推桿減速器的優化設計及CAD系統
為了提高推桿減速器的設計質量和效率,減小設計人員的勞動強度,有利于形成產品系列化,我們研制了一個實用的推桿減速器CAD系統。使用本系統不僅能夠對推桿減速器進行優化設計,使構件設計合理,產品性能得到改善。而且能對機構運行狀態進行動態仿真,繪制圖紙,形成內齒圈齒廓的數控加工數據,并可直接控制數控插齒機床完成對內齒圈齒廓的數控加工。
5.1優化設計變量和目標函數
5.1.1優化設計變量
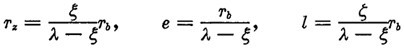
推桿減速器中內齒圈齒廓的形狀是決定機構性能的主要因素,從齒廓方程可知,推桿減速器的基本設計變量是:激波器半徑T
b、偏心距e,滾子半徑T
z以及推桿長度l。為了使各設計變量相對取值合理,引用傳動參數

,ξ、ζ來表示設計變量之間的關系,它們分別叫做激波系數,滾子系數,桿長系數。記作:
5.1.2目標函數
根據對推桿減速器的不同使用要求,其優化設計可選取不同的目標函數,本文選取理論嚙合效率極大作為優化設計的目標函數。推桿減速器一般工作在輸入轉速為1500轉/分左右的情況下,這時慣性力對嚙合效經的影響可忽略,將傳動參數代入前面的效率計算公式(3.22)中,可得:
式中:
可見,忽略慣性力后,理論傳動效率完全由傳動參數和內齒圈齒數ZN所確定。
將式(5.3)代入到式(3.23)中,得到的就是優化設計的目標函數。
5.2 優化設計變量初值的確定
優化設計變量的初始數值主要是根據機構的接觸強度要求來選取。由于摩擦角一般很小,對計算接觸應力的影響不大,所以將其忽略。這時,前述的計算接觸應力的公式可以得到大大簡化。
用T1表示機構輸入扭矩,忽略摩擦角后,式(3.26)變為:
求上式表達的最小值,就是將嚙合定位角

在其取值范圍內進行一維搜索,以獲得最小結果。從而:
用Bb表示滾柱的工作長度b與直徑的比值,則:
b=2TZBb (5.6)
Bb的值通常在1和2之間。
將式(5.5)與(5.6)代入式(3.25)并整理后可得:
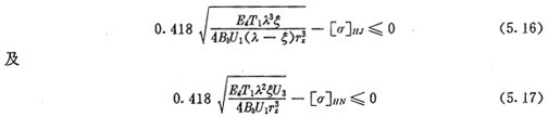
由上式,可根據激波器與內滾子的許用接觸應圖[σ]HJ來確定激波器半徑的取值范圍。
將傳動參數代入式(3.30)中,并令:
則外滾子中心軌跡的曲率k2可表示為:
上式中最大值的求法,也是以嚙合定位角為變量,在其取值范圍內進行一維搜索,從而求得極大值,由此可得如下的表示式:
上式為根據內齒圈與外滾子的許用接觸應力所確定的激波器半徑的取值范圍。顯然激波器半徑Tb的取值應同時滿足式(5.9)及式(5.14)的要求。
根據對現有推桿減速器的統計分析,可獲得傳動參數的取值范圍。在此范圍內,指定一組傳動參數的值,取同時滿足式(5.9)及式(5.14)的Tb作為激波器半徑,于量:
這組數據可用于優化設計變量初值。
5.3約束條件
約束條件主要包括以下幾個方面:
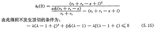
(1)頂切的限制
當有頂切現象發生時,推桿的工作區域角將減小,從而導致實際工作推桿數的減小,使接觸應力增大,工作不平穩。前已指出,當外滾子中心軌跡曲線在齒頂處的曲率半徑小理滾子半徑時,將發生頂切。在對應齒頂處,激波器轉角

,將其代入式(3.30),可得外滾子中心軌跡曲線在齒頂處的曲率半徑k
2(0)為:
經計算可知,有頂切發生時,使效率隨之有所增高,所以要進一步提高嚙合效率,可去掉此限制條件。
(2)滿足強度條件
根據前面的分析,強度的約束條件可表示為:
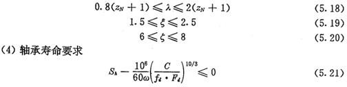
(3)傳動參數取值范圍
根據對現有推桿減速器的統計分析,表明傳動參數的取值范圍通常是:
式中:Sh為軸承許用工作壽命,一般可取5000小時;ω為軸承轉速(轉/分);C為客定動載荷(N),可由軸承查得;fd為動載荷系數,可取fd=1.2~1.4;Fd為軸承所擔負的動載荷:
將式(3.16)及式(3.17)代入上式,并整理可得:
將嚙合定位角

在其取值范圍內進行一維搜索,可求得軸承所擔負的最大動載荷。優化計算過程中,應以最大動載荷代入式(5.21)中的F
d。
5.4優化設計方法步驟
本系統采用的優化設計方法是罰函數法,由于約束函數均為不等式約束,故采用內點法構造懲罰項,即對目標函數F(X)和約束函數Gj(X)≤0 ,構造如下的的罰函數:

(5.24)
并使用鮑威爾(POWELL)法求P(X,T(k))的無約束極小點。
從前面的數學模型可以看出,盡管效率的計算只與傳動參數有關,但接觸應力的計算卻要用到實際的設計變量,傳動參數僅反應了設計變量的相互關系,并不能代替設計變量進行優化。
由于激波器一般使用通用軸承,所以激波器半徑Tb應結合軸承標準來選擇。在程序中,先給各傳動參數指定其取值范圍的中間數值,然后根據接觸應力計算,確定滿足強度條件的最小激波器半徑,由軸承檢索程序,確定若干個可行的激波器半徑。在確定可行的激波器半徑時,為了使減速器外徑尺寸不致過大,僅把與應力計算結果相近的軸承半徑及其相鄰型號半徑作為可行的激波器半徑。對每一個可行的激器半徑Tb,調用優化子程序以TZ,e,l為優化變量進行優化處理。其算法流程如圖5.1所示。
[ 算例]
已知推桿減速器的驅動功率P1=7.5KW,轉速ωJ=1500 轉/分,傳動比iJc=12,[σ]HJ=850N/mm2,[σ]HN850N/mm2,并假定θ1=0.003 弧度,θ2=θ3=0.012弧度,試優化設計該推桿減速器。
程序中首先應求出內齒圈齒數ZN及輸入扭矩T1,假設該減速器按正向結構設計,則:
ZN=iJc-1=11
T
1=

選Bb1.5,指定 =18,ξ=2,ζ=7。
根據接觸應力計算,求得的激波器半徑取值范圍是Tb≥49.5mm,檢索中窄系列軸承表,選取2個可行的軸承型號,半徑分別為50mm及55mm,優化圓整后的結果列于表5.1
表5.1 兩個軸承型號對應的不同優化結果
|
Tb(mm) e(mm) Tz(mm) l(mm) η |
|
第一組 50 4.8 8.5 33.4 0.93
第二組 55 5.7 10.5 35.5 0.96 |
顯然使用第二組參數效率最高,但若考慮使機構尺寸較小,應選第一組參數。
5.5 CAD系統的構成及功能
5.5.1硬件組成
本系統是在一臺微型計算機super/386基礎上,增加一塊選進的圖形卡,一臺高分辨率顯示器,數控接口電路及相應設備,組成了一個微機工作站,如圖5.2所示。
微機內存4兆,硬秀120兆,并配有80387協處理器,為產生副真的三維圖形顯示,系統選用了目前先進的AT2000圖形卡,該卡以TMS34020作為圖形處理芯片,幀緩沖存貯器為4兆,支持11種顯示模式,并配有一臺NEC-5D高分辨圖形顯示器,分辨率為1280×1024,系統采用雙屏工作方式,微機上原配的VGA顯示器用于中文菜單顯示及人機對話,護充的圖形卡用地真實感三難圖形的顯示及工程繪圖。該系統還能直接控制數控插齒機進行內齒圈齒廓的加工。
5.5.2軟件功能模塊設計
軟件主要由分析設計、圖形管理、數據庫管理及摟控加工四大部分組成,并提供了一個友好的人機交互接口界面用于實現漢字人機對話。本交互接口由三級推拉彈出式菜單組成。軟件模塊結構如圖5.3所示。各大模塊的主要功能及特點如下:
(1)分析設計模塊
可根據要求進行常規設計或優化設計。能進行機構的嚙合效率、受力、強度等計算,并根據需要檢索數據庫中相關的數據。由指定的數學模型,對機構進行優化設計。
(2)圖形管理模塊
系統使用特殊需要重點研制和現有Autocad繪圖軟件相結合的辦法來實現推桿減速器的圖形管理。工程繪圖部分使用Autocad/12.0版軟件,主要用于各種零部件加工圖及裝配圖的生成,以及進行相應的尺寸標注。對有些圖形,其數據來自婦高級語言組成的計算程序,本系統特別研制了一個用于Autocad接口的處理程序,在使用Autocad的過程中,這個處理程序隨時可被調用,按指定參數將計算執行后的數據轉換成Autocad可接受的數據。對于動態圖形顯示,由于Autocad系統汗銷大,生成圖形速度慢,本系統采用直接用口語言調用AT2000 圖形卡作圖源語的辦法來實現。其中幾何建模使用結構立體幾何(CSG)表示模式,光照模型采用Phone模型,圖5.4所示三維圖形就是本系統根據推桿減速器實際參數生成的。
(3)數據庫管理模塊
在推桿減速器的設計過程中,要翻閱許多手冊,資料及有關曲線表格,以獲取設計或校核時所需的各種參數。例如常用鋼材熱處理后的硬度,許用接觸強度,常用滾動軸承參數表等,將這些常用的工程數據以文件的方式預先存入計算機中,在設計時由計算機按相關信息進行檢索,靈活、方便地加以調用。
建立公共的數據段,將表格和曲線圖轉化為相關聯的結構,使資料的信息交渙更加方便。數據庫管理模塊使用網狀關系結構模式,其數據可以按任意方式連妾,具有能修改及補充動態模式,存貯圖形及相關信息,對結構進行存貯等功能。
(4)數控加工模塊
校核所指定的刀具是否在數控加工過程中會發生切削干涉,并根據優化設計結果和所選用的刀具生成加工內齒圈齒廓時所需的數據文件。由數控驅動程序控制Y54數控插齒機完成內齒圈齒廓的加工。
5.6動態圖形仿真
5.6.1圖形仿真在本系統中的作用
隨著計算機技術的發展及圖形設備的不斷更新,圖形仿真已顯示出越來越大的效益和作用。在CAD中,圖形仿真尤為重要,如果能通過計算機自動分析,實現設計、制造過程中的動態仿真,人們就不僅能根據數據進行判斷,而且能在顯示設備的屏幕上觀察設計和制造過程中幾何形體的動態變化。通過仿真,可進行干涉檢查,確定初始設計邊界條件。在本系統中,動態圖形仿真主要用于機構運動仿真,零件裝配仿真及數控加工仿真。
對于新設計出的運動機構,動態圖形仿真能使設計者觀察其運轉是否正常,運轉過程中是否有干涉現象,以及外觀形狀的好壞,達到直觀判斷的目的,成為確定是否改進設計的一個依據。
在內齒圈齒廓的數控加工中,通過對刀具中心軌跡的計算便得到了數控加工所需的數據,為了確保計算所得到的數據能加工出合格的零件,避免以往反復試切的工序,只需用計算機進行數控加工仿真。數控加工仿真就是把零件模型,刀具外形、刀具中心軌跡在屏幕上顯示出來,模擬數控的動態加工過程。通過數控加工仿真,可檢查刀具中心軌跡是否正確,加工過程是否有過切現象,是否有干涉及碰撞,進退刀具是否合理等。
5.6.2動態圖形仿真的主要實現技術
動態圖形仿真是指屏幕上顯示出來的畫面或其中的一部分,能按一定的規則及要求在屏幕上移動或變化,從而使計算機屏幕上顯示出來的圖象或圖形為動態變化的技術。進行動態圖形仿真的方法很多,最常用的有兩種,即實時動畫和幀動畫。
實時動畫是在動畫開始時繪制圖象,對計算機運算速度和數據處理能力要求很高,如果計算機處理速度跟不上,效果很差。而幀動畫則是先把每一幅圖形提前完成并存貯起來,然后再連續地顯示它,達到動畫的目的,這種方法可產生較好的動畫效果,但需要大容量的存貯器。
在本系統中,數控加工仿真采用的是實時動畫技術,這是因為內齒圈齒廓曲線實際上是一條平面曲線,數控加工仿真可用一個平面圖形完成,其動態仿真可失得良好效果。而對于機構運動仿真及零部件裝配仿真使用的是幀動畫技術,因為它們是平面復雜圖形或三維圖形,機構運轉狀態的任一微小變化都必須經過大量的計算,生成一幅圖形需要較長時間,為了達到動畫的目的,就必須采用幀動畫,預先把處理好的圖形存貯起來,仿真時連續不斷地調用它。在調用的過程中,所要處理的圖形信息量也很大,要達到良好的視覺效果,必須采用快速的算法和傳送數據的快速途徑。
為了在微型計算機上達到滿意的動態模擬效果,系統中采用了如下幾種措旋:
(1)利用系統內存來存貯圖形,內存數據的處理品比其它介質快得多。把存貯在磁盤文件上的圖形數據讀到內存中指定的位置,以供顯示時調用。
(2)用C語言直接調用AT2000圖形卡作圖源語,并用匯編語言實現數據的傳送,由于匯編語言程序的執行代碼簡單,運行速度快,從而增強了動態效果。
(3)控制圖象的數據格式,將一些反復用到的格式數據放在圖形數據的前面,節省了檢索和計算的時間。
通過以上措施,使本系統的動態仿真獲得了較為滿意的效果。