三環減速機的力學分析
2.1引言
三環減速機由于其原理的獨特性,引起了人們的廣泛關注。為了便于進一步研究這種傳動形式,解決實際應用中的各種問題,因此有必要對這種新型傳動形式的受力情況進行研究。本章主要求解本文提出的兩級三環減速機的二級少齒差傳動部分的受力。三環減速機采用三相并列平行雙曲柄機構-一種自由度小于1的過約束機構,屬于超靜定問題,機構受力無法用平面剛體力學方法完全確定,必須建立變形協調條件補充受力方程,才能求解機構受力。為此,本章首先進行了三環減速機的運動分析和機構分析,然后根據結構力學求解超靜定問題的位移法,結合三環減速機的傳動特性,提出了相應的變形協調條件,建立了對稱A型、對稱B型、偏置型三環減速機和星型減速機內齒環板的受力分析模型,分別求解四種形式機構的受力,并且分析比較了在相同的傳動技術參數條件下,不同形式的三環減速機的受力性能。
2.2三環減速機的基本原理及機構分析
2.2.1三環減速機的基本原理
三環減速機是在普通減速機技術的基礎上,為適應現代機械設備對傳動機構的要求而開發的一種新型傳動裝置。三環減速機的基本結構如圖2一1所示,a)是對稱型三環減速機傳動,b)是偏置型三環減速機傳動。它由兩根高速偏心輸入軸1、低速輸出軸2、三片內齒環板3和輸出外齒輪4構成。三片內齒環板3偏心安裝在兩根高速輸入軸1上,為了平衡內齒環板的慣性力和慣性力偶矩,兩側環板與中間環板偏心之間的相位差為180°,且中間環板的厚度為兩側環板厚度的兩倍,它們都與外齒輪4相嚙合。外齒輪4安裝在低速輸出軸2上,各軸均平行配置,可以單獨或同時傳輸動力。在本文研究的三環減速機中,為了克服死點及降低高速偏心軸的轉速,采用兩級傳動實現雙軸驅動,帶動三片內齒環板作曲線平動,每片內齒環板都相當于一相平行四邊形雙曲柄機構的連桿,環板上每一點的軌跡都都是以偏心軸的偏心距為半徑的圓。兩側環板與中間環板以1800圓心角的間隔與外齒輪相嚙合,形成大速比,通過輸出軸傳遞運動和轉矩。
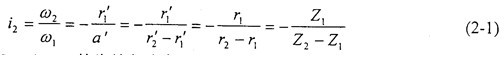
2.2.2三環減速機的傳動比計算
三環減速機是在N型少齒差行星傳動的基礎上形成的新型內齒行星傳動裝置,它是將N型少齒差行星傳動的中心內齒輪改作行星輪,將行星外齒輪改作中心輪而形成的新型行星傳動裝置。如圖2-2所示,P點為行星傳動內、外齒輪瞬時嚙合節點,所以有:v
P1=v
P2,假定速度以圖中向右方向為正方向。外齒輪作以O
1為圓心的轉動,故有V
P1=ω
1
,由于內齒輪作平動,所以有:V
P2=V
O2=-ω
2a′,則三環減速機的傳動比為:
式中ω
1,Z
1,

,r
1——外齒輪角速度,齒數,節圓半徑,分度圓半徑;
ω
2,Z
2,

,r
2——轉臂(雙曲柄)角速度,齒數,節圓半徑,分度圓半徑;
a′——內齒行星輪、外齒輪的中心距。
從公式(2-1)中可以看出,三環減速機二級傳動部分輸入軸與輸出軸轉動方向相反且傳動比i2的大小受力、外齒數差的直接影響。當Z2-Z1=1時,二級傳動比與外齒輪子齒數Z1相等。
對于圖1-7所示的兩級三環減速機的總傳動比i為:
i=i1·i2
式中i
1為一級傳動傳動比,

。
2.3三環減速機的力學分析
2.3.1內齒環板和轉臂偏心軸承的慣性力分析
三環減速機的精確受力分析是指導三環減速機設計的基礎,采用類比和估算設計制造出的產品存在諸多問題。為此,本章將對三環減速機的受力分析進行深入的研究,并且探討三環減速機傳動機理。選取內齒環板為受力分析對象,它受有重力Gi、慣性力Pi和嚙合力Fni,其中嚙合力Fni是主要的受力形式。考慮到三環減速機內齒環板的轉速較高,且其質量較大,故在力學分析中必須將內齒環板的慣性力和重力考慮在內。首先分析內齒環板的慣性力,參考如圖2-3所示的對稱A型三環減速機內齒環板的受力分析圖,假設內齒環板的質量為mi,轉臂軸承的質量為miH,內齒環板的質心在O點,兩轉臂偏心軸的質心分別在Ai和Bi點,轉臂的轉速為nH。r2、rb2分別為內齒輪2的分度圓半徑和基圓半徑,e為轉臂偏心距,即內、外齒輪的實際中心距。內齒輪2的齒數為Z2,外齒輪的齒數為Z1,m為齒輪模數。因內齒環板做平動,則n2=0,其質心O以轉速nH轉動,軌跡是以e為半徑的圓,則
轉臂偏心軸承的慣性力為:
2.3.2三環減速機的變形協調條件
三環減速機采用三相并列平行雙曲柄機構作為輸入機構,多相并列平行雙曲柄機構如圖2-4所示,設其并列相數為n,多相平行雙曲柄機構分別為A1B1C1D1、A2B2C2D2、……AnBnCnDn,F1、F2分別為兩根曲柄軸上的力矩;T1、T2分別為兩根曲柄軸上的力矩:P1、P2、……Pn分別為平行雙曲柄機構連桿上的力,M1、M2、……Mn分別為各連桿即內齒環板上的力矩。按機構自由度分析方法,其自由度為:F=2-n,機構中所含的虛約束數為x=n-1。所以,三環減速機的機構自由度為:F=-1,機構中的虛約束為x=2。三環減速機運動鏈不滿足靜定條件,用一般平面剛體力學分析方法無法完全求得機構的受力。目前只能采用類比設計或借助于十分粗略的模型進行受力分析,由此造成品性能不穩定,減速機使用過程中常出現發熱、振動噪聲大、軸承早期損壞等現象,嚴重制約了這種傳動形式的進一步發展。分析其原因,主要有:1.沒有弄清各零部件之間的力學關系,使得設計參數選擇不合理;2.各零部件受力后的變形,使機構物件受力更為復雜。為此需要考慮各構件的變形,建立變形協調條件作為補充方程。
首先分析三環減速機傳動機構變形,三環減速機傳動機構的主要變形有各構件的接觸變形、軸的扭轉彎曲變形、環板的拉壓變形等等。根據位移變形分析可知,軸的變曲變形和環板的拉壓變形是主要的變形形式。本文研究的環板間相位差為180°的完全平衡、均載減振兩級三環減速機HITSH145的環板結構如圖2-5所示。
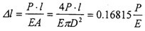
對于環板,為了計算簡單,將其簡化為等截面桿處理。在圖2-5所示的坐標系下,環板拉壓變形部分的面積為曲多邊形CDEFGH的面積SCDEFGH的4倍,即S=4SCDEFGH。取環板的寬度b1=19mm,SCDEFGH進行積分運算,由環板簡化前后體積相等的原則,可得環板簡化為等截面桿的直徑D=46.86mm。
由于環板截面的變化沒有突變,加之最小截面處直徑與D相差無幾,因此可把變截面桿的拉壓主形按等截面桿來處理。假定環板所受x方向的截荷為P,則環板在x方向的拉壓變形△l為:
式中E——材料的彈性模量,本文中取為2.06×1011N/m2(下同)。
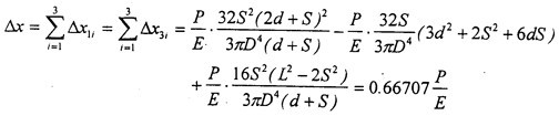
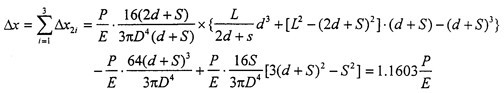
對于三環減速機輸入軸來說,結構及受載情況如圖2-6所示,其中軸有效長度L=116mm,d=30.5mm,S=27.5mm,輸入軸直徑D=25mm,如果環板所受載荷為P,則兩側環板處輸入軸在x方向的撓度△x為三個撓度的疊加:
中間環板處輸入軸在x方向的撓度△x為三個撓度的疊加:
由于

4-7,所以三環傳動中,輸入軸的彎曲變形是主要變形,環板拉壓變形也同樣不可忽略。參考如圖2-3所示的對稱A型環板的受力情況,環板和輸入軸在y方向的變形是二次微小量,可以略去不計。考慮環板和輸入軸在x方向的變形,任一環板可以簡化為三段不同直徑的桿,在x方向上分別受到F
Aix、F
Bix、嚙合力F
ni水平分力和慣性力P
i水平分力的拉伸或壓縮作用;對于輸入軸來說,在輸入軸上任一環板處A
i(B
i),輸入軸在x方向的撓度△x為偏心軸頸上環板軸承的作用力F
A1x,F
A2x, F
A3x(F
B1x,F
B2x, F
B3x)在A
i(B
i)點作用的撓度△x
Ai(Bi)的疊加。則三環減速機變形協調條件取為:在外力作用下,任一環板處兩個輸入軸在x方向的撓度的差等于該環板在x方向的變形。上述變形協調條件表示為:
式中△xAi——在一輸入軸上環板處Ai點的由于力FAjx作用的撓度(j=l,2,3);
△xBi——在另一輸入軸上環板處Bi點的由于FBjx力作用的撓度(j=1,2,3);
△li——對應于AjBj的一塊環板在x方向簡化為等截面桿的拉壓變形
(j=l,2,3)。
2.3.3環板轉臂偏心軸承的作用力分析
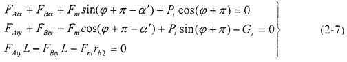
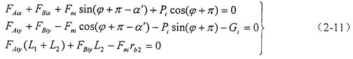
本章分別對相位差為180°的對稱型和偏置型三環減速機進行受力分析。所謂對稱型三環減速機,顧名思義,就是指兩個高速輸入軸對稱地分布在低速輸出軸的兩邊的三環減速機,對稱型三環減速機按輸入軸的位置又分為兩種,結構形式如圖2-7所示,a)對稱A型和b)對稱B型;偏置型三環減速機就是指兩個高速輸入軸分布在低速輸出軸的一側的三環減速機,結構形式如圖2-8所示;對三種形式三環減速機的受力分析,主要是考慮第一級齒輪傳動的中心距的需要,對稱B型和偏置型三環減速機的兩根高速偏心軸軸心距較小,易于實現雙驅動。對稱型和偏置型三環減速機的兩根高速輸入軸1相互平行,且各自帶有3個互為180°的偏心軸頸,三片帶內齒的傳動環板,其中兩片兩側環板3和一片中間環板4,通過軸承安裝在輸入軸的對應偏心軸頸上,低速輸出軸2與兩根輸入軸平行,其上的外齒輪5與環板的內齒輪構成漸開線少齒差內嚙合運動副。各軸均通過軸承支承在箱體6上,動力由高速軸1雙軸輸入,低速軸2輸出,傳遞運動和轉矩。對于對稱型和偏置型三環減速機來說,為了考慮慣性力和慣性力偶矩平衡,中間環板的厚度b2取為兩側環板厚度b1的兩部。
內齒行星傳動的減速機中,還有一種類似于三環減速機的星型少齒差減速星型減速機就是指三個高速輸入軸呈星型均勻地分布在低速輸出軸的周圍齒差減速機,結構形式如圖2-9所示,不過它只有一片內齒環板。星型少減速機由一根高速偏心輸入軸、兩根高速偏心支承軸、一根低速輸出軸、一片內齒環板和箱體組成。一般用于傳遞中心功率,其結構比較緊湊,可做成立式或懸掛式等多種形式。
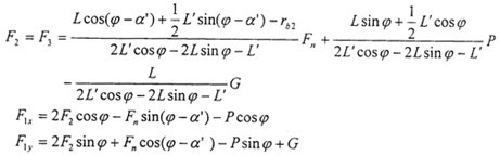
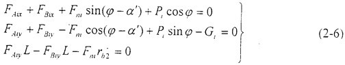
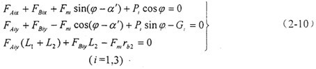
下面將對上述幾種減速機轉臂偏心軸承的作用力做深入的討論。首先分析對稱型三環減速機的情況。圖2-10所示為對稱型三環減速機傳動結構圖,對稱A型的一塊環板的受力情況和坐標系選取如圖2-3所示。對作用于對稱A型環板上的平面力系,可列出靜力平衡方程:
(i=1,3)
對于中間環板i=2,靜力平衡方程變為:
式中rb2——內齒輪基圓半徑;
Fni——環板上嚙合力,切于基圓,指向嚙合點。
上式方程數為9個,而方程中未知量的總數為12個,故存在3個多余未知量。根據前述的變形協調條件,建立3個變形協調方程,作為機械受力分析的補充方程,利用高期消元法即可求解。
本文研究的傳動比i=21的相位差為180°的對稱A型三環減速機,傳動技術參數為:
L=145mm,Z
1=42,Z
2=44,m=3.5mm,a=20°,a′=37.356°,T=875N·m。n=1440r/min,b
1=19mm,b
2=38mm。則兩輸入軸的偏心軸頸上的環板軸承載荷F
Ai、F
Bi隨輸入曲柄轉角

變化的曲線哪圖2-11、2-12所示。
對稱A型三環減速機環板轉臂偏心軸承載荷呈簡諧規律變化,中間環板轉臂偏心軸承載荷幅值達4500N,中間環板轉臂偏心軸承載荷約為兩側環板轉臂偏心軸承載荷的兩部,且相位差為180°。輸入軸1的載荷幅值比輸入軸2的載荷幅值大約100N,這主要是由于考慮輸入軸的彎曲變形和環板的拉壓變形的影響而造成的。
對稱B型三環減速機的一塊環板的結構如圖2-13所示,它的受力情況和坐標系統取如圖2-14所示,符號的標定及含義同對稱A稱三環減速機。
對作用于對稱B型環板上的平面力系,可列出靜力平衡方程:
式中rb2——內齒輪基圓半徑;
Fni——環板上嚙合力,切于基圓,指向嚙合點。
上式方程數為9個,而方程中未知量的總數為12個,故存在3個多余未知量。根據前述的變形協調條件,建立3個變形協調方程,作為機構受力分析的補充方程,利用高斯消元法即可求解。
本文研究的傳動比i=21的相位差為180°的對稱B型三環減速機,傳動技術參數為:
L=105mm,L′=100mm,Z1=42,Z2=44,m=3.5mm,a=20°,
a′=37.356°,T=875N·m,n==1440r/min,b
l=19mm,b
2=38mm。則兩輸入軸的偏心軸頸上的環板軸承載荷F
Ai、F
Bi,隨輸入曲柄轉角

變化的曲線如圖2-15、2-16所示。
對稱B型三環減速機環板轉臂偏心軸承載荷比對稱A型的大約45%,中間環板轉臂偏心軸承載荷幅值達6600N,中間環板轉臂偏心軸承載荷約為兩側環板轉臂偏心軸承載荷的兩倍,且相位差為180°;初步分析發現對稱B型三環減速機的兩輸入軸之間距離2L比對稱A型的小,在傳遞相同扭矩的情況下,由于作用力矩較小,對稱B型轉臂偏心軸承載荷必然要大。并且輸入軸1的載荷幅值比輸入軸2的載荷幅值大約200N,這主要是由于考慮輸入軸的彎曲變形和環板的拉壓變形的影響而造成的。
其次分析偏置型三環減速機的情況,圖2-17所示為偏置型三環減速機傳動結構圖,偏置型三環減速機的一塊環板的結構如圖2-18所示,它的受力情況和坐標系選取如圖2-19所示,符號的標定及含義同對稱型三環減速機。
對作用于偏置環板上的平面力系,可列出靜力平衡方程:
對于中間環板i=2,靜力平衡方程變為:
式中 rb2——內齒輪基圓半徑;
Fni——環板上嚙合力,切于基圓,指向嚙合點。
上式方程數為9個,而方程中未知量的總數為12個,故存在3個多余未知量。根據前述的變形協調條件,建立3個變形協調方程,作為機械受力分析的補充方程,利用高期消元法即可求解。
本文研究的傳動比i=21的相位差為180°的偏置型三環減速機,其傳動技術參數為:
L
1=145mm,L
2=145mm,Z
1=42,Z
2=44,m=3.5mm,a=20°,a′=37.356°,=875N·m,n=1440r/min,b
1=19mm,b
2=38mm。則兩輸入軸的偏心軸頸上的環板軸承載荷F
Ai、F
Bi隨輸入曲柄轉角

變化的曲線如圖2-20、2-21所示。
偏置型三環減速機的環板軸承所受載荷比對稱型三環減速機大很多,在設計和實際使用中應盡量避免采用這種結構布置形式。雖然對稱B型和偏置型三環減速機的受力性能不如對稱A型三環減速機,但是由于它們的兩個輸入軸比較接近,故而易于實現雙驅動。
在相同的傳動技術參數條件下,對稱A型三環減速機偏心軸頸的環板載荷最小,也就是說它的受力性能最佳。
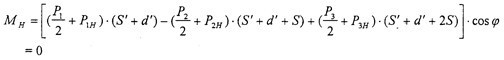
對作用于星型環板上的平面力系,可列出靜力平衡方程:
式中rb2——內齒輪基圓半徑;
Fn——環板上嚙合力,切于基圓,指向嚙合點。
如果不計兩上支承軸重力的影響,則兩上支承軸O2B、O3C可看作二力桿,它的作用力如圖所示。不考慮制造誤差和載荷分配不均勻因素的影響,可以補充方程:F2=F3,則聯立求解得到:
本文研究的傳動比i=21的星型少齒差減速機,傳動技術參數為:
L
1=112.5mm,L′=129.9mm,Z
1=42,Z
2=44,m=3.5mm,a=20°,a′=37.356°,n=1440r/min,T=300N·m,b=20mm。則輸入軸、兩個支承軸的偏心軸頸上的環板軸承載荷F
1、F
2、F
3隨輸入曲柄轉角

變化的曲線如圖2-24所示。
星型少齒差減速機雖然只有一片內齒環板,結構簡單,易于滿足傳力條件和裝配條件。但是它的環板軸承所受載荷在傳遞相同的輸出扭矩的情況下比對稱型、偏置型三環減速機大很多,環板及其軸承較易損壞,在設計和實際使用中應避免采用這種結構布置形式。
求得環板上的軸承反力后,通過輸入軸和輸出軸的受力分析,不難求得箱體上各軸承的反力及曲柄上的轉矩。
嚙合角a′是三環減速機內嚙合傳動的重要參數,由嚙合角的變化而引起的環板軸承載荷的變化規律可以得到某些重要結論。環板軸承載荷幅值隨嚙合角變化的曲線如圖2-25、2-26所示。
由圖2-25、2-26可以看出,三環減速機的環板軸承載荷幅值隨著嚙合角a′的增大反而減小,但是隨著嚙合角的變化環板軸承載荷幅值的變化很小,變化幅度約在10ON左右,可見嚙合角對環板軸承載荷的影響較小。環板軸承載荷幅值的下降是因為當嚙合角增大后,嚙合力在x方向的分量下降的緣故。
2.3.4兩種三環減速機受力性能的比較
環板偏心之間的相位差為120°、環板厚度相同的三環減速機能夠使慣性力靜平衡,但是慣性力動不平衡;而本文提出的環板偏心之間的相位差為180°、中間環板的厚度為兩側環板厚度的兩倍的兩級三環減速機慣性力不僅靜平衡,而且動平衡。假定三環減速機三片內齒環板完全均載,則前-種三環減速機的嚙合力平衡,但是形成-力偶矩;而后一種三環減速機的嚙合力不僅靜平衡,而且動平衡。
環板單位寬度上的受力是衡量三環減速機受力性能的重要指標。本章比較相同傳動技術參數下的環板偏心相位差分別為180°和120°的對稱A型三環減速機環板單位寬度上的載荷情況。對于傳動比i=21的相位差為120°的對稱型三環減速機,傳動技術參數為:
L1=145mm,L2=145mm,Z2=42,Z1=44,m=3.5mm,a=20°,a′=37.356°,T=875N·m,n=1440r/min,b1=b2=25mm。則環板左孔Ai單位寬度上的載荷fa、環板右孔Bi單位寬度上的載荷fb隨輸入曲柄轉角 變化的曲線如圖2-27所示。
由圖2-27可以看出:在相同的傳動技術參數下,兩種三環減速機內齒環板單位寬度上的載荷呈簡諧規律變化,相位差為120°的三環減速機環板單位寬度上的載荷比相位差為180°的三環減速機環板單位寬度上的載荷大約30%,也就是說,在受力性能上,本文提出的相位差為180°、中間環板厚度為兩側環板厚度兩部的新型三環減速機較優越。
2.3.5一級齒輪傳動的受力分析
三環減速機是為適應現代機械設備對傳動機構的新要求而開發的一種以漸開線少齒差行星齒輪傳動原理工作的新型傳動裝置,本文所研究的三環減速機傳動結構如圖2-28所示,它由兩根二級高速偏心輸入軸1,低速輸出軸2,三片內齒環板(兩塊兩側環板3和一塊中間環板3′)和外齒輪4構成。三片內齒環板偏心安裝在兩根高速軸上1上,為了克服二級偏心輸入軸的死點位置和增大傳動比,采用兩個分流定軸齒輪5分別帶動兩個偏心輸入軸,而齒輪5則由一級輸入軸7上的主動齒輪6帶動。三個內齒環板偏心之間的相位差為π,并且考慮慣性力平衡,中間環板的厚度取為兩側環板厚度的2倍,它們都與外齒輪4相嚙合,外齒輪4安裝在輸出軸2上,各軸均平行配置。
不考慮摩擦時,輸出扭矩T2為輸入扭矩T1與機構的總傳動比i的乘積:
T2=T1·i
式中 i=i
1·i
2,i
1=
i1——一級傳動比;
Z5——分流齒輪齒數;
Z6——一級主動齒輪齒數;
i2——二級傳動比。
考慮摩擦時,則應再乘以傳動效率η:
T2=T1·i·η
式中 η=η1·η2
η1——一級傳動效率;
η2——二級傳動效率。
輸出扭矩T2是產生嚙合力Fn的源泉。
對于本文研究的樣機HITSH145來說,它的相關傳動技術參數為:
Z1=42、Z2=,Z2=42,mII=3.5mm,Z5=Z6=70、Z7=46、mI=2.5mm,T2=875N·m。
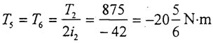
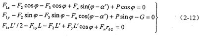
一級傳動齒輪受力分析如圖2-29所示,a)、b)、c)分別為分流齒輪5、主動齒輪7、分流齒輪6受力分析圖,二級傳動傳比i
2=

,假定分流齒輪5、6均載,如果不考慮傳動效率,則應有:
式中“-”號表示分流齒輪扭矩T5、T6與輸出扭矩T2轉向相反。
式中
rb5——分流齒輪5或6的基圓半徑;
mI——一級傳動的模數。
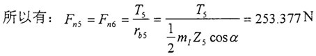
根據作用力和反作用力的關系,則有:

=F
n5=F
n6=253.377N
所以,輸入扭矩T1=2Fn5rb7=54.762N·m
式中rb7——主動齒輪7的基圓半徑。
2.3.6一級輸出二級輸入軸的受力分析
三環減速機內齒環板的轉速較高,且其質量較大,是三環傳動受力分析中不可忽略的因素,故有必要考慮內齒環板的慣性力對一級輸出二級輸入軸的影響。由于兩側環板質量相等,即m
1=m
3,中間環板的質量m
2是兩側環板質量的兩倍,即m
2=2m
1=2m
3,它們的轉速n
H相同,參考公式(2-3),則內齒環板的慣性力為:
P
1=P
3=[π
2m(Z
2-Z
1)m
1/1800](cosa/cosa′)

P
2=2P
1=2P
3=[π
2m(Z
2-Z
1)m
1/1800](cosa/cosa′)
每片環板的慣性力Pi作用在兩根轉臂偏心軸上,每根軸所受的內齒環板慣性力為Pi/2。
由于中間環板處轉臂偏心軸上放置兩個圓柱滾子軸承NU209/P6,而兩側環板處轉臂偏心軸上放置一個圓柱滾子軸承NU209/P6,假設一個圓柱滾子軸承NU209/P6的質量為mH,它們的轉速nH相同,參考公式(2-4),則轉臂偏J心軸所受轉臂偏心軸承的慣性力為:
P
1H=P
3H=[π
2m(Z
2-Z
1)m
H/1800](cosa/coaa′)
P2H=2P1H=2P3H
一級輸出二級輸入軸上的慣性力大小及方向如圖2-30所示,假設慣性力與x軸正向所成的角度為

,則轉臂偏心軸上的慣性力矢量和為:

(2-13)
所以該三環減速機機構慣性力是靜平衡的。
下面分析三環減速機中慣性力偶矩的作用。
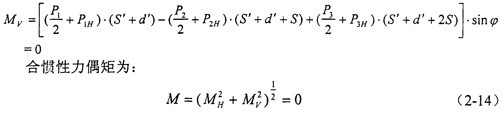
在xoy平面內的慣性力偶矩為:
在yoz平面內的慣性力偶矩為:
所以該三環減速機機構慣性力是動平衡的。
2.3.7一級輸出二級輸入軸支承軸承的受力分析
三環減速機箱體支承軸承周期性的作用力是箱體振動的激振力,是三環減速機振動的根源,因此對箱體支承軸承的作用力作深入的探討實屬必要。對于一級輸入袖8和二級輸出軸2來說,軸上作用有輪齒嚙合力、齒輪和軸的重力和兩個支承軸承的作用力。從理論上講,由于是雙輸入軸輸入,嚙合力沿嚙合線長度方向均勻分布,則嚙合力相互平衡,支承軸承只剩下齒輪和軸重力的作用,作用力的求解變得極其簡單。即使考慮載荷分配不均勻的影響,它們的支承軸承作用力的求解也相對容易。下面著重探討一下一級輸出二級輸入軸支承軸的作用力。
由2.3.3分析可知:當求得環板上的軸承作用力FAix、FAiy,FBix、FBiy后,通過輸入軸和支承軸的受力分析,不難求得箱體上各軸承的作用力。兩根一級輸出二級輸入軸的受力分析如圖2-31、2-32所示。
由一級傳動大齒輪的參數,經過簡單計算可得G
I=36.8N;由2.3.5分析可知:一級傳動大齒輪的嚙合力F
nI=253.377N,且對于O
A
軸來說,

=110°,
對于O
B
軸來說,

=70°。于是由理論力學不難求得兩根軸上支承軸承的作用力F
olx、F
oly、F
o2x、F
o2y。從而得到O
A
軸支承軸承作用力隨O
A
軸轉角的變化規律如圖2-33、2-34所示,O
B
軸支承軸承作用力隨O
B
軸轉角的變化規律如圖2-35、2-36所示。
由上述受力分析可知:輸出端支承軸承作用力比輸入端支承軸承作用力大,可見一級傳動對箱體支承軸承的貢獻不大,主要還是二級傳動的作用。因此在第五章中,選取輸出端軸承座作為測振點。O
A
軸輸出端支承軸承作用力比O
B
軸輸出端支承軸承作用力、作用力波動幅度略大,主要是由于一級傳動和考慮變形協調條件的影響而致,且周期都為2π,這是O
A
軸輸出端軸承座振動比O
B
軸輸出端軸承座振動略大的原因。
2.4本章小結
本章深入探討了我國發明的一種新型減速裝置一三環減速機的傳動原理,并且用瞬心法推導了三環減速機傳動的傳動比公式。
本章在分析三環減速機傳動變形的基礎上,提出了本文的三環減速機相應的變形協調方程。建立了三環減速機傳動系統過約束超靜定機構——多相并列平行雙曲柄的受力分析模型;在考慮環板和轉臂偏心軸承慣性力的基礎上,計算分析了對稱A型、對稱B型、偏置型三環減速機和星型少齒差減速機內齒環板轉臂偏心軸承的受力情況。
在相同的傳動技術參數下,偏置型三環減速機的環板軸承所受載荷比對稱型三環減速機大很多,在設計和實際使用中應盡量避免采用這種結構布置形式;三環減速機的環板軸承載荷幅值隨著嚙合角a′的增大反而減小。
對比分析得出:對稱A型三環減速機的受力性能最佳;相位差為120°的三環減速機環板單位寬度上的載荷比相位差為180°的三環減速機單位寬度上的載荷大約30%,后者的受力性能優于前者。
對一級輸出二級輸入軸的慣性力和慣性力偶矩進行分析,可以得到本文提出的三環減速機不僅靜平衡,而且動平衡。
對三環減速機振動產生的根源一一級輸出二級輸入軸支承軸承的作用力進行分析。
綜上所述,本章提出的三環減速機在受力性能上是優越的。