三環減速機的實驗研究
5.1引言
由前所述設計、加工制造完成的三環減速機,裝配完畢后其工作原理、性能指標等均應符合設計要求,為了進一步驗證本文提出的三環減速機理論的正確性和該實驗樣機的實用性,在大慶職工大學機電工程系的機械傳動實驗臺上對所研制的樣機HITSH145進行了實驗。實驗結果表明:該樣機傳動功率達到其設計要求水平;在額定轉速和額定轉矩下,傳動效率可達92%,其各項性能指標超過國內同類產品的水平。
5.2三環減速機的傳動性能實驗
5.2.1測試儀器及實驗裝置
傳動性能測試儀器如下:
錫山市直流電機廠生產的直流電動機,型號:Z2-52,功率為13kW;
上海第二電表廠生產的ZJ型轉矩轉速傳感器;
上海第二電表廠生產的ZJYWI微機型轉矩轉速儀;
國營海安機電廠生產的磁粉制動器,型號:CZ-5,額定轉矩:50N-m;
上海奉賢青村五金機械廠生產的JZQ型系列增速機,傳動比i=23.34;
三環減速機的傳動性能實驗臺如圖5-1所示,實驗臺照片如圖5-2所示,實驗臺控制柜照片如圖5-3所示。
5.2.2三環減速機的跑合實驗
將三環減速機的箱體內零部件按傳動結構圖裝配,在裝配上箱體之前,用手轉動一級輸入軸半聯軸器,看看是否轉動靈活,支承軸承是否對心。如果轉動卡死,首先考慮外齒輪裝配是否正確,然后考慮可能是環板相位不正確;如果支承軸承跳動,則應考慮外齒輪裝配是否正確。裝配好后,空載跑合4小時,正轉和反轉分別跑合2小時。然后加載20%跑合2小時,加載50%跑合2小時,最后加載100%跑合2小時。跑合實驗后,將原來加入的潤滑油放出,并清理箱體底部;然后重新注入潤滑油,為以下的性能實驗作準備。
5.2.3三環減速機的效率實驗
三環減速機傳動的效率實驗是采用分級、逐步加載而完成的,額定轉速和轉矩下,高速軸齒輪每齒應力循環數達到3×106后,將輸入轉速分為750、1000、1500r/min三檔,輸出轉矩按占額定輸出轉矩的百分比為25%、50%、75%、100%四檔。在恒定轉速變轉矩和恒定轉矩變轉速兩種工況下,進行傳動效率測試,實驗結果效率曲線如圖5-4~5-7所示。
需要加以說明的一點是,由于實驗臺控制柜的條件所限,在高輸入轉速時,輸出轉矩上不去;在高輸出轉矩時,輸入轉速上不去。只能對所得的上述效率曲線進行分析。
從實驗曲線中可以看出,原型機傳動總效率隨輸出轉矩的增加而增加,隨輸入轉速的增加而降低。在額定轉矩下,傳動總效率隨輸入轉速的增加而緩慢降低。測得的原型機最高效率可達92%。
對于加裝均載裝置的改進型機,從實驗曲線中可以看出,當輸入轉速為輸入轉速的增加75Or/min和1O00r/min時,改進型機傳動總效率隨輸出轉矩、輸入轉速的增加而增加;在輸入轉速為1000r/min時,當輸入轉矩超過95ON·m時,傳動效率隨輸出轉矩的增加反而下降;當輸入轉速為15O0r/min時,低輸出轉矩時,傳動效率較低;隨著輸出轉矩的增加,傳動效率明顯增高。測得的改進型機最高效率可達92.9%。
在額定轉速和額定轉矩范圍內,改進型機隨著輸出轉矩、輸入轉速的增加,均載機構補償的誤差增大,均載效果更加明顯,所以改進型機的傳動效率隨輸入轉速的增加而增加。綜上所述,三環減速機的測得效率可達92%以上,因此本實驗從減速機的傳動性能上來講是成功的。
5.3三環減速機的均載和減振實驗原理
均載和減振實驗的主要任務是測試加裝彈性均載環前后,三環減速機載荷分配不均勻系數KP的大小及其減速機振動的情況,并且驗證用間隙元計法計算載荷分配不均勻系數KP的理淪的正確性及均載環的減振效果。
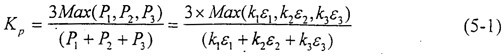
測量載荷分配不均勻系數KP,考慮到少齒差傳動齒根彎曲應力為主要應力形式、內齒環板的頂部及底部(最小截面處)為整機的薄弱環節,因此需要測量環板齒根彎曲應力和環板最小截面處應力的最大值和理論平均值。
實驗采用電阻應變片測量內齒環板的應變,在三片內齒環板同時嚙合的相應輪齒上以及三個環板的最小截面處,分別用電阻應變片搭成半橋電路,載荷信號經過YD-15型八通道動態電阻應變儀進入A/D轉換板,由實驗微機記錄每個環板的應變信號。本研究中,環板數np=3,載荷分配不均勻系數公式為:
式中 k1,k2,k3——標定得到的比例系數,括號前的Max是指取其中的最大值;
ε1,ε2,ε3——一三片內齒環板上應變信號的平均值。
實驗中選用日本KYOWA公司的應變片,型號為:KFG-02-120-Cl-11,應變片長度為0.2mm,電阻為119.8±0.2Ω,相差很小,即k1、k2、k3彼此差別很小,所以公式(5-l)簡化為:
在不同轉速、不同轉矩下,通過實驗分別測得三片環板上應變信號的最大值和平均值,即可用公式(5-2)求得每片內齒環板的載荷分配不均勻系數KP,三環減速機的載荷分配不均勻系數取三片內齒環板中的最大值。
對于減振效果,考慮到在三環減速機的振動參數中,支承軸承處的箱體的振動加速度的變化最能反映三環減速機中齒輪的嚙合狀況,因為每個內齒環板所受嚙合力的變化對振動加速度的變化有很大的影響,所以本實驗將箱體上部分點的振動加速度也作為驗證減振效果的重要指標。
實驗采用壓電式加速度計測量三環減速機上特征點的振動加速度,并且將原型機與改進型機的情況進行比較;同時對采集的加速度信號進行積分處理,求得特征點的振動速度,計算振動烈度,并且將原型機與改進型機的情況進行比較,從而確定減振效果。
5.4三環減速機的均載和減振實驗
5.4.1應力、振動及噪聲測試實驗裝置
測試儀器如下:
華東電子儀器廠生產的YD-15型八通道動態電阻應變儀;
北京華遠自動化系統公司研制的HY-1232A/D、D/A轉換板,IBM-PCXT/AT總線;
秦皇島市北戴河無線電廠生產的YD42型壓電式加速度計;
秦皇島市北戴河無線電廠生產的DHF-6A型電荷放大器;
江西紅聲器材廠生產的ND2型精密聲級計;
三環減速機的均載和減振實驗系統如圖5-8所示。
5.4.2應力測量及數據處理
考慮到少齒差傳動齒根彎曲應力為主要應力形式、內齒環板的頂部及底部(最小截面處)為整機的薄弱環節,所以將應變片分別貼到每一片內齒環板相同位置的的一個齒的齒根上及每一片內齒環板最上部的相同位置上,以比較準確地反映三環減速機每片內齒環板的受載情況,應變片的粘貼位置如圖5-9所示。實驗中分別用應變片搭成半橋電路,載荷信號經過YD-15型八通道動態應變儀進入A/D轉換板,由實驗微同記錄每個環板的應變信號。
本實驗采用日本KYOWA公司生產的柵絲長度為0.2mm,阻值為120Ω的KFG-02-120-C1-11型電阻應變片。使用的粘接劑采用日本KYOWA公司生的的CC-33A型CYANO-ACRYLATE STRAIN GAGE CEMENT,工作溫度隨使用粘接劑的不同而異,最高工作溫度可達400℃。為了消除溫度對應變片電阻的影響,在實驗齒輪的沒有應變的輪體上貼了三片溫度補償應變片。
在貼片時,先將輪體貼片處用丙酮清洗干凈,待輪體貼片處表面絕緣干燥后再貼片。齒根應變片的引線采用ф0.2mm的高強度漆包線,用環氧樹脂膠防潮并固定,調和好稠度適宜的環氧樹脂膠,涂抹在引線上和應變片的周圍。漆包線用六芯屏蔽線引出接入電橋盒。實驗中采用JA-102或J-39環氧樹脂膠。
實驗中選用的A/D接口板的主要技術指標如表5-1所示,對應于所選用的A/D接口板,編制的應變信號采集程序框圖如圖5-10所示,實驗的電阻應變片電橋引線照片如圖5-11所示。在n輸入=800r/min,輸出扭矩分別為額定輸出扭矩的0%、25%、50%、75%及100%的載荷工況下,分別測得原型機和改進型機的環板齒根應變和環板齒根應變值,表5-2、5-3分別為原型機和改進型機在不同載荷下的的環板應變值,表5-4、5-5分別為原型機和改進型機在不同載荷下的的環板應變值。
表5-1 A/D轉換板的主要技術指標
指標 |
數值 |
分辨率 |
12Bit |
精度 |
優于±0.03%(滿量程) |
通過頻率 |
12KHz(最高,連續可調) |
A/D轉換時間 |
25μs(典型值) |
通道數 |
32(ch0~ch31) |
軟件方式 |
高級語言編寫 |
表5-2 三環減速機原型機在不同載荷下的環板齒根應變值 (με)
輸入轉速
n(r/min) |
減速機輸出
扭矩T(N·m) |
環板1應變 |
環板2應變 |
環板3應變 |
環板1、2、3平均應變 |
平均應變 |
最大應變 |
平均應變 |
最大應變 |
平均應變 |
最大應變 |
813 |
40 |
3.59 |
4.25 |
5.56 |
5.88 |
4.58 |
5.82 |
4.58 |
807 |
245 |
15.69 |
19.61 |
16.34 |
19.93 |
15.03 |
18.63 |
15.69 |
795 |
467 |
33.99 |
39.22 |
36.60 |
42.48 |
32.03 |
39.87 |
34.21 |
808 |
668 |
45.75 |
59.48 |
44.12 |
60.13 |
47.39 |
57.52 |
45.75 |
796 |
875 |
60.13 |
71.90 |
56.21 |
73.20 |
58.82 |
69.28 |
58.39 |
表5-3 三環減速機原型機在不同載荷下的環板齒根應變值 (με)
輸入轉速
n(r/min) |
減速機輸出
扭矩T(N·m) |
環板1應變 |
環板2應變 |
環板3應變 |
環板1、2、3平均應變 |
平均應變 |
最大應變 |
平均應變 |
最大應變 |
平均應變 |
最大應變 |
810 |
36 |
3.14 |
3.27 |
3.38 |
3.46 |
3.27 |
3.33 |
3.26 |
790 |
205 |
13.40 |
13.73 |
13.59 |
14.05 |
12.75 |
13.07 |
13.25 |
805 |
440 |
33.33 |
34.64 |
33.99 |
35.29 |
32.68 |
34.68 |
33.33 |
805 |
650 |
39.87 |
41.83 |
40.52 |
42.48 |
39.22 |
40.55 |
39.87 |
797 |
875 |
53.59 |
56.21 |
54.90 |
57.52 |
52.29 |
54.88 |
53.59 |
表5-4 三環減速機原型機在不同載荷下的環板齒根應變值 (με)
輸入轉速
n(r/min) |
減速機輸出
扭矩T(N·m) |
環板1應變 |
環板2應變 |
環板3應變 |
環板1、2、3平均應變 |
平均應變 |
最大應變 |
平均應變 |
最大應變 |
平均應變 |
最大應變 |
796 |
48 |
1.18 |
1.44 |
1.37 |
1.70 |
1.31 |
1.57 |
1.29 |
800 |
230 |
10.46 |
14.12 |
11.76 |
14.38 |
11.11 |
13.07 |
11.11 |
806 |
443 |
16.34 |
17.65 |
14.38 |
18.30 |
12.09 |
13.73 |
14.27 |
822 |
660 |
24.84 |
26.80 |
20.92 |
27.45 |
19.61 |
25.49 |
21.79 |
808 |
876 |
30.07 |
33.99 |
29.41 |
39.22 |
28.76 |
32.68 |
29.41 |
表5-5 三環減速機原型機在不同載荷下的環板齒根應變值 (με)
輸入轉速
n(r/min) |
減速機輸出
扭矩T(N·m) |
環板1應變 |
環板2應變 |
環板3應變 |
環板1、2、3平均應變 |
平均應變 |
最大應變 |
平均應變 |
最大應變 |
平均應變 |
最大應變 |
824 |
37 |
1.18 |
1.24 |
1.31 |
1.33 |
1.24 |
1.32 |
1.24 |
812 |
224 |
7.84 |
8.37 |
8.50 |
8.76 |
8.17 |
8.63 |
8.17 |
798 |
432 |
11.18 |
11.90 |
11.74 |
11.96 |
10.46 |
10.85 |
11.13 |
812 |
645 |
16.99 |
17.97 |
17.65 |
18.30 |
16.34 |
17.78 |
16.99 |
795 |
875 |
22.88 |
24.25 |
24.84 |
25.62 |
24.18 |
25.16 |
23.97 |
由實驗采集到的應變電壓信號,經過標定、計算,可以得到環板齒根彎曲應變和環板頂部應變的數值,運用式(5-2)可以求出分別考慮環板齒根彎曲應變遷環板頂部應變兩種情況下三環減速機原型機和改進型機的載荷分配不均勻系數KP。
圖5-12、5-13為考慮環板齒根應變的原型機和改進型機載荷分配不均勻系數KP——轉矩實驗曲線;圖5-14、5-15為考慮環板應變的原型機和改進型機載荷分配不均勻系數KP——轉矩實驗曲線。
從上述實驗曲線可以看出:當考慮環板齒根應變時,原型機載荷分配情況較差,當輸入轉速n=800r/min,輸出轉矩T=668N·m時,載荷分配不均勻系數KP=1.1314;改進型機載荷分配情況較原型機有很大的改善,當輸入轉速n=800r/min,輸出轉矩T=875N·m時,載荷分配不均勻系數KP=1.073。
從上述實驗曲線可以看出:考慮環板頂端就變時,原型機載荷分配情況較差,當輸入轉速n=800r/min,輸出轉矩T=876N·m時,載荷分配不均勻系數KP=1.333;改進型機載荷分配情況原型機有很大的改善,當輸入轉速n=800r/min,輸出轉矩T=645N·m,載荷分配不均勻系數KP=1.077。
無論以內齒環板齒根應變,還是以環板頂端就變作為衡量的基礎,所測得的原型機和改進型機的載荷分配不均勻系數KP,均說明均載機構部分補償了制造誤差,達到了均衡荷的目的。
從實驗曲線中可以看到,采用均載機構能夠明顯地改善三環減速機三片內齒環板間的載荷分配情況,從而降低了三環減速機箱體的振動,降低了傳動噪聲,增加了傳動平穩性,延長了減速機的使用壽命。實驗證明:本文提出的均載機構設計合理,均載效果較好。
對于原型三環減速機,分析以上數據可得,當輸入轉速n=808r/min,輸出扭矩T=668N·m時,中間環板載荷分配不均勻系數KP最大,此時有:
ε1=45.75με
ε2=44.12με
ε3=47.39με
εmax=60.13με
所以可以求得載荷分配不均勻系數:KP=1.314。
對于改進型三環減速機,分析以上數據可得:當輸入轉速n=797r/min,輸出扭矩T=875N·m時,中間環板載荷分配不均勻系數KP最大,此時有:
ε1=53.59με
ε2=54.90με
ε3=52.29με
εmax=57.52με
所以可以求得載荷分配不均勻系數:KP=1.073。
載荷分配不均勻系數的實驗結果與理論計算結果基本吻合,證實了用間隙元法求解三環減速機載荷分配不均勻系數KP的正確性。
在輸入轉速n=500r/min,輸出扭矩T=875N. m工況下,應變信號電壓隨采集信號時間變化的曲線如圖5-16所示,在這種工況下,由簡單計算可以得到:內齒環板轉動一圈約需182ms。
我們知道,在內齒環板轉動一圈過程中,應變片變形即有應變信號電壓,否則沒有應變信號電壓,根據采用的A/D采集轉換板的精度,可以把20mV左右的電壓信號視為干擾信號。分析上圖,可以得到在貼有應變片的輪齒附近有四個輪齒同時參與嚙合。這與用間隙元法計算得到的結果:在內齒環板轉動一圈過程中,有五個輪齒同時參與嚙合略有出入,主要是由于計算考慮的制造安裝誤差與實際加工的制造安裝誤差不同的緣故,計算考慮的制造安裝誤差比實際加工的制造安裝誤差要小,從而導致由于變形而嚙合的齒數較少。
5.4.3振動測量及數據處理
三環減速機結構和工作原理獨特,具有諸多優點。但振動普遍較大是制約其進一步推廣的主要問題,尤其在重載高速下更為突出。為了解決這一問題,已經作了很多嘗試。本文在探究其振動根源的基礎上,通過實驗比較原型機與改進型機的振動,證實本文提出的彈性均載環在減振上的可行性。
正確選擇采樣參數,是能否得到理想的離散數據的關鍵。采樣頻率和采樣長度是兩個重要的采樣參數。采樣頻率是單位時間內采集的離散點數,根據不同的信號頻率和不同的分析方法,需要選擇不同的采樣頻率。對于本文的齒輪傳動機械振動信號,假定嚙合頻率為f′,需要分析到m次諧波(即m倍頻),則選擇采樣頻率fs:
fs≥2.5×m×f′比較合適。當然,這樣做的時候,應該先將信號中大于mf′頻率分量濾掉。本文測量中選取的采樣頻率為2kHz;采樣長度,是指一次從某通道采樣的離散點數,對于機器振動信號,通常是每次采集2的整數次幕個點數,這是因為在FFT變換中運算起來比較方便。本文測量中每次210=1024個點數。
通常用來描述振動響應的三個參數是位移、速度和加速度。一般情況下,低頻時的振動強度由位移值度量;中頻時的振動強度由速度值度量;高頻時的振動強度由加速度值度量。對于大多數機器來說,最佳參數是速度;在發電、石化行業機組振動監測中,相對位移參數應用最多;對于軸承和齒輪部件的高頻振動監測來說,加諫度是最合適的監測參數。
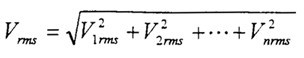
機器的振動烈度定義為:在機器表面的重要位置上(例如:軸承、安裝點處等)沿垂向、縱向、橫向三個方向上所測得的振動速度的最大有效值。
對于速度為V(t)=VPcosωt的簡諧振動,其振動速度有效值用下式計算:
式中VP——振動速度的峰值;
T=

——簡諧振動的周期。
若機器的振動系由幾個不同頻率的簡諧振動復合而成,則振動速度有效值可由下式求得:
式中 V1rms、V2rms,…,Vnrms分別為第1,2,…,n個簡諧分量的有效值。
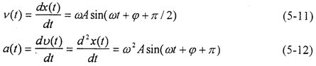
簡諧振動的位移數學表達式為:
x(t)=Asin(ωt+

) (5-10)
式中 A——振幅;
ω——角頻率;

——初始相位角。
A、ω和

稱為簡諧振動的三素。式(5-10)對時間t求導可以得到簡諧振動的速度和加速度的數學表達式:
因此,用本文的振動信號采集系統,測得三環減速機各軸承座的振動加速度的數值a,當在時域內求解時,則可以應用下式求得其在某一時刻t的振動速度vt。
vt=a·△t (5-13)
式中 △t——振動信號采樣時間間隔。
在頻域內求解時,則可以應用下式求得其在某一頻率f下的振動速度vf。
在傳動實驗臺上對樣機HITSH145型三環減速機在n
輸入=800r/min,T
輸出=0、

T工況下進行振動測試與分析,其中額定輸出扭矩T=875N·m。三環減速機的振動特征測點如圖5-17所示,振動采樣軟件框圖如圖5-18所示。測點1和2分別測量兩根一級輸出二級輸入軸輸出端軸承座的振動,測點3測量輸出軸軸承座的振動,測點4測量箱體的橫向振動。實驗采用了電荷放大器、同步A/D采集轉換卡與振動分析軟件。圖5-19~5-24所示為在額定轉矩下,未加裝均載環的三環減速機上振動測點1~6的振動加速度,圖5-25~5-30為在額定轉矩下,加裝均載環的三環減速機上振動測點1~6的振動加速度。由圖5-19~5-30可以看出:加裝均載環后,各測點的振動加速度明顯減小,尤其是測點3(輸出軸軸承座,加裝了輸出軸均載環)的振動加速度幾乎降為零,說明均載效果極佳。測點1和2分別測量兩根一級輸出二級輸入軸的振動,由2.3.7可知,O
A
軸的激振力比O
B
軸的大,因此得到測點2的加速度電壓級比測點1的大,這與第二章的分析一致。
在n輸入=800r/min,三環減速機原型機在不同輸出扭矩下的振動加速度實測值如表5-6所示,改進型機在不同輸出扭矩下的振動加速度實測值如表5-7所示。三環減速機原型機在額定扭矩下各軸承座的振動速度頻譜如圖5-31~5-33所示,改進型機在額定扭矩下各軸承座的振動速度頻譜如圖5-34~5-36所示。三環減速機原型機的各軸承座在不同工況下的振動有效速度如表5-8所示,改進型機的各軸承座在不同工況下的振云貴有效速度如表5-9所示。
表5-6 三環減速原型機在不同輸出扭矩下的振動加速度
輸出
扭矩T |
P1點加速度(m/s2) |
P2點加速度(m/s2) |
P3點加速度(m/s2) |
P4點加速度(m/s2) |
P5點加速度(m/s2) |
P6點加速度(m/s2) |
amin |
amax |
amin |
amax |
amin |
amax |
amin |
amax |
amin |
amax |
amin |
amax |
34N·m |
-5.45 |
9.06 |
-6.78 |
10.5 |
-32.3 |
24.6 |
-17.4 |
25.7 |
-20.4 |
22.5 |
-3.78 |
2.94 |
315 N·m |
-13.9 |
13.5 |
-18.6 |
19.3 |
-48.9 |
49.2 |
-22.9 |
41.7 |
-42.2 |
47.3 |
-5.52 |
4.66 |
635 N·m |
-12.0 |
16.6 |
-16.7 |
21.2 |
-34.8 |
36.7 |
-32.7 |
32 |
-35.3 |
36.4 |
-8.31 |
6.81 |
895 N·m |
-11.1 |
10.4 |
-15.9 |
16.2 |
-29.5 |
26.6 |
-43.8 |
35 |
-29.6 |
29.7 |
-10.5 |
8.69 |
表5-7 三環減速原型機在不同輸出扭矩下的振動加速度
輸出
扭矩T |
P1點加速度(m/s2) |
P2點加速度(m/s2) |
P3點加速度(m/s2) |
P4點加速度(m/s2) |
P5點加速度(m/s2) |
P6點加速度(m/s2) |
amin |
amax |
amin |
amax |
amin |
amax |
amin |
amax |
amin |
amax |
amin |
amax |
20N·m |
-1.68 |
3.81 |
-2.17 |
5.22 |
-1.23 |
1.75 |
-10.2 |
10.9 |
-11.1 |
15.2 |
-1.56 |
1.38 |
330 N·m |
-4.62 |
5.89 |
-6.20 |
7.46 |
-1.89 |
2.45 |
-14.4 |
19.9 |
-25 |
25.4 |
-2.48 |
316 |
628 N·m |
-10.5 |
8.69 |
-11.2 |
9.26 |
-2.35 |
2.86 |
-22.1 |
18.4 |
-24 |
28.9 |
-3.92 |
4.85 |
908 N·m |
-5.91 |
10.2 |
-12.8 |
10.4 |
-2.88 |
3.35 |
-27.3 |
23.3 |
-25.5 |
26.6 |
-4.79 |
6.54 |
表5-8 三環減速機原型機軸承座振動有效速度
測點NO.
工況 |
軸承座測點P1 軸承座測點P2 軸承座測點P3
(mm/s) (mm/s) (mm/s) |
T輸出=34N·m
T輸出=895N·m |
3.20 3.71 8.69
3.68 5.73 9.40 |
表5-9 三環減速機原型機軸承座振動有效速度
測點NO.
工況 |
軸承座測點P1 軸承座測點P2 軸承座測點P3
(mm/s) (mm/s) (mm/s) |
T輸出=20N·m
T輸出=908N·m |
1.35 1.85 0.62
3.61 3.68 1.19 |
由表5-8、5-9可得:隨著輸出扭矩的增加,三環減速機原型機和改進型機的軸承座振動有效速度增加,也就是說,隨著載荷的增大,各軸承座的激振力也增大。在相同的傳動條件下,三環減速機改進機軸承座振動有效速度比原型機的小,均載環減振效果明顯。
5.4.4噪聲測量
噪聲是衡量機器傳動性能的重要指標,本文實驗中使用精密聲級計測量三環減速機工作時的噪聲。首先測量本底噪聲,約為48dB,如果輸出端轉速轉矩傳感器電機運轉時,本底噪聲約為63dB。其次測量空載時的噪聲,由于所使用的增速機噪聲太大,因此在測量前卸掉增速機。當輸入轉速n=515r/min時,約為74dB;當輸入轉速n=1000r/min時,約為82.8dB;當輸入轉速n=1500r/min時,約為86.5dB;再次測量聯接上增速機且加載情況的噪聲,當輸入轉速n=12O0r/min時,輸出扭矩T=875Nm時,約為96dB,此項噪聲較大,主要是由于增速機精度太低而影響的。
根據傳動機械的衡量標準,三環減速機的噪聲符合標準要求。
5.5本章小結
本章對提出的三環減速機原型機(未加裝均載環)和改進型機(加裝均載環)進行實驗研究。
對三環減速機原型機和改進型機進行效率實驗,在相同的傳動條件下,改進型機的效率略高于原型機,在額定轉速和額定轉矩下,傳動效率可達92%。對三環減速機原型機和改進型機的環板齒根彎曲應力和環板薄弱部位應力進行測量,進行載荷均衡實驗。結果表明改進型機具有很好的均載效果,實驗還驗證了載荷分配不均勻系數耳的理論計算方法的正確性及實際多少對齒嚙合問題。
對三環減速機原型機和改進型機的特征振動點進行振動測量,結果表明彈性均載環具有良好的減振效果。
對三環減速機改進型機進行噪聲測量,結果表明本文提出的三環減速機樣機HITSH145符合相關傳動機械噪聲標準要求。