內齒圈齒廓的加工及測量
4.1內齒圈齒廓的范成加工
目前,在推桿減速器的批量生產中,其內齒圈齒廓的加工采用的都是范成加工方法,加工的夾具及刀具的相對運動完全模擬減速器的運動。激波器的偏心距e由一個偏心軸的偏心距e來實現,激波器的半徑Tb與內滾子半徑Tz之和由偏心軸的幾何中心至固定點的距離R來實現,傳動比由掛輪的傳動比來實現,如圖4.1所示。
范成加工法具有快速、簡易、經濟的優點,其加式裝置可作為附件加裝在現有的滾齒機上。缺點是刀具必須完全與推桿外滾子直徑相同,而且對于推桿減速器的每一和中不同規格都要更換工裝,不利于產品系列化生產。盡管加工裝置本身可以調整得很精確,但常因刀具的磨損、進刀深度掌握不當,以及刀具軸線沿內齒圈徑向出現偏距等問題給被加工的齒圈帶來很大誤差。
4.2內齒圈齒廓的數控加工
內齒圈齒廓可用數控銑進行粗加工,用數控磨進行精加工。本節主要討論在Y54非圓摟控插齒機上的加工方法。
4.2.1Y54數控插齒機加工齒廓曲線的原理
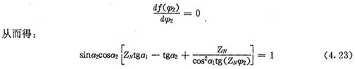
經Y54插齒機改造成的非圓數控加工機床,由X、C、D三軸聯動來實現對給定曲線的數控加工,如圖4.2所示,D軸是刀具的回轉中心軸,加工齒廓曲線時,采用圓形插刀,插刀一邊繞D軸旋轉,一邊沿D軸作上下往復運動。C 軸是工作臺回轉軸,被加工的工件加在工作臺上。沿X 軸的移動保證了沿齒深方向的進刀量。X軸始終在刀具回轉中心D軸及工作臺回轉中心C軸的連線上。這三個軸分別由被脈沖信號驅動的三個不同步進電機所帶動。根據被加工齒廓曲線的方程式,根據被加工齒廓曲線的方程式,可得出刀具中心軌跡方程,把它分解為沿X 軸方向的進刀及繞工件C軸的旋轉兩個分量,即可實現對齒廓的數控加工。
4.2.2刀具中心的軌跡
由上面可知,用數控加工齒廓時,應求出圓插刀中心的軌跡,它是被加工內齒圈齒廓曲線的內法向等距線,如圖4.3所示。圓插刀的半徑可不等于實際推桿減速器中滾子的半徑,只要刀具半徑Td小于內齒圈齒廓在齒根部的最小曲率半徑,在加工過程中不會發生切削干涉即可。對于激波器為偏心圓的推桿減速器,根據(2. 35)式,可得不發生切削干涉的條件為:
其中參數l
1、a
2與

關系為式(2.36)、(2.37)、(2.38)。
根據式(4.2)可算出數控插齒機所需的調整數據。
4.2.3數控編程
Y54數控插齒機的數控系統經改進后,可直接與普通微機進行連接,通過微機上的一塊接口電路板直接控制步進電機的驅動電路。因而,數控驅動程序可直接采用微機上的高級語言編制,其功能是將由刀具中心軌跡所得到的離散數據,經過一定的插補運算,變為驅動相應步進電機所需的脈沖數字信號,從而完成要求的加工任務。
提供給數控驅動程序的應是一組分別向x軸、C軸、D軸發出的脈沖數nz、nc、nD,由數控驅動程序對這組脈沖進行線性插補運算,從而把輸入廓形信息轉化成步進電機運動的脈沖串。其脈沖頻率由所要求的進給速度決定。
線性插補采用數值積分法(DDA),其特點是運行速度快,脈沖分配均勻,易于實現多軸運動及繪制各種函數曲線。具體實現方法是:
選擇位移量最大的軸為主導軸,即選取nz、nc、nD三個數中的最大值作為脈沖溢出基數nm,將nx、nc、nD分別向各自累加器中累加,每累加一次判斷各累加和是否大于溢出基值nm,若大于,則給該軸發一個脈沖,同時從該累加器中減去溢出基值nm,這樣主導軸每次迭代時必有一個脈沖輸出,其它兩軸只有在滿足條件時才有脈沖輸出,經nm次迭代后,各軸同時達到終點(向各軸發完各自的脈沖數)。
前面已求出加工內齒圈齒廓時刀具中心的軌跡方程,為了得到數控驅動程序所需的脈沖數據,還應將其曲線分成若干段,再求出每段中應分別向三個軸所發的脈沖數。
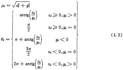
為此,首先應將式(4.2)化為極坐標形式
由于實際加工中是內齒圈繞其身中心軸(工作臺C軸)旋轉,而不是刀具繞C軸旋轉,恨具只是沿x軸來回移動。因而為形成式(4.3)所示的曲線,極徑Pd的變化由刀具沿x軸的變化來實現,極角θd的變化由內齒圈繞C軸的旋轉來實現。
在曲線上取若干點,對相鄰兩點間的每一區段,極徑和極角都有相應的增量△Pd及△θd轉換成相應的脈沖數nx及nc。對于y54數控插齒機,每個脈沖在x軸方向的進給量是0.004mm,在C軸及D上轉動的角度都是15",因而:
上式中假定θd的單位是弧度。
D軸的轉動只是為了使刀具磨損比較均勻,并不是形成內齒圈齒廓所必須的運動。
具體編程時還應注意脈沖的正負是否和所需的運轉方向一致以及加工時刀具的初始位置。
4.2.4機床調整
機床調整的適當與否,直接影響到被加工齒圈的質量。加工內齒圈齒廓時數控插齒機床的調整方法與在普通Y54插齒機上加工內齒輪的調整方法大致相同。特別注意以下兩點:
(1)內齒圈齒坯的安裝與找正
內齒圈齒廓的數控加工,是在齒圈外徑及兩端面都精加工后進行的,因此,應以端面及外徑作為定位基準。其夾具可做成螺釘壓板結構,如圖4.4所示。夾具內徑應盡量接近齒圈外徑,用千分表以夾具內圓為基準找正工作臺軸心。
內齒圈在推桿減速器的機座中是靠定位健來固定的。因而其外徑形有定位槽,裝配時兩個齒圈的定位槽應分別位于機座的左右兩側。為了使同一推桿減速器中兩個齒廓形狀完全相同的內齒圈能夠互成180°布置,在齒廓加工前,先在齒圈外徑上開槽,數控加工以此鍵槽為刀具定位基準。如圖4.4所示,為了便于找正,在制作夾具時相應定位鍵槽制作一個定位基準平面,通過千分表很容易使其與x軸平行。
(2)對刀
在數控加工過程中,刀具中心距(刀具中心離工件回轉中心的距離)反應的就是由式(4.3)所表示曲線極徑,而在對刀時,初始中心距與曲線初始極徑必須留有一定量的差距(一般為10mm~30mm),這段徑向差距留作數控加工一開始由刀具徑向進給來完成。因而所留差距量應與數控程序中的相應數據相符合。
徑向進給量要掌握適當,不能太大。齒坯一般為圓環形,為了不致使進給量過大,可分若干次進行加工,每次都可使用同一個數據文件,只需在每次對刀時,使刀具初始中心距作相應的增加。
與范成法相比,數控加工的優點是精度高,而且能做到使用同一把刀具加工不同規格的內齒圈齒廓,并能對刀具磨損進行補償。其缺點是對于進行熱處理后的精加工必須使用數控磨床。
4.3內齒圈齒廓的修形
4.3.1內齒圈齒廓修形的目標
由方程式(2.21)表示的內齒圈齒廓是無側隙的,即圓周上所有的推桿,不論是否處于工作狀態,都是和內齒圈齒廓相接觸的。為了使推桿減速器便于裝拆和保證良好的潤滑,實際的推桿減速器不能采用這種無隙嚙合的理論齒廓,而應采用有隙嚙合的修形齒廓。修形齒廓就是有意識地將理論齒廓進行微量修削后所得到的齒廓。對齒廓修形除了給嚙合傳動留有一定量的間隙外,更重要的是使傳動性能得到改善。所以修形齒廓的形狀和參數是內齒圈齒廓加工的一個重要問題。
內齒圈齒廓修形后應達到的理想狀態應該是:第一,齒廓頂、根部修形量要以避免齒頂、齒根部參于嚙合,減小由于制造、裝配誤差造成的嚙合沖擊,提高嚙合效率。第二,在齒廓中部修形量要小且盡可能均勻分布,并有較長的工作區,以保證有足夠的同時嚙合齒數,提高承載能力。第三,整個修形曲線要光滑,以保證機構運行平穩。
4.3.2參數增量修形法
由內齒圈的齒廓方程式可知,對內齒圈齒廓有影響的參數是推桿長度l,偏心圓激波器的半徑Tb,偏心距e以及滾子半徑TZ0在數控加工中,分別對每個參數給以不同的增量,則所形成的齒側間隙與范成加工中相應工藝數增量引起的齒側間隙相同。因而單獨對某個參數給以增量或同時給幾個參數增量的不同組合,用計算機進行大量的計算,得到各種不同形式的修形曲線及其規律,可供設計者選擇。

a.單一參數增量修形
等距修形:給參數T
Z一個增量△T
Z所得到的修形曲線是理論齒廓曲線的法向等距線。
移距修形:給參數l一個增量△1,或給參數T
b一個增量加△T
b,使被加工齒廓在原來理論情況下增加了一定量的進刀深度。
單獨使用偏心增量助時,會在齒頂段或齒根段產生過盈,故不宜采用。
可見單一參數增量法修形效果離前面提出的齒廓修形目標相差太遠,故常采用它們的組合修形。
b.等距移距修形
給參數Tz一負值增量(-△Tz),同時給參數l-正值增量△l,計算表明修形曲線形狀如圖4.6中虛線所示。修形曲線實現了在齒頂,齒根修形量較大的目標(圖4.6中的AB段及CD段),但要想在保持頂根修形量較大的前提下,在齒廓中段獲得較長的工作區BC段,無論如何調整參數增量-△Tz及△l,都很難達到較理想的效果。對于其它組合修形,也有同樣的問題。為此,需要研究一種更理想的修形方法。
4.3.3分段修形法
分段修形法是為了達到較理想的修形狀態而提出的一種能夠在數控加工中實現的齒廓修形方法。它根據修形后要達到的目標,將齒廓分成三段,如圖4.7所示,在工作段BC內只進行微量的等距修形,在齒頂段AB及齒根段CD內同時進行等距△Tz和移距△l增量函數修形。
a.齒廓中段的修形
齒廓中段修形的要求是有較小且均勻分布的法向間隙。給參數Tz增量△Tz,可以達到這個目的。此時中段BC修形后的齒廓方程為:
上式中l
1、a
2與

的關系仍為式(2.36)、(2.37)及(2.38),因為這些關系式中的T
Z為內滾子半徑,故不變。中段修形范圍是:
現在來證明齒頂修形曲線與中段修形曲線是光滑連接的。
第一,在

=

處,兩曲線連續。顯然,當

=

時,l
a=l,a
2a=a
2,此時方程(4.8)就變成了方程(4.6)。
第二,在

=

處,兩曲線有相同的切線。設齒頂段修形曲線的切線斜率為k
a,則由式(4.8)可得:
中段修形曲線的切線斜率km可由(4.6)式求得:
顯然在

=

時,有k
a=k
m,即齒頂修形曲線與中段修形曲線光滑連接。
c.齒根段的修形
給定齒根修形角

和徑向最大修形量△l
f,選擇移距增量函數:
同樣可以證明,齒根修形曲線與中段修形曲線也是光滑連接的。
4.3.4修形對工作推桿數的影響
內齒圈齒廓修形之后,由于工作區域角的減小,使同時參加工作的推桿數也會有所減少。相鄰兩推桿之間的中心角為

,而一個齒所對應的中心角為

,

與

之差體現了相鄰兩個推桿相對所在齒廓初始位置的差異,記△

=

-

,稱△

為位置差角,如圖4.8所示。從圖可知,工作推桿的數目等于推桿工作區域角與△

的比值。推桿工作區域角指推桿從嚙合傳力開始到結束時推動傳動圈轉過的角度。在不修形的理論情況下,推桿工作區域角是

,經修形后,頂根段不參與嚙合,工作區域角為“θ=

,所以實際工作推桿數n
g為:
顯然,未經修形的齒廓曲線在齒頂鄰域和齒根鄰域嚙合的壓力角都很小,因而分段修形后應將頂、根部大致削去相同的區段。即
、

仰的分配應根據各自所對應的頂根段曲線弧長相等的原則來進行。一般可近似取

為

的2到4倍,而取△l
f=esin

。
[計算實例]:
對于TW-3-16推桿減速器,要求內齒圈齒廓經修形后同時工作的推桿數ng不少于5,按上述方法確定的修形量為:
取

,則

=3°,

,△l
a=0.36mm選擇△T
Z=0.19mm,將齒廓分段修形后,機器性能得到了明顯改善。
4.4內齒圈齒廓的公法線測量及加工精度控制
目前在推桿減速器的大批量生產中,對內齒圈齒廓的加工所采用的還都是范成加工方法,其測量手段長期以來一直沒能得到很好的解決。一些生產廠家主要是利用測量齒根至齒圈外圓的厚度及齒頂至齒圈外圓的厚度來確定被加工齒廓的合格與否。這種方法并沒有能夠完全反應出內齒圈齒廓在加工過程中所產生的誤差,它僅斃反應出偏心距的誤差。公法線測量法是以預先計算出的公法線理論長度為依據,根據測量的結果,能夠判斷出加工過程中影響內齒圈齒廓加工精度的各個控制參數所產生的誤差,從而對這些參數進行調整,使之達到要求的精度。
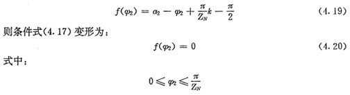
4.4.1公法線的長度計算
如圖4.9 所示,AB是其中一個齒槽的一側齒廓,A′B′是跨槽數為K(圖中k=4)的一個齒梢的另一側齒廓,它們是兩個性質不同的齒廓。若把AB看成是工作齒廓,則A′B′是非工作齒廓。選擇圖4.9所示的坐標系,讓坐標原點O與內齒圈幾何中心重合,y軸與OA重合。設P(x,y)為AB齒廓上的一點,在P點與內齒圈齒廓相接觸的外滾子的位置角為

,在A′B′上取P點的對應點P′,使∠A′OO
2=

,P′點與P點是關于∠AOA′的平分線完全對稱的,即0P′=OP,a
2=

,OO
1=00
2,圖4.9中PO
1與P′O
2相交在Q點,它們并不共線,因此P′點與P點不具有共同的法線。假設隨著P點位置的改變(當然P′點也隨著P的改變而改變),使PO
1與P′O
2在同一條直線上,此時P′與P就有共同的法線,此時:
上式就是齒廓AB上與跨槽數為k的齒廓具有公法線的點的條件。當k確定后,若存在公法線,則由(4.17)式并結合基本關系式(2.38)等可解出

的值來。
從圖4.9可求得公法線長度為:
Wk=2(l1+l)cosa2+2rz (4.18)
式中l
1、a
2與

的關系由基本關系式所確定。顯然,兩個齒槽的同側齒廓(同為工作齒廓或非工作齒廓)是不存在公法線的。
4.4.2公法線的數目
由于內齒圈齒廓曲線具有周期性且工作齒廓與非工作齒廓是完全對稱的,所以只需討論一個齒槽的一側齒廓與其它齒槽的另一側齒廓所具有的公法線。
令:
內齒圈的齒數Z
N可以是奇數,也可以是偶數(實際產品都是奇數)。為了討論問題的方便,引用截斷取整符號“INT”,當Z
N為偶數時,INT

等于

,當Z
N為奇數時,INT

等于

,由函數式(4.19)可得:
下面就來講議化跨槽數k取不同數值時,具有的公法線情況:
(1)跨槽數k≤INT

的情況
由(4.12)式及(4.22)式知,若Z
N為奇當選,有f(0)<0,f

<0;若Z
N為偶數,有f(0)<0,f

<0,因而不論Z
N是奇數還是偶數,方程(4.20)在區間[0,

]內若有解,則必為兩個。為找出函數f(

)在區間[0,

]內的極大點,令
由上式結合基本關系式,利用計算機可解出

在區間[0,

]內f(

)的極大點。顯然,若極大值為正,則公法線有兩條,若極大值為負,則公法線不存在。分析計算還表明,在極大點前,函數f(

)單調增加,在極大點后,函數f(

)單調減小。一般極大點接近

,為討論方便,選

=

作特征點,代替極大點討論,經計算證實,不會影響解的正確性。假若f(

) >0,則在[0,

]內必有兩個點滿足方程(4.20),這兩個點對應的

值分別位于[0,

],(

,

之內。結合圖4.9可知,位于[0,

]內的點,其公線是凸齒公線,而位于(

,

公法線凹齒公線。凸齒公線是被測兩個齒廓上最短的連線,凹齒公法線是被測兩個齒廓上最長的連線。這使得實際測量成為可行。假若f(

)<0,則公法線不存在。
則當跨槽數k<k
0時,兩齒廓不存在公法線。當INT

≥k>k
0時,兩齒廓具有凸凹兩條公法線。
故方程(4.20)只在區間(

,

內有解,即兩齒廓只有一條凹齒公法線。
當Z
N為偶數時,有f(0)>0,

,故兩齒廓也只有一條凹齒公法線,且位于

=

把跨槽數k取到k
0到INT(

) +1之間不同整數值時所具有的公法線合在一起就是內齒圈齒廓所具有的各種不同長度的公法線總數。
[算例]
對于前面提到的3TWY7.5-12推桿減速器,齒數ZN=11,計算得到k0=4,即當跨槽數k小于等于4時,兩齒郭不具有公法線。當跨槽數k=5時,計算得到兩條公法線,理論長度分別為:
凸齒公法線 W
51=209.632mm,對應于

=1.755°
凹齒公法線 W
52=215.716mm,對應于

=12.485°
當跨槽數k=6時,計算得出只有 條凹齒公法線
W
63=230.146mm,對應于

=15.205°
合起來,此推桿減速器的內齒圈齒廓共有三條不同長度的公法線,它們的位置如圖4.10所示。
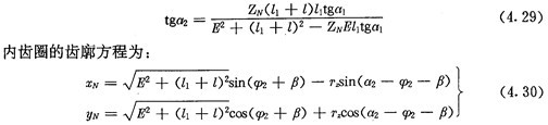
4.4.3刀具軸線有偏距時的內齒廓及公法線
用圓柱形刀具加工內齒圈齒廓時,刀具軸線應在齒圈的半徑方向作相對運動,如果它不沿著齒圈半徑方向運動,那就有了偏距。在圖4.11中,若刀具中心的運動方向平行于y軸,而刀具中心在O2處,那就有了偏距E,現在來分析此時加工出來的齒廓及公法線長度,
同圖4.11可得:
利用第二章中推導內外滾子工作角關系的方法可得a2與a1的關系為:
經過分析可知,當存在偏距E時,在跨槽數為k的兩齒廓上具有公法線的點的條件仍然可用式(4.17)表示,公法線長度為:
若令(4.30)式和(4.31)式中的E=0,得到的就是無偏距時的內齒圈齒廓理論方程式(2.21)及公法線長度(4.18)式。
4.4.4利用公法線誤差分析加工調整參數誤差
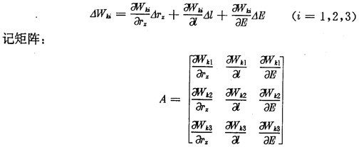
由齒廓方程式(4.30)可以知道,齒廓形狀取決于偏心軸的偏心距e,偏心軸幾何中心到固定點長度R,刀具半徑TZ,進刀深度l以及刀具軸線偏距E。e和R是夾具結構上的固定尺寸,應該調整得盡量正確,而其誤差加△e、△R也是個定值。而△TZ是由于刀具制造誤差及加工過程中的磨損引起,△l及△E是由于操作誤差引起。因此,△TZ、△l及△E是導致齒形誤差的工藝因素。下面來分析它們對公法線長度的影響。
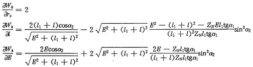
把公法線長度Wk看成是自變量為TZ、l及E的函數,即Wk=Wk(TZ,l,E),由(4.31)式可得:
假設用下標i表示公法線序號,用△Wki表示第i條公法線實際測量出的值與理論計算出的值的誤差,則可得到公法線長度誤差方程為:
則:
上式中A-1是矩陣A的逆陣,稱誤差矩陣。當算得相應的偏導數值后,如果測得一個齒槽的一側齒廓與其它齒廓的三條公法線的誤差,代入方程組(4.32)之后,便可求得相應的△TZ、△l和△E。△TZ是經計算得到的刀具半徑的誤差,△l是進刀深度誤差,△E是刀具軸線偏心距的誤差,根據計算結果適當調整這些參數就能迅速地提高齒廓精度,使之達到精度要求。
[計算實例〕
前面所說的3TWT7.5-12推桿減速器,根據參數可計算得到其誤差矩陣A-1為:
在一個內齒圈齒廓上實際測得三條公法線的長度與理論長度的誤差為:
△W51=0.02261mm
△W52=0.03806mm
△W63=0.02106mm
代入式(4.32)可得:
△TZ=0.0202mm,△l=0.032mm,△E=0.1697mm
根據計算結果適當調整這些參數就能迅速提高齒廓精度,使之達到精度要求。