三叉桿式萬向聯軸器的理論運動分析
3.1前言
三叉桿式萬向聯軸器是一種新型的萬向聯軸器,它在結構上簡單、緊湊、安裝方便,具有承載能力大和工作可靠等優點。在國外已廣泛地被應用于汽車工業和其它的工業領域。但由于它的運動規律復雜,為了徹底弄清它的特點,長期以來一直都有人對它運用不同的計算方法進行運動分析。本章運用方向余弦矩陣這一數學工具,對三叉桿滑移式萬向聯軸器運動機理進行解析計算,得出它的運動規律表達式和曲線圖,并在后面的章節中運用同樣的結構進行仿真驗證,以檢驗計算的正確性。
3.2三叉桿式萬向聯軸器的理論運動分析
3.2.1三叉桿滑移式萬向聯軸器簡介
三叉桿滑移式萬向聯軸器由滑桿套軸(又稱為輸入軸)、三叉桿(又稱為輸出軸)、小桿和內球頭等組成產(這幾個構件的模型圖3-1所示),其中小桿和內球頭裝配成滑桿(模型的裝配關系如圖3-l最上部),在這種連接形式下,內球頭可在小桿內轉動,即形成球面副,具有三個轉動自由度。在滑桿套軸上有三個均勻分布的孔(小桿的滑道),與安裝在三叉桿軸頸上的滑桿相配合,這里所有的配合均為間隙配合。當三叉桿萬向聯軸器運轉時(兩軸有夾角),滑桿一方面沿滑道的中心線移動,另一方面沿三叉桿軸頸移動,從而實現運動過程中的角度補償。
3.2.2分析模型的建立
由于運動規律的特殊性,為了實現它的運動,對單聯的三叉桿式萬向聯軸器需要在輸出軸上安裝調心軸承(調心軸承的模型裝配關系如圖3-1所示,它的內圈同三叉桿無相對滑動),否則它在理論上是不可以轉動的(自由度不夠)。再裝上機架,即左支承(如圖3-1),就構成了三叉桿滑移式萬向聯軸器的裝配模型。其模型如圖3-2所示。
通過對圖3-2中的模型進行抽象,可得到三叉桿滑移式萬向聯軸器的機構運動簡圖,其示意圖如圖3-3所示,在此模型中關節軸承中心同三叉桿三軸頸軸線的交點距離一直不變。由以前的分析可知,在這種模型中,三叉桿中心的運動軌跡在輸出軸平行于自身運動時是以

為半徑的圓,其中R為輸入軸滑道軸線至。輸入軸軸線的距離(圖3-4中有其示意),β為輸入、輸出兩軸線之間的夾角(圖3-5中有其示意),L為圓錐擺中軸線長。所以采用調心軸承安裝輸出軸時,輸出軸的運動必為一圓錐擺運動,三叉桿中心的偏心距P比值

有關。當L為無窮大時,

,這時相當于用雙向心軸承安裝輸出軸,隨著

增大L
P的計算值與實際值將會出現微小的誤差;由于誤差極小,所以在一般應用場合可以取P≈

(

)
由于在轉動的過程中,三叉桿交點作旋轉運動,因此會導致輸入軸與輸出軸之間的夾角發生變化,其變化范圍為βmin~βmax,當O點(見圖3-5)處于輸入軸與輸出軸轉動錐中心線所構成平面的兩個極限位置時,偏轉角達到兩極值:
在其它位置時,偏轉角介于兩者之間。
3.2.3坐標系的建立
由于輸出軸作一圓錐運動,在分析的過程中需建立三套坐標系,如圖3-5所示。
首先建立兩個固定坐標系OXYZ和O′X′Y′Z′,輸出軸轉動錐中心線取為軸OZ,輸入軸的軸線取為O′Z′,其中O與O′重為oZ與O′Z′交點,取軸OY與O′Y′重合,且垂直于形成夾角β的OZ和O′Z′兩軸所在平面,則坐標系O′X′Y′Z′可看作是坐標系OXYZ繞OY軸旋轉一個角度,即為輸入與輸出之間的夾角β所得。另外,在三叉桿上固連一動坐標系O″X″Y″Z″,原點O″即為三叉桿的交點,O″Z″即為實際輸出軸軸線,O″X″Y″平面即為三叉桿所在平面,且取軸O″Y″始終垂直于OX軸(即動坐標系O″X″Y″Z″也隨三叉桿作圓錐運動)。假定在初始狀態下,導向滑道軸線m
1位于O′X′Z′平面內,三叉桿軸線n
1位于與固定平面OXZ重合的動平面o″X″Z″內,當輸入軸轉過一角度

時,輸出軸上三叉桿轉過

角,其中輸入軸轉過角

時,在坐標系O′X′Y′Z′中位置如圖3-4所示(圖3-4中右圖為左視圖,w
i為輸入轉速),這樣建立坐標系后,就可以利用引入齊次坐標的方向余弦矩陣——四階變換矩陣進行運動方面的分析了。
3.2.4運動分析
按圖3-5所示坐標系,可先在動坐標系O″X″Y″Z″中建立三叉桿軸頸的軸線參數方程然后通過坐標變換轉至固定坐標系O′X′Y′Z′中,因輸入軸的滑道軸線同三叉桿軸頸的軸線相交(于小桿球面的中心),故在坐標系O′X′Y′Z′中聯立三叉桿軸頸的軸線參數方程和輸入軸的滑道軸線參數方程,在這個聯立的方程中會出現兩個未知量即輸出轉角

和動坐標系中的一個坐標x″,方程數和未知量數是相同的,可以求解,通過消除了即可求得

同

的關系;同時小桿球面的中心在固定坐標系O′X′Y′Z′中的運動軌跡也可求出。
3.2.4.1聯立方程的求取
由建立的坐標系可知:
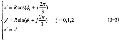
在定坐標系O′X′Y′Z′中輸入軸的三滑道軸線m1、m2、m3方程為:
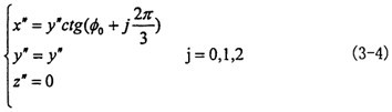
在動坐標系O″X″Y″Z″中三叉桿軸頸的軸線n1、n2、n3方程為:
定坐標系O′X′Y′Z′與定坐標系OXYZ之間的四階變換矩陣為:
下面討論如何在固定坐標系O′X′Y′Z′中表達出三叉桿軸線的參數方程。
為求出這個參數方程,我們必須解決動坐標系O″X″Y″Z″同定坐標系OXYZ之間的坐標變換矩陣[Moo″]。
已知O″點在OXYZ中的坐標為:
由于動坐標系O″X″Y″Z″的O″Y″軸取得始終垂直于固定坐標系OX軸,可認為先把OXYZ坐標系繞OX軸轉過夾角θz,使OY軸與O″Y″軸平行,再繞新的OY軸轉過θy,使OX軸與O″X″軸平行,OZ軸也同時平行于O″Z″軸(變換空間位置如圖3-6所示)。則固定坐標OXYZ與動坐標系間的變換關系如下:
所以有:
因O″Z″與OZ的交點S在OXYZ坐標系中的坐標為(O,O,L),在O″X″Y″Z″坐標系中的坐標為(O,O

),代入式(3-5)
可推出:
由式(3-6)可知|θy|<θ,|θx|<θ一般來說θ值非常小,則θy和θx則更小。到此方向余弦矩陣[Coo″]的所有項均可求出。其具體的形式如下(為簡化書寫將θy作為已知參數代入):
于是動坐標系O″X″Y″Z″與定坐標系OXYZ之間的四階變換矩陣[Moo″]為:
其中tgθ=

,(L為圓錐擺中軸線長,P為圓錐擺底圓半徑(見圖3-3))
又坐標系O′X′Y′Z′與坐標系O″X″Y″Z″之間的四階變換矩陣為:
[Mo′o″]=[Mo′o] [Moo″]
故三叉桿軸頸的軸線方程由坐標系O″X″Y″Z″轉到坐標系O′X′Y′Z′為:
(3-7)式中A1、A2、A3、A4、B1、B2、B3、B4、C1、C2、C3、C4等于其在矩陣[Mo′o″]中對應位置的表達式。
將式(3-3)同式(3-9)式聯立,則有:
3.2.4.2輸入、輸出轉角關系的求取
由式(3-1o)中的(1)、(2)兩式,消去x″,即可求出輸入角 同輸出角 的
關系。

(3-11)
在式(3-11)中略去sinθ的平方和高次項(根據實際情況p«L,故θ也非常小),同時令cosθ
y≈1(由式(3-6)可知是合理的)。則可得出輸入同輸出轉角關系:
轉角關系:

(3-12)
速比關系:

(單位為弧度/秒) (3-13)
3.2.4.3小桿的運動分析
3.2.4.3.1小桿相對于滑道的運動
對式(3-1o)中的第(3)式作近似處理sinθ≈

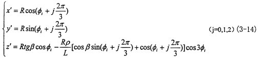
≈o,cosθ≈1(實際上p<<L,近似處理是合理的),則可得到三小桿的球面中心P在固定坐標系o′X′Y′Z′中的運動軌跡:
由式(3-14)則有小桿在滑道中的滑動位移即為坐標z′值,由于三小桿的滑動位移是相同的,可取其中之一進行表示,令h1為其位移量則可表示為:

小桿球面中心P在定坐標系o′X′Y′Z′中的坐標(X′Y′Z′)表示成向量形式為:

=(x′,y′,z′),將其對時間t求導得到:

,則P點的絕對速度為v
p=

。其中:
上式中作

的處理(三叉桿式萬向聯軸器輸入同輸出的轉角差值很小,可以認為是等角速傳動,這在后面的分析中可以證明。)

=v
pz是小桿沿著滑道的相對速度,將速度

再次對時間t求導可得小桿運動的加速度:

(其中

=a
pz是小桿沿著滑道的相對加速度)。
假設輸入軸的轉速為定值,則

,此時:
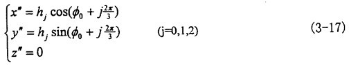
3.2.4.3.2 小桿(球面中心P)相對于三叉桿軸頸的運動小桿的球面中心P在動坐標系O″X″Y″Z″中的參數方程為:
(方程中h
j為小桿的球面中心P到三叉桿軸線的距離,因為三小桿運動相同,故取其中之一分析,可令j=o)
將(3-17)式代入(3-1o)式中第(2)個方程可得
Rsin

=B
1h
ocos

+B
2h
osin

+B
4
由

=

,cosθ≈1,sinθ≈o則可得出小桿球面中心P沿著三叉桿軸頸相對位移量為:
h
o=R-P-2Pcos2

(3-18)
將位移ho對時間t求導可得小桿球面中心P沿三叉桿軸頸的相對速度:

(3-19)
將速度

再次對時間t求導可得小桿球面中心P沿三叉桿軸頸的相對加速度:

(3-2o)
3.2.5結果分析
對我們進一步分析有意義的有如下各量:
輸入、輸出轉角差值

同輸入、輸出角速度比值

隨輸入角和兩軸夾角的變化情況;
小桿沿滑道運動的位移h
1、速度v
Pz和加速度a
pz隨輸入角和兩軸夾角的變化情況;
小桿的球面中心P沿三叉桿軸頸運動的位移h
o、速度

和加速度

隨輸入角和兩軸夾角的變化情況;
故繪出它們在不同的軸夾角β下隨輸入軸轉角 的變化曲線圖,以便進行直觀的分析。
假設R=37mm,L=14o.5mm,ω
i=9o

(為了使理論分析結果同仿真試驗的結果相互驗證,這里的尺寸 和運動參數的選取實際上就是仿真中用到的數字),繪出以上被關注量隨輸入軸回轉兩周的曲線圖,分別如圖3-7、圖3-8、圖3-9、圖3-1o、圖3-11、圖3-12、圖3-13和圖3-14所示。
由以上對各曲線圖的分析,可以知道三叉桿萬向聯軸器在一定的程度上可以認為是一種等角速聯軸器;它的各個運動參量,一般都隨兩軸夾角β的增大而增大,有的還變化較大,故不適宜于在大夾角的工況下工作。
3.3本章小結
通過引入在調心軸承安裝工況的三叉桿滑移式萬向聯軸器模型,建立合適的運動模型和坐標系,利用齊次坐標的方向余弦矩陣——四階變換矩陣,對三叉桿滑移式萬向聯軸器進行運動分析,得到其各個構件的位移、速度和加速度表達式和變化曲線,并對各曲線進行了分析,得出它是一種準等角速聯軸器,為本文后續的仿真驗證和以后的動力分析提供了基礎。
對曲線圖的分析:
由曲線圖3-7可以看出兩軸的轉角差相當小,即使在兩軸夾角達到2oo時,輸入同輸出的最大轉角差也不到o.1o,所以在一定的程度上認為輸入、輸出轉角相同是有一定的道理的。且轉角隨兩軸夾角β的增大而增大,變化的頻率為一個回轉周期3次。
由曲線圖3-8可以看出,當輸入軸轉速恒定為9oo/s時,輸出軸的轉速變化也是相當的平緩,即使在兩軸夾角達到2o°時,其角速度變化的最大值也僅有o.4 o/s,所以在一定的程度上可以認為這種聯軸器是一種等角速聯軸器。角速度的變化頻率為一個回轉周期3次,在一個回轉周期內完全等速點有六次。且角速度差隨兩軸夾角β的增大而增大。
由曲線圖3-9可以看出,小桿沿滑道的位移隨兩軸夾角β的增大而增大,變化量也比較大,變化頻率為一個回轉周期1次。這可以作為三叉桿萬向聯軸器設計中,小桿長度的設計依據。
由曲線圖3-1o可以看出,小桿球面中心P沿軸頸位移是以尺寸R為回歸中心,隨兩軸夾角β的增大而增大,不過變化的范圍不是很大,在兩軸夾角達到2o°時,其變化量也不到5mm,相比小桿沿滑道的位移它的值要小得多。它的變化頻率為一個回轉周期2次。
由曲線圖3-11可以看出,小桿沿滑道的運動速度也具有周期性,它的變化頻率為一個回轉周期1次。曲線同正弦線有一點相似,但上下不對稱,隨兩軸夾角盧的增大其最大值增長較快,這一數值可以作為動力分析中摩擦計算的重要依據。
由曲線圖3-12可以看出,小桿球面中心P沿軸頸的線速度隨兩軸夾角β的增大其最大值增長也較快,它的變化頻率為一個回轉周期2次,曲線上下對稱這一數值可以作為動力分析中摩擦計算的重要依據。
由曲線圖3-13可以看出,小桿沿滑道的運動加速度其變化較為復雜,變化具有周期性,變化頻率為一個回轉周期1次。隨兩軸夾角β的增大其最大值增長較快,它的值可以作為動力分析和設計計算的重要依據。
由曲線圖3-14可以看出,小桿球面中心P沿軸頸的線加速度,變化頻率為一個回轉周期2次。隨兩軸夾角β的增大其最大值增長較快,它的值可以作為動力分析和設計計算的重要依據。