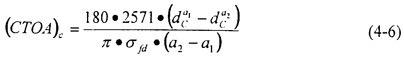
4.5雙試件DWTT法測定Gd和(CTOA)c
(CTOA)c可以通過攝像機從實物裂紋擴展的照片上觀測得到,也可同CVN或DWTT實驗建立聯系。Wilkowski分別建立了基于CVN和DWTT吸收功的(CTOA)c經驗算法,模型如圖4-15。另一種方法是通過測定作用于試件上的總功,從裂紋擴展能的角度計算(CTOA)c。
Wilkowski從實驗歸納了夏比沖擊韌性和(CTOA)c之間的關系:
(CTOA)c=

(4-5)
式中k是待定系數,σfd是動態流變應力(MPa),σfd=1.3σf=0.65(σy+σu),σy為屈服應力,σu為拉伸強度,cKV是單位面積的夏比沖擊韌性(J/mm2)。
比較常用的(CTOA)c。實驗室測定是雙試樣DWTT法。美國西南研究院SwRI發展了這一模型,測得的(CTOA)c可如下表示:
式中

為槽深為a的V形槽DWTT韌性(J/mm
2);a
l、a
2為V形槽深度(mm);a
fd是動態屈服應力(MPa)。
大量的實驗表明,在高韌性鋼的沖擊實驗中,裂紋成長大約一個壁厚以后CTOA即達到穩定狀態,穩態擴展持續到初始韌帶寬度的40%為止。夏比實驗的韌帶寬度尚不足一個壁厚,斷裂行為難以得到持續穩定的發展。
雙試樣DWTT法測(CTOA)c因其簡便易行和結果可信被廣泛采用。據此對西氣東輸采用的某管道工況做了止裂性能的靜態評價,列于表4-1和表4-2中。
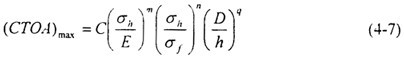
表4-1列出了一種X7O管材的力學性能的測試結果,并根據式(4-8)估算了(CTOA)max,其中參數取p=l0MPa,D=1ll8mm,E=14.7mm,E=2.1×105MPa。
表4-1 西氣東輸1550×14.7mmX70板材強度
|
頭部 |
中部 |
尾部 |
實測 |
平均 |
實測 |
平均 |
實測 |
平均 |
屈服強度
(MPa) |
615 |
606 |
610 |
594 |
610 |
588 |
593 |
582 |
582 |
623 |
590 |
584 |
592 |
594 |
575 |
抗拉強度
(MPa) |
705 |
705 |
740 |
735 |
695 |
690 |
705 |
725 |
682 |
707 |
739 |
691 |
704 |
734 |
691 |
流變應力
(MPa) |
656 |
665 |
639 |
動態流變應力(MPa) |
852 |
864 |
831 |
(CTOA)max(°) |
9.98 |
9.87 |
10.2 |
臨界狀態下,最大的延性裂紋擴展驅動力等于材料的延性裂紋擴展阻力,即(CTOA)max=(CTOA)c。文獻中給出了估算管道裂紋擴展中(CTOA)max的公式:
上式中σh是初始管道壓力下的環向應力:σh=pD/2h,σf是材料的流變應力,E是鋼材的楊氏模量,P是輸送壓力,D是管道直徑,h是管道壁厚。C、m、n和q是特定的常數:C=106,m=0.753,n=0.778,q=0.65。
表4-2給出了通過同種管材的雙試樣DWTT實驗,經式(4-6)和(3-32)得到的(CTOA)c和Gd的值,并作了止裂預測。
表4-2 西氣東輸1550×14.7mmX70板材雙試樣DWTT實驗結果
缺口深度 |
溫度℃ |
頭部 |
中部 |
尾部 |
吸收功(J) |
平均(J) |
吸收功(J) |
平均(J) |
吸收功(J) |
平均(J) |
10mm |
20 |
5120 |
5080 |
4310 |
4453 |
5520 |
5403 |
5070 |
4400 |
5360 |
5050 |
4650 |
5330 |
-10 |
4730 |
4347 |
3820 |
3713 |
4900 |
4730 |
3820 |
3300 |
4290 |
4490 |
4020 |
5000 |
36mm |
20 |
2300 |
2223 |
1760 |
1860 |
2230 |
2250 |
2240 |
1890 |
2100 |
2130 |
1930 |
2420 |
-10 |
1880 |
1773 |
1180 |
1297 |
1540 |
1683 |
1620 |
1310 |
1830 |
1820 |
1400 |
1680 |
(CTOA)c(°) |
20 |
9.57(擴展) |
9.29(擴展) |
11.8(止裂) |
-10 |
9.69(擴展) |
10.6(止裂) |
13.7(止裂) |
Gd
(KN/m) |
20 |
7.48 |
7.26 |
9.22 |
-10 |
7.57 |
8.29 |
10.7 |
4.6對X70鋼管的韌性評測
本節對西氣東輸用到的某種國產X70鋼進行CVN和DWTT韌性評價。實驗中的板卷由B鋼廠生產,鋼管分別由BB、BQ、BL三家管廠生產。
4.6.1CVN實驗結果
圖4-16是夏比能與實驗溫度曲線。圖4-17是剪切面積百分比與實驗溫度曲線。三家管廠鋼管的轉變曲線和上平臺能很似。
圖4-18a,b,c給出了三家鋼管的夏比能與剪切面積的關系,以及85%剪切面積對應的轉變溫度。圖中CV100表示100%剪切面積時最低的夏比能,CVI表示最低夏比平臺能,也稱夏比轉變能,CVP表示夏比平臺能。菱形實驗點表示剪切面積高于90%,方形實驗點表示低于90%可以看到,剪切面積低于90%時,夏比能與剪切面積呈線性關系。
表4-3給出了歸納的夏比沖擊能量值及85%剪切面積對應的轉變溫度。
表4-3夏比能及85%剪切面積對應的轉變溫度
管廠名 |
CVI(J) |
CVP100(J) |
CVP (J) |
CVP/CVI |
CVP/CV100 |
85%SATT(℃) |
BB |
180 |
224 |
287 |
1.59 |
1.28 |
-52 |
BL |
265 |
218 |
267 |
1.01 |
1.22 |
-40 |
BQ |
200 |
200 |
254 |
1.27 |
1.27 |
-36 |
4.6.2 DWTT實驗結果
圖4-19顯示了標準壓制缺口DWTT試樣能量與實驗溫度數據。
圖4-20是剪切面積百分比與實驗溫度的數據。
圖4-21a,b,c是能量與剪切面積百分比圖。和前面-樣,菱形實驗點表示剪切面積高于90%,方形表示低于90%。與對CVN數據的處理類似,分別定義DWTT-100表示100%剪切面積時最低的DWTT能,DWTT-I表示DWTT轉變能,DWTT-P表示DWTT平臺能。由圖4-21可確定DWTT和DWTT-100的值。
表4-4給出了這些DWTT實驗的特征值和85%剪切面積對應的轉變溫度。
表4-4DWTT能及85%剪切面積對應的轉變溫度
管廠名 |
DWTT-I(J) |
DWTT-100(J) |
DWTT-P(J) |
DWTT-P/
DWTT-I |
DWTT-P/
DWTT-100 |
85%SATT(℃) |
BB |
5800 |
6220 |
7704 |
1.33 |
1.24 |
-6 |
BL |
5100 |
6985 |
8963 |
1.76 |
1.28 |
-4 |
BQ |
6100 |
6771 |
7509 |
1.23 |
1.11 |
-1 |
4.6.3CVN與DWTT數據比較
圖4-22是CVN與DWTT試樣的上臺能量特征值數據圖。總的來說,CVN與DWTT試樣的特征能量比率有較好的一致性。圖中P/100的符合性比P/I更好,很大程度上是因為CV100、DWTT-100比CVN-I、DWTT-I的獲得方法更為明確。
從CVN數據得到的85%剪切面積轉變平均溫度是-42.7℃,而從DWTT數據得到的85%剪切面積轉變平均溫度是3.7℃。兩種試樣的轉變溫度差是39℃。這個轉變溫度的變化比Eiber從普通熱軋鋼中得出的結論更大。通過Eiber的關系式得出14.7mm厚的CVN與DWTT試樣的轉變溫度差是10℃。正是這種不同使得在高韌性管線鋼中使用CVN能量產生很多不便。
CVN和DWTT試樣數據表明,這些鋼均具有很高的上平臺能。雖然很難準確地確定上升平臺行為的程度,但這些鋼材斷口分離不明顯,CVP/CV100和DWTT-PDWTT-100均小于1.2,這表明這些鋼的上升平臺很小。
4.7本章小結
本章考查了CVN和DWTT兩種動態韌性測試手段以及二者之間的關系。特別是對具有上臺能的高韌性鋼,文中詳細地分析了斷口分離與能量平臺的形成原因,并結合具體材料進行了實測。
根據前兩章的需要,本章自行設計了雙試件DWTT實驗并測定了韌性減速機理和完善止裂判據所需的偽和(CTOA)c值。
通過對國產X70管線鋼的沖擊實驗,發現這些鋼上升平臺能很小。相比韌性止裂所需的最小韌性值,均有很高的上平臺韌性。
DWTT實驗因韌性值與斷口形貌更接近于全尺寸斷裂而被廣泛采用。然而CVN沖擊韌性仍然占領著難以動搖的壟斷地位。發展二者之間的聯系,同時尋找(CTOA)c等新的表示管材韌性的物理量是對高性能鋼進行韌性評估的關鍵。