等角速萬向聯軸器理論
2.1引言
等角速萬向聯軸器機構的發明及應用開辟了萬向聯軸器的開發和應用的嶄新時代,它也是萬向聯軸器等角速運動的基礎和靈魂。對它的創新意味著有可能發明出新型的等角速萬向聯軸器,研究意義重大,萬向聯軸器機構等角速傳動的理論研究因此也成為該領域一個重要的研究課題。
實現等角速傳動,可以有多種形式咨可以用高副機構也可以用低副機構,可以在兩軸間用多個構件也可以用單一構件,可以用連桿也可以用滾子或其它形狀的構件。正是由于這些不同的型式,通過型演化就會產生更多的、千變萬化的等角速機構。這也是等角速理論復雜的原因所在。
本章從等角速回轉連桿機構入手,以實際的幾種典型等角速產品為例,對不同的等角速理論進行理論推導,分析和綜合,給出了它們不同的適用范圍,為新型等角速聯軸器機構的發現提供必要的理論基礎。
2.2等角速回轉連桿機構探討
在等角速萬向聯軸器中,大部分都屬于連桿機構.最古老的雙聯十字軸萬向聯軸器機構就是球面四連桿機構。從大量的不同的機構綜合中,有可能得出多種實用的等角速連桿機構,所以研究等角速理論,以連桿機構的型式和尺度關系為對象,進行新的等角速理論的探索,在一定的意義上是可行的。在機構學上,構件同構件間的連接稱為副,其不同的形式和代號如圖2-1所示:
2.2.1等角速回轉連桿機構
等角速回轉連桿機構可用于任意位置軸間的等角速傳動,如相交軸、交錯軸(interlaced shaft)、平行軸。與齒輪機構相比,它一般具有構件簡單、容易制造、傳動精度高、耐磨損等優點。現已被廣泛應用于汽車、軋鋼機等設備的雙聯十字軸萬向聯軸器、十字滑塊聯軸器等機構就是其代表。
等角速回轉連桿機構大多為空間機構,解析較繁難,其尺度約束關系式較復雜。對它的研究,只能從某些方向著手,目前我國有的學者利用基本的回轉機構等角速理論為出發點,利用機構學中型演化和運動鏈疊加等方法得出了多種具有等角速特性的機構。其理論和方法如下:
基礎理論:
若一個機構在運轉時其位形始終具有以軸交角(輸人軸和輸出軸之間的夾角)的角平分面為鏡面的對稱性,則該機構將具有等角速性。顯然,運動副與構件均對稱于上述鏡面且含有中間副的單自由度鏡面機構是這類機構的基本型式,其運動特征是,中間運動副始終在鏡面內作平面運動。這一理論直觀地闡明了一般相交軸、交錯軸等角速連桿機構的基本型式。
鏡面機構的中間運動副應始終作鏡面內的平面運動,可假想構成中間運動副的兩構件分別與鏡面構成假想平面副而形成了兩個對稱于鏡面的假想機構。稱此假想機構為“假想半聯軸器機構”。
采用的方法:
對于上述的單自由度鏡面機構,引人“假想半聯軸器機構”的概念來闡明一般相交軸、交錯軸等角速傳動連桿機構的構成型式,從而將通常十分繁難的等角速多桿空間機構尺度關系的研究,簡化為“假想半聯軸器”聯軸器機構曲柄條件的研究。應用靜力平衡法進行求解,即得出它們的曲柄存在的條件,也就得到了此機構等角速回轉的尺度約束關系式。
通過上述的方法,可以得到相交軸、交錯軸形式的多種等角速連桿機構。在圖2-2中列出了其中的一部分,它們都是相交軸傳動的形式,當然全都是鏡面機構。在這些機構中有的已被應用在等角速聯軸器上,如球鉸柱塞式萬向聯軸器就是以RPSPR機構為基礎。在圖2-3中列出了其中的一種較重要的交錯軸形式的等角速連桿機構。
在圖2-3所示的RCRCR鏡面交錯軸等角速連桿機構中,要保證這種機構存在雙曲柄,必須滿足許多條件,圖中所示的紅色尺寸值d相等只是其中的一個,從這一約束關系,就可以看出,在等角速機構中要實現機構的等角速性能,不但需要滿足機械中各構件自身的形狀尺寸,而且也要滿足構件間的相互空間位置關系。鑒于圖2-3中所示的空間位置表達不清晰,特繪制了它的裝配模型圖和機構的各零件模型圖,分別如圖2-4、圖2-5所示。
利用圖2-5中的機構形式,將其在空間中進行擴展,即可得到一種非常有價值的等角速萬向聯軸器——RCRCR交錯軸等角速萬向聯軸器。在圖2-6示意了此種聯軸器的組成零件模型,在圖2-7中示意了此種聯軸器的裝配模型,其中左右兩圖分別是從不同的視角得到的視圖。這種聯軸器在功能上能實現空間交錯軸傳動,它的主要特點是:低副結構,耐磨損性好;構件形狀簡單,便于制造;允許被聯接的兩交錯軸的偏移角變動范圍大,甚至可作直角交錯傳動(不考慮構件間干涉時)。
2.2.2等角速連桿機構的驗證
上述的理論是在鏡面機構(據現有的理論是等角速度機構)的基礎上,解出曲柄條件,得到機構等角速運動的尺寬約束關系式。為了驗證這一方法的可行性,特制作了如正氣RPSPR平面相交軸模型(如圖2-8所示),這個模型的結構左右未完全對稱(兩個移動副到球面副的距離不同)。
2.2.2.1仿真模型的建立
在圖2-8所示模型的基礎上,通過在各構件間加上運動副,在運動副上施加運動驅動,即可得到此機構的運動仿真模型(如圖2-9所示)。在此模型的建立過程中嚴格保證各構件的共面,其運動副的形式同圖2-2中的RPSPR機構均相同。這樣在此模型中有4個構件(不含機架)、有2個旋轉副、有2個移動副、有l個球面副、模型有l個自由度,再加上l個運動驅動即可得到完整的仿真模型。不過此模型并不滿足鏡面機構的條件。
2.2.2.2仿真結果分析
對模型進行運動仿真分析,并輸出此模型的輸入和輸出角速度的測量曲線(如圖2-10所示)。
在此仿真中共輸出了此模型運動兩周的曲線,這證明此模型中雙曲柄肯定存在,按前面的理論,如果機構是鏡面機構,在輸入轉速恒定的情況下,則輸出轉速就是恒定的,在圖2-10中,在輸入轉速恒定為90°/s時,其輸出轉速是周期變化的。后來經模型修改,將原模型改為完全對稱結構,滿足鏡面機構的條件,重新進行仿真,得出的結果是輸入轉速同輸出轉速完全相等。這從正反兩面說明了前面理論的正確性,同時也說明要想得到等角速傳動并不是一件簡單的事。不過本次證明只是對一種形式機構而言,有關其它的機構形式,還需要進一步的探索。
2.2.3等角速回轉連桿機構結論
由上面的分析可知,對于非鏡面對稱的RPSPR機構,不可能具有等角速回轉的特性。
所有的機構中,連桿機構僅占一部分,鏡面機構又僅占連桿機構的一部分,即使我們證明了上述理論的正確性,所研究的內容也僅占整個機構的很小的一部分,這方面的理論還很不完善,需要進一步地研究。
2.3等角速萬向聯軸器的理論及產品
關于等角速萬向聯軸器到目前已形成了三種理論,和大量的相關產品。已創建的等角速聯軸器的等角速傳動理論如下:
雙十字軸萬向聯軸器實現等角速傳動的理論;
傳力點位于兩軸交角平分面內的等角速傳動理論(定心式理論);
瞬時滑動——轉動軸理論(非定心式理論)。
2.3.1雙聯十字軸等角速傳動理論及其產品
2.3.1.1雙聯十字軸等角速傳動理論
十字軸萬向聯軸器的基本結構如圖2-11所示,它是由兩個在軸上的叉形接頭1、2和一個十字軸組成,因為叉形接頭和十字軸是鉸接的,因此允許被聯接兩軸有較大的角偏斜,但兩軸不在同一軸線上時,主動軸等速運動,從動軸將在某一范圍內作周期的變速運動,即兩軸不同步。
單聯萬向聯軸器的運動關系:
十字軸萬向聯軸器的機構實際上是球面四連桿機構,它的空間運動關系早已解析出。當輸入、輸出兩軸線的夾角為β輸入軸轉角ф
i轉速ω
i,輸出軸轉角ф
o,轉速ω
o,則它們的位移關系式為:tgф
i=tgф
pcosβ,速度關系式為:

,曲線圖如圖2-12(此圖的目的主要是為了后面的驗證所示。

雙聯十字軸萬向聯軸器等角速傳動原理:
現假設有兩個十字軸萬向聯軸器,按圖2-13或圖2-14聯接在一起,主動軸同從動軸與中間軸之間的夾角分別為a
l、a
2,當主動軸轉過ф
1角,中間軸轉過ф
0角,從動軸轉過ф
2角,則由上面的位移關系,有如下式子:
對第一個萬向聯軸器有:tgф
0=tgф
1cosa
1對第二個萬向聯軸器有:tgф
0=tgф
2cosa
2
于是可得:tg

cosa
1 =tg

cosa
2,若要等角速,即:

=

則有:a
1= a
2
這樣就得到了雙聯十字軸萬向聯軸器等角速傳動時的兩種空間布置形式,也就是圖2-13和圖2-14所示的兩種方式。
將雙聯十字軸萬向聯軸器的這兩種布置形式,用文字描述如下:
當兩個十字軸萬向聯軸器配合使用,則有可能實現等速傳動,只需滿足如下條件:
傳動軸、主動軸和從動軸三軸應在同一平面內:
傳動軸兩端叉形接頭的叉口應位于同一平面內;
傳動軸與主、從動軸之間的軸間角應相等。
這也是雙聯十字軸萬向聯軸器等角速傳動的原理。從這一理論可知,它是面向于一種具體的聯軸器上的理論,只是針對十字軸萬向聯軸器,因而適用范圍較窄。
在這樣的理論指導下,人們制作了圖2-15所示的雙聯十字軸等角速萬向聯軸器。它的關鍵結構就是中間的軛機構,它保證了兩軸同軛(相當于中間軸)的夾角始終相等,從而實現等角速傳動。
2.3.1.2雙聯+字軸等角速傳動理論的產品
2.3.1.2.1環叉式萬向聯軸器
在雙聯十字軸等角速萬向聯軸器理論的指導下,人們將中間的傳動軸縮短為零,而將兩十字軸相應變為十字軸和十字環的結構(如圖2-16所示),于是就產生了環叉式等角速萬向聯軸器。其結構原理簡圖如圖2-17所示。
環叉式萬向聯軸器的結構原理:
環叉式萬向聯軸器是在雙聯式萬向聯軸器的基礎上發展而成的。取消中間軸,使其兩端的十字軸在幾何上重合為一個率面,從而保證了理論上的等速傳動。為避免兩十字軸重疊時,軸實體發生干涉,將其中一個十字軸實體改為虛體一一變形為一個中空的圓環,稱為“十字環”。十字環上開有兩對中心線互相垂直的銷孔和短銷軸,實質上構成虛體十字軸,同樣起十字軸作用,使虛體和實體兩個十字軸在幾何上能重疊為一個平面。由于萬向聯軸器具有“環”和“叉”的結構特征,“環叉式萬向聯軸器”由此得名。
當環叉式萬向聯軸器傳遞轉矩時,轉矩由叉軸l(主動叉)傳到十字軸,再傳到十字環及叉軸2(從動叉)。此機構雖具備動力傳遞功能,但要滿足其勻速運動特性,尚須增加一套分度裝置,為此將球籠式萬向聯軸器的杠桿式分度機構移置到環叉式萬向聯軸器上來,這就達到了萬向聯軸器傳力點的運動平面是主、從動軸的角平分面的等速傳動條件。
環叉式萬向聯軸器的特點:
a.靜態傳動等速性近似球籠式萬向聯軸器;
b.最大工作夾角、最大轉角差均達到了球籠式萬向聯軸器的水平;
c.負荷能力、使用壽命、加工精度等同于傳統的雙聯十字軸萬向聯軸器,同時具有十字軸萬向聯軸器的其它優點,如:加工制造容易、成本低廉、價格便宜等等;
d.結構緊湊,能滿足前輪驅動轎車結構布置的要求,具有廣闊的應用前景。
分度機構剖析
環叉式萬向聯軸器實質上是由雙聯十字軸萬向聯軸器加導桿球籠式萬向聯軸器的分度機構所組成。環叉式萬向聯軸器同導桿球籠式萬向聯軸器的等角速傳動特性的好壞關鍵就是由分度機構的性能所決定。對分度機構性能的深入分析,完全解析其特點十分有意義。
在環叉式萬向聯軸器中采用的分度機構閱布置形式見圖2-17中紅色部分。當叉軸1相對叉軸2有偏轉時,分度機構的三個球頭分別相對它們的配合構件轉動,這樣就會帶動十字軸和十字環偏轉一定的角度。根據現有的等角速傳動理論,當十字軸和十字環偏轉的角度為叉軸1相對叉軸2偏轉角的一半時,將會把十字軸和十字環偏轉到叉軸l相對叉軸2的等分角平面,這樣傳力點就會在等分角平面內,從而實現等角速傳動。那么現在的關鍵問題是分度機構是否能正好將角度偏轉一半。作出分度機構的原理簡圖如圖2-18所示。機構中各參數的關系如下式:
m=18mm,a=9.7mm,b=27.7mm這里值的選取已經過優化)
現作出分度機構中理論半偏轉角

,實際半偏轉角у和它們的差的函數圖形,如圖2-19所示。
在圖2-19中,可以看到,

,y的函數圖形,在β角小于36度以前,幾乎是重疊的,在36度以后,才開始有明顯的差異,這一點從它們的差值曲線(圖2-19中下面的紫紅色曲線)也可以看出。這就是說,此機構在目前的尺度下在36度以前,它的分度性能是相當理想的,值得借鑒。不過從分度性能曲線上,可以看出,環叉式萬向聯軸器并非是完全的等角速萬向聯軸器,因為在36度以前的分度也有微小的差異。
2.3.1.2.2 THOMPSON 式萬向聯軸器
將環叉式萬向聯軸器的中間直線分度桿轉變為球面分度機構,就成為一種新型的等角速萬向聯軸器,這就是THOMPSON式萬向聯軸器其結構如圖2-20所示。
這種聯軸器中通過用球面架(圖2-20左邊)來分度,相對環叉式萬向聯軸器來說,結構上是復雜了,但它將環叉式分度中的高副全變為了低副,在潤滑上會非常優良,壽命就會大大提高。從上面的結構上看,這種改變在制造和裝配上并未帶來任何不便。據現有的實驗資料表明,這種聯軸器是一種等角速萬向聯軸器,目前這種聯軸器在國內還未見有報導。
2.3.2 定心式等角速萬向聯軸器傳動理論及其產品
2.3.2.1 定心式等角速萬向聯軸器傳動理論
定心式等角速理論
a.兩軸相交時,兩軸交點與嚙合點恒位于兩軸線所成夾角的平分面上,可實現萬向聯軸器等角速轉動(又稱同步);
b.兩軸相錯時,單一的萬向聯軸器聯接不能實現等角速轉動的目的。
理論證明如下:
萬向聯軸器的等角速條件
2.3.2.1.1 當輸入、輸出軸相交時的等角速條件
先將萬向聯軸器簡化為如圖2-21所示的數學模型。建立模型及坐標系如下:Zi和Zj分別代表輸入與輸出軸,Xi和Xj軸重合,均垂直于Zi和Zj所組成的平面。兩軸間的夾角為β。特別須說明的是,本文所建立的坐標系均為右手坐標系,為了清晰起見,Y軸一般不再標出,可根據右手定則判斷其方向。
假設M點是兩軸的嚙合點(運動曲線C
1和C
2的交點,也就是傳力點)假設初始條件為:當時間t=0時,

(輸入軸轉角),

(輸出軸轉角)均為零,在兩坐標系OX
iY
iZ
i和OX
jY
jZ
j中,曲線C
l和C
2的方程分別為:
如圖2-21所示,坐標系OXjYjZj可以看作是坐標系OXiYiZi繞Xi(或Xj)旋轉了一個角β度。旋轉的方向余弦矩陣為:
進行坐標變換有:(即由坐標系OXjYjZj變換到坐標系OXiYiZi其中(Xi,Yi,Zi),(Xj,Yj,Zj)分別表示某點在兩坐標系中的坐標。)
假設

和β角已知,上述方程中只有三個未知量(

,t,s),因此用數值方法能夠確定其解。
等角速條件的導出:
假設該萬向聯軸器是同步的,可令

=

(

,

可取任意值)
則得:
msinβ=(1-cosβ)(ksin i+lcos i)
由于y可在一定范圍內任意地取值,故有:
m=-w
綜合以上所述,得到聯接相交兩軸的萬向聯軸器同步性的條件為:
由于

和β的取值是任意的,交點M也是任意的,因此兩曲線方程滿足上述同步條件時,才能保證輸入、輸出是完全同步。故它們的參數方程為:
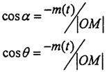
設兩曲線的交點M(嚙合點)與兩軸的交點。的連線OM與輸入軸(Z
i軸的負半軸)的夾角和。M與輸出軸和夾角分別為:(在此處|OM|=

,表示嚙合點與兩軸交點間的距離。)
由此可得cosa=cosθ,由于0≤180° 0≤θ≤180°。故有a=θ。簡而言之,兩相交軸完全同步的基本條件是:兩軸交點與嚙合點恒位于兩軸線所成夾角的平分面上。
2.3.2.1.2 輸入軸、輸出軸相錯時的同步性研究
假設兩軸的位置如圖2-22所示,建立模型及坐標系如下:Zi和Zj分別為輸入軸、輸出軸,設Xi(Xj)與Zi和Zj的公垂線重合,h為兩軸間的最短距離,兩軸夾角為β。
進行坐標變換,則坐標系OXjYjZj中的某點在OXiYiZi坐標系中的坐標可表示為:
在此表示坐標系變換矩陣,兩軸嚙合點M的坐標可如下求得:
此處

、

分別表示輸入軸、輸出軸在任意時刻轉過的任意角度,由上式我們可導出以下的關系式:
假設此時兩軸能夠實現同步,令

=

,則上式只有兩個未知量,通過計算,則可以導出兩軸運動的輪廓曲線存在著某種關系。
設(2-6)恒成立,通過比較兩端的系數可得:k=u,l=v,h=0
這顯然與已知不符,因為h≠0,可見假設不成立。
若再設(2-8)式恒成立,則有m=0,u=O,w=0,v=O。代入(2-7)式中可得k=l=0,顯然這個結果是毫無意義的,因此假設不成立。
通過以上的分析,我們知道,兩軸相錯時,在這種模型下,單一的萬向聯軸器聯接不能實現同步的目的。
2.3.2.1.3定心式等角速萬向聯軸器理論總結
定心式是指兩軸相交時的情況,盡管上述證明過程涉及到了兩軸相錯時的等角速條件證明,但未得出任何結果,這里實際上只有定心式的等角速理論得到了證明。在證明中用到的模型傳力點只有一個,這就是說結論的得到是建立在聯軸器機構模型中中間構件只有一個的情況,多于一個的情況此結論就不一定正確了,因此這也限制了這一理論的應用范圍。
2.3.2.2定心式等角速萬向聯軸器的產品
下面的兩類萬向聯軸器在結構上輸入軸和輸出軸始終相交于一點,只通過鋼球來傳遞力,是典型的定心式等角速理論的應用。
2.3.2.2.1球籠式萬向聯軸器
球籠式萬向聯軸器是目前性能最優良,應用最廣泛的一種等角速萬向聯軸器,根據結構形式的不同可分為兩大類,即導向桿式球籠萬向聯軸器和偏心距式球籠萬向聯軸器,分別如圖2-23和圖2-24所示。
導向桿式球籠萬向聯軸內外環上鋼球滾道溝槽的圓弧中心和保持架內外球面的球心均重合確保萬向節的中心o保持不變,如圖2-23所示。當兩軸線有相對的角位移時,通過導向桿的作用能使鋼球分布在兩軸軸線相對角位移的等分角平面上,從而保證兩軸同步。導向桿式球籠萬向聯軸器因零件數量較多、安裝不便,在應用上受到了一定的限制。
偏心距式球籠萬向聯軸器內外環上鋼球滾道溝槽的圓弧中心o′和o″以相同偏心距分別置于對稱線(如圖2-24中藍色點劃線所示)的兩側,當兩軸線有相對的角位移時,能使鋼球分布在兩軸軸緣相對角位移的等分角平面上,從而保證兩軸同步。
球籠式萬向聯軸器的特點:同步性高、角位移大、結構簡單、體積小等許多優點。已形成系列,并廣泛應用于汽車、冶金、輕工、重型機械等部門。
2.3.2.2.2鋼球柱槽聯軸器
鋼球柱槽聯軸器同球籠式萬向聯軸器一樣,它也通過鋼球來傳遞兩個半聯軸器之間的力,當兩個半聯軸器的軸線有相對的角位移時,半聯軸器上的滾道能使鋼球分布在兩軸軸線相對角位移的等分角平面上(如圖2-25所示),從而保證兩軸同步。同球籠式萬向聯軸器不同的是它的鋼球分布在一個橢圓面上,而球籠式萬向聯軸器則分布在一個球面上。
鋼球柱槽聯軸器是一種結構極為簡單且易于制造的等速聯軸器,因而具有實用價值,不過由于結構上的限制這種聯軸器兩軸間的偏轉角較小。

2.3.3非定心式等角速萬向聯軸器理論及其產品
2.3.3.1非定心式等角速萬向聯軸器傳動理論
非定心式等角速理論:
輸入軸和輸出軸的相對轉動瞬時轉軸或瞬時轉動——滑動軸位于或平行于兩軸的等分角平面。
理論證明如下:
2.3.3.1.1單聯萬向聯軸器等角速傳動的必要條件
設單聯萬向聯軸器的角速度為

,輸出軸與輸入軸的瞬時角速度相等,其角速度用

來表示,兩軸線相交于0點,偏轉角β隨時間的偏轉角速度為

。對此聯軸器可作出圖2-26所示的轉動關系示意圖。
假設給整個系統加上一個角速度-

,則根據理論力學中的知識可知輸出軸和輸入軸的關系仍保持不變,這時輸入軸的角速度變為零,而輸入軸的運動可由下面的方法來分析。
如圖2-26所示,使

矢量等于

,

矢量等于-

,且∠bo′f=β,作

平行于

,其大小等于

,則△abo′為等腰三角形,由b點作

的垂線,得垂足g,

垂線將△abo′等分成兩個直角三角形,這兩個直角三角形與△aco′為相似三角形。
由于:

所以

位于兩軸的等分角平面內,因此-

和

的合成矢量即輸出軸相對于輸入軸的角速度

也位于兩軸的等分角平面內。

的大小可通過△o′gb和△ogb來計算:

=2ω
0sin
由于

矢量與輸入和輸出軸的軸線垂直,所以

與

的合成矢量

=

+

也位于兩軸的等分角平面內。合成矢量

的位置就是瞬時轉軸的位置。
所以軸線相交的等角速萬向聯軸器輸出軸相對于輸入軸的相對轉動瞬時轉軸始終位于兩軸的等分角平面內。考慮到萬向聯軸器的一般情形:輸入軸與輸出軸軸線并不位于同一平面內,存在與輸入軸線和輸出軸線垂直的徑向位移,且有徑向移動速度和軸向移動速度

與

,如圖2-27所示。
這些移動速度不影響角速度矢量合成,即不影響瞬時轉動——滑動軸的方位,但是對角速度所確定的瞬時轉動——滑動軸的位置有一定影響,這時輸出軸相對于輸入軸的瞬時轉動——滑動軸不是位于而是平行于兩軸的等分角平面。這一結果是以兩軸角速度大小相等為前提條件推導出來的,可以作為單聯萬向聯軸器的普遍條件來應用,現將此條件簡述如下:
具有等速傳動特性的單聯萬向聯軸器的必要條件為兩軸的相對轉動瞬時轉軸或瞬時轉動——滑動軸位于或平行于兩軸的等分角平面。
2.3.3.1.2單聯萬向聯軸器等角速傳動的充分條件
上述條件反之也成立。在一般情況下,如果兩軸用一個單聯聯軸器聯接,若相對轉動的瞬時轉軸或瞬時轉動―滑動軸位于或平行于兩軸的等分角平面,則該萬向聯軸器具有等角速傳動特性。
如圖2-28所示,輸入軸與輸出軸通過一個萬向聯軸器J聯接,兩軸夾角β為變量,輸出軸相對于輸入軸存在瞬時轉動——滑動軸,用矢量

來表示瞬時轉動——滑動軸的方向,矢量

平行于兩軸的等分角平面。現將

的起點位置移動到O′處,使

位于兩軸的等分角平面內,將

分解為偏轉角速度

和相對角速度

如圖2-28所示,由于

位于等分角平面內,所以在以

為合成矢量、
KTYS`82XIP{DV11.tmp)
和

為分矢量所做的平行四邊形abo′c中,

=

(因為

位于兩軸的等分角平面內)

=

(內錯角相等),所以△abo′為等腰三角形,又因為ab=o′c,所以ω
i=ω
0,此萬向聯軸器有等角速傳動特性。
2.3.3.1.3非定心式等角速萬向聯軸器理論總結
從這一理論證明所采用的模型和證明過程可以看出,它的證明僅是從聯軸器的輸入和輸出著手,并未涉及到聯軸器的中間傳力構件,近似于一種黑箱理論。故而這一理論證明所采用的模型具有廣泛的代表性,理論本身也有廣泛的適用范圍。這就是說如果構造出傳力點位于或平行于等分角平面的萬向聯軸器,則此聯軸器具有等速傳動特性。很明顯這一理論在前面的理論上又前進了一步。
2.3.3.2非定心式等角速萬向聯軸器的產品
同非定心式等角速萬向聯軸器理論相符的萬向聯軸器產品主要有如下幾種。在這幾種萬向聯軸器中它們的兩軸線并不是交于一個不變的點,這也正是非定心式的概念。
2.3.3.2.1三球銷式萬向聯軸器
三球銷式萬向聯軸器是一種被廣泛應用的聯軸器,已有近30年的歷史,它同后面敘述的兩種聯軸器同屬三叉式萬向聯軸器,它們的傳動原理在本文的第三章中有詳細的描述,是一種運動規律十分復雜的聯軸器。它的裝配模型和零部件模型分別如圖2-30、圖2-29所示.在聯軸器轉動時,傳遞滾子既可相對滑道軸中的滑道軸向移動,也可沿三叉桿的軸頸轉動和徑向移動,以補償兩軸夾角的變化。
三球銷式萬向聯軸器是一種準等角速聯軸器,與其它各類等角速聯軸器相比,零件數目最少,結構簡單緊湊,無論傳動方向如何,三個銷軸全部參加工作,因此傳動扭矩能力強,工作可靠,聯軸器的相對運動件為滾動摩擦,摩擦損失小,傳動效率高。不過它的滾子同滑道的接觸是高副線接觸,傳動中接觸應力較大,在一定的程度上可能限制了它的傳輸能力。
2.3.3.2.2三叉桿滑移式萬向聯軸器
三叉桿滑移式萬向聯軸器是新發展起來的一種較理想的萬向聯軸器,其裝配模型和零部件模型分別如圖2-32、圖2-31所示。它的運動方式在本文的第三章中有詳細的描述。相對于三球銷式萬向聯軸器,它將前者的高副線接觸改為面接觸,增加了聯軸器的傳輸能力。
這種聯軸器結構和制造工藝簡單,傳動平穩,在輸入、輸出兩軸軸線成較大的夾角傳動時仍能保證等角速傳動的性能。
三叉桿滑移式萬向聯軸器作為一種新型非定心式萬向聯軸器能達到等角速傳動且具有優良性能,將有廣闊的應用前景。
2.3.3.2.3三叉桿滑塊式萬向聯軸器
三叉桿滑塊式萬向聯軸器是一種新型的萬向聯軸器,其裝配模型和零部件模型分別如圖2-34、圖2-33所示。它同三叉桿滑移式萬向聯軸器只是在結構上稍有不同,將前者的滑桿變為了滑塊,這樣由于結構上的限制,其偏轉角相對變小,但其傳輸能力相對提高。
這種聯軸器結構簡單、緊湊,制造裝配不需專用設備,工藝簡單,造價低,傳輸能力強,具有廣闊的應用前景。不過它同三叉桿滑移式萬向聯軸器一樣在潤滑方面可能很難設計,這樣在壽命上可能就相對較短。
2.3.3.2.4交錯軸等角速萬向聯軸器
交錯軸等角速萬向聯軸器的裝配模型和零部件模型分別如圖2-7、圖2-6所示,這一種聯軸器目前還停留在研究階段。它的所有運動副都為低副,制造工藝簡單,能實現交錯軸的等角速傳動。它最大的特點是可以在交錯情況下,進行90度夾角的運動(構件不干涉的情況下)。
2.4不同理論的適用范圍和聯系
在前述的三種理論中,可以看出它們并不互相獨立,而是在各自的適用范圍內有相互的聯系。
雙聯十字軸萬向聯軸器理論只針對十字軸萬向聯軸器適用,但當環叉式和THOMPSON式萬向聯軸器出現后,它們都是利用分度機構將傳力點轉至等分角平面,這一點同定心式等角速的理論相同。當非定心式等角速的理論出現后,它概括了前面的所有等角速理論,成為單聯萬向軸器等角速傳動的普遍規律。
2.5本章小結
本章較為系統地總結了現有的等角速理論,為新型的等角速萬向聯軸器提供了理論基礎。
從等角速回轉連桿機構探討入手,歸納并總結了在等角速回轉連桿機構的最新成果,說明有多種形式的連桿機構具有等速傳動特性,可以作為新型等角速萬向聯軸器研制的機構學基礎。
對現有的三種等角速理論及其相應的典型產品,進行了總結和比較,給出了它們各自的適用范圍及相互間的聯系,為進一步的等角速理論研究打下了基礎,也為新型等角速萬向聯軸器的發明提供了理論指導。