推桿減速器的效率計算與強度校核
推桿減速器的嚙合效率是衡量其性能的一個重要指標,而強度校核是確定其承載能力的主要依據。對它們的理論分析能否正確反應推桿減速器的實際情況,直接影響到推桿減速器優化設計的效果。
推桿減速器由于采用推桿這一特殊構件作為活齒,因而使得它在效率與強度計算方法上與其它活齒傳動機構有所不同。其特點是傳動圈導槽對推桿等效全反力的作用點及方向隨推桿工作位置的不同而發生的變化很大。因而與其它活齒傳動機構(例如滾柱活齒減速器)的效率計算方法是不同的。在已發表的有關推桿減速器效率計算的文獻中,都近似地把在外滾子與內齒圈之間作用力固定不變的情況下,無摩擦損失時與有摩擦損失時所需的驅動力或驅動力矩的比值作為嚙合效率。有的雖然考慮了驅動力矩,但同時又把有摩擦時的驅動力近似處理為通過內滾子中心。實際計算表明,這些近似處理方法所帶來的誤差是很大的。而且這些文獻只討論了單個推桿的嚙合效率。
本章詳細分析了推桿在不同情況下的受力狀態,考慮了慣性力的影響,嚴格按嚙合效率定義推導出了較為精確的總體嚙合效率計算公式,并利用計算機能夠進行大量復雜運算的特點,取機構在若干不同嚙合點位置時效率的平均值作為總的嚙合效率,計算結果與實驗數據基本相吻合。
3.1推桿在導槽內的運動分析
在推桿減速器中,動力的傳遞是靠運動著的推桿來完成的,推桿在工作行程中相對導槽的運動是變速的外推滑動,其速度ur可用內滾子中心01點的速度表示,如圖2.7所示。在前面已求得當傳動圈固定時,內滾子中心Ol點的位移為:

推桿在工作行程開始時,ι1值為最小,這時ιmin=Tb+Te-e,a1=0,
,
加速度方向同運動方向一致,即從內向外作加速運動。
推桿在工作行程結束位置,ι1達到最大值ιmin=Tb+Tz+e,此時a1=0,
=π,
=0,
加速度方向與運動方向相反,即作減速運動。
為求出
,命ar=0,可得:

聯立(3.4)式及(3.1)式,可求得ar=0時對應的
值,由此可得到該位置各運動參數的值,此時速度有最大值urmax。
[算例]
對于3TWY7.5-12推植減速器,Tb=55mm,Tz=10mm,ε=5mm,ι=36mm,ωJ=1500RPM,iJN=-11,計算出的ι1,
,ar與
的關系曲線如圖3.1所示。

3.2推桿受力分析
在第二章已把推桿減速器根據傳動圈是否與激波器轉向相同分為正反兩種結構。這兩種結構的受力狀態是不同的。下面先討論正向結構。
設激波器按順時針方向轉動,如圖3.2所示,則激波器迫使與其接觸的內滾子自身以逆時針方向轉動,在激波器與內滾子接觸點M1處,激波器轉動的弧長大于內滾子轉動的弧長,所以激波器對內滾子的摩擦力方向是沿切線方向向右,與激波器沿接觸點法線方向對內滾子的作用力一起組成全反作用力FJ。在外滾子與內齒圈接觸點風處,外滾子沿齒廓向齒根方向運動,內齒圈齒廓對外滾子的摩擦力方向為沿齒廓指向齒頂的切線方向,與內齒圈沿接觸點M2法線方向對外滾子的作用力一起組成全反力FN。
在傳動圈導槽與推桿的接觸處,受到傳動圈導槽對推桿的向下摩擦力,與沿法線方向的約束反力一起組成全反力FC。
圖3.2中的θ1、θ2 、θ3分別為激波器與內滾子之間、內齒圈齒廓與外滾子之間以及導槽與推桿之間的摩擦角。
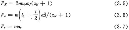
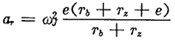
如上節所述,催件在隨傳圈作勻速運動的同時,還相對導槽作加速度為ar的加速運動。根據達朗伯原理,除了上述真實的作用力及約束反力外,再假想地加上慣性力的反力,這些力在形式上組成一個平衡力系。推桿所產生的慣性力由三部分組成:向心力Fω,相對慣性力Fr,科氏慣性力Fk,它們的作用點可看作是推桿的質心,其反力的方向如圖3.2所示,由理論力學知,它們的計算按下式:
式中m是推桿的質量。

3.2.1推桿單側受力的平衡方程
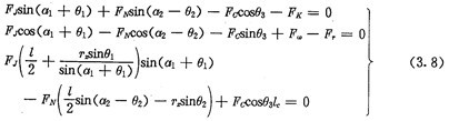
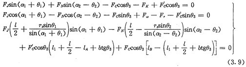
當FJ、FN二力的交點Q落在傳動圈所在環內(圖3.2所示),推桿呈現單側受力狀態(右側受力),對推桿質心取矩,可得如下平衡方程式:

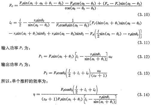
由于考慮了慣性力,所以力Fc 不通過交點Q,lc也是一個未知數。若根據輸入功率確定出FJ,則方程組(3.8)只剩下FN、FC及lc三個未知數了。
3.2.2推桿雙側受力的平衡方程
若傳動圈尺寸選用不當,或者是機構為反向結構,使FJ與FN作用力的交點Q 落在傳動圈所在環外(圖3.3所示)時,推桿呈現雙側受力狀態。生產實踐表明,推桿雙側受力將造成推桿嚴重的磨損。這種情況下推桿的受力與傳動圈外徑尺寸有關。對于圖3.3所示受力情況,對推桿質心取矩,可列出它的平衡方程式為:
3.2.3反向結構的受力分析
在傳動圈與激波器轉向相反的結構中,工作推桿的受力狀誠如圖3.4所示。從受力狀態圖可以看出,在運動過程中,推桿與導槽必然形成雙側接觸。推桿兩側將造成嚴重磨損,實際生產中,應避免使用反向結構。

3.3效率計算
3.3.1單個推桿的效率計算
從方程組(3.8)中消去FN得:
3.3.2整體效率計算
從上面單個推桿的效率計算公式可知,對應激波器的不同轉角,效率是不同的。實際上總有多個推桿同時工作,因而應求出整個機構的總體效率。
下面首先來分析驅動力在工作推桿上的分布規律。
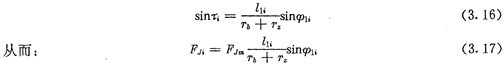
設傳動構件之間無間隙,并設激波器是完全剛性的。在驅動力矩作用下,各工作推桿的內滾子在與激波器接觸處產生法向彈性變形,使激波器轉過一個微小的角度△θ,如圖3.5所示,則可確定彈性變形量εi的分布規律。

設最大彈性變形量為ε,由圖3.5可知:


上式中:FJm為對應最大變形處的作用力;FJi為激波器對第i個推桿的作用力;τi為第i個推桿內滾子中心與激波器短軸所夾的圓心角。如圖3.2所示。
在任
一瞬間,各工作推桿所處的位置是不同的,設第i個工作推桿所對應的激波器轉角為,則:

由于相鄰兩推桿所夾的中心角為2π/ZC,在某一時刻,只要其中
一個工作推桿所對應的激波器位置角(激波器相對該推桿從初始工作位置轉過的角度)確定后,其它各工作推桿所對應的激波器位置角也隨之確定下來。設各工作推桿所對應的最小激波器位置角為
,如圖3.6所示,則從對應激波器位置角為
的這個工作推桿開始,順序第i個工作椎桿所應的激波器位置角為
:

這樣,一旦最小激波器位置角
被確定,各工作推桿所對應的激波器位置角
便隨之被確定下來,從而各嚙合點也被確定下來,稱最小激波器位置角
為嚙合點定位角,簡稱嚙合定位角。嚙合定位角
的取值范圍是:
0≤
<
類似方程組(3.8)的建立及求解,可得第i個工作推桿的Fci及lci,與式(3.10)及(3.11)類同。
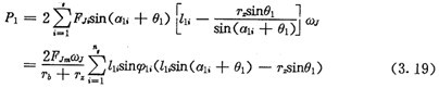
考慮到實際裝置為雙排結構,輸入功率P1可表示為:

為使表達式簡潔,本文下面在累加符號“
”后的式子中,各參量對應的下標i略去不寫,如ali只寫成al。

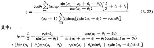
上述式中,ng表示工作推桿數。在沒有頂切,又不修形的理論情況下,工作推桿數ng為推桿總數的一半。實際上,由于齒廓修形等原因,實際工作推桿數ng比理論情況下要少。
計算時,先根據輸入功率P1及轉速ωJ由(3.19)式計算出FJm,然后對每一工作推桿由式(3.17)計算出FJi,由式(3.10)式及式(3.11)計算出Fci及lci,最后代入式(3.21)計算出效率η。
當不考慮慣性力時,只需令上述公式中的Fr,FK,Fω都等于零,這時公式為:

可見,在忽略慣性力影響的情況下,機構的嚙合效率與輸入功率、轉速都無關。
從式(3.22)或式(3.21)可知,機構的整體嚙合效率η與各工作推桿所對應的激波器位置角有關,而各工作推桿所對應的激波器位置角又可隨嚙合定位角
的確定被確定下來。因而,對指定的嚙合定位角
,由式(3.22)可計算得到唯一的數值,當
在其取值范圍內取不同值時,由式(3.22)所計算出的效率也略有不同。為此,將嚙合定位角的取值區域[0,2π/ZC] 平均分成50等分,分別用式(3.22)計算嚙合定位角取這50個位置的不同數值時機構的嚙合效率,然后取其平均值作為機構的總平均嚙合效率場,即

對交點Q落在傳動圈所在環外的情況,在方程組(3.9)中消去FN后,類似上述方法同樣可求得此時的效率計算公式。實際計算表明,這種情況效率較低,而且推桿受力狀態不好,將造成嚴重磨損。實際設計中應避免這種情況發生。因而在設計推桿減速器時,應正確選用傳動圈尺寸及其它各參數,以確保Q點任何時候都能落在傳動圈所在環內。
[算例]:
TW-3-16推桿減速器的參數是:Tb=50mm,Tz=6mm,e=3mm,l=22mm,ZN=15,ZC=16。
分析推桿減速器各嚙合副的形式可知,推桿與導槽是滑動摩擦接觸,激波器與內滾子可近似看作滾動摩擦接觸,而內齒圈與外滾子之間滾滑兩種成份都有。
由文獻查得滑動摩擦系數為0.05-0.1,而滾動摩阻系數k=0.01mm,由文獻可知滾動摩擦系數為k/Tz=0.0017。由于摩擦系數只是個參考數值,為了使計算結果更有實際意義,選用了三組不同摩擦系數的值,計算結果如表3.1所示。
表3.1選用不同摩擦角時嚙合效率的計算結果
θ1 θ2 θ3 ηP |
0.002 0.01 0.06 0.958
0.0025 0.015 0.07 0.951
0.003 0.02 0.08 0.946 |
設η機為推桿減速機的整體效率,ηZ為軸承效率,ηJ為工作時攪動潤滑油的功率損失,則應有:
η機=ηP·ηZ·ηJ (3.24)
由試驗知,η機=0.91,整機采用了4對軸承近似取ηZ=0.97,ηJ =0.98,由式(4.24)可得ηP=0.957。可見,實際嚙合效與理論計算基本相符合。
3.3.3構件尺寸對嚙合效率的影響
為了判斷推桿減速器構件尺寸對其效率的影響,對3TWY7.5-12推桿減速器,選用同一組摩擦系數,而改變某一基本構件尺寸,并假定傳動圈尺寸隨之改變以確保受力交點Q落在傳動圈所在環內,計算其嚙合效率,結果如圖3.7所示。
從圖3.7可以看出,嚙合效率隨著激波器偏心距e的增大而升高,隨著激波器半徑Tb、滾子半徑Tz、推桿長度l的增大而降低。其中偏心距。對效率的影響最為嚴重,推桿長度對效率的影響最小。
3.4強度校核
根據推桿減速器結構上的特點,強度校核應著重于各零件之間的接觸強度。由于激波器與內滾子之間以及內齒圈與外滾子之間不僅相互作用力大,而且是線接觸,因而這些零件是需要進行接觸強度校核的主要對象。在推桿與傳動圈導槽之間,由于接觸面積較大,故接觸應力不會太大。當零件所使用的材料及熱處理方式不同時,其許用接觸應力大小也不相同,因而對激波器與內滾子接觸處以及內齒圈與外滾子接觸處都應進行接觸應力的計算。
3.4.1激波器與內滾子之間的接觸應力
激波器與內滾子的接觸,顯然是兩個圓柱體的相壓接觸,由彈性力學可知,在接觸處產生的
最大接觸應力σHJ可由下面的赫茲應力公式來計算:

上式中:b為內滾子的工作長度。
Ed為當量彈性模量,
,由于E1和E1都是鋼材的彈性模量,所以Ed=E1=2.1×105
N/mm2
PJ為當量曲率半徑,PJ=
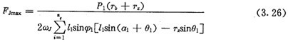
FJmax為激波器與內滾子之間的最大奪力,可近假用FJm來代替,由式(3.19)可得:

為求上式中的最大值,可將嚙合定位角
在其取值范圍內進行一維搜索。
[σ]HJ為激波器與內滾子所用材料的最小許用接觸應力。
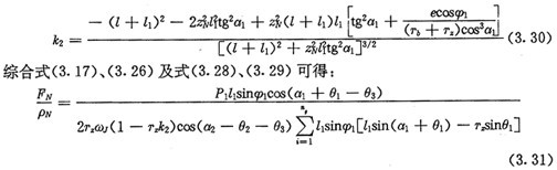
3.4.2內齒圈與外滾子之間的接觸應力
由于內齒圈齒廓上各接觸點都有對應的曲率,因此外滾子與內齒圈的接觸,可看作是兩個瞬時圓柱體的接觸,在對應于內齒圈齒廓的齒頂部分,相當于兩個圓柱體外接觸,在對應于內齒圈齒廓的齒根部分,相當于兩個圓柱體內接觸。由于內齒圈理論齒廓曲線上各點的曲率半徑不同,各點的作用力也不相等,因而在赫茲應力公式,需求出FN/PN的最大值,最大接觸應力σHN為:

上式中k2為外滾子中心軌跡的相對曲率,在齒頂部分其值為正,在齒根部分其值為負。

為求上式的最大值,首先給嚙合定位角
在其取值范圍內指定若干個離散點,對于
在每個離散點上的取值,都分別計算出各工作推桿所應的FN/PN,取其中最大者。然后把
取每個離散點時所對應的最大FN/PN再進行比較,可求得
。