漸開線直齒和斜齒圓柱齒輪承載能力
計算方法 工業齒輪應用
1范圍
本標準規定了工業用齒輪和斜齒輪接觸強度與彎曲強度 校核計算方法。
本標準中的計算公式并不適用于其他形式的輪齒損傷,如塑性變形、微點蝕、膠合、表層壓潰、焊合以及磨損,也不能應用于預料不至齒廓破壞的振動條件下。彎曲強度公式可應用于輪齒齒根圓角處折斷,而不能用在輪齒工作齒廓表面上的折斷、齒輪齒圈的失效或齒坯輻板與輪轂的失效。本標準不適用于以鍛壓或燒結為最終加工方法的輪齒,也不能應用于接觸斑點很差的齒輪。
本標準提供一種不同齒輪設計的對比方法,其目的不在于確保裝配后傳動齒輪系統的性能,也不是針對一般工程界使用,而是為有經驗的齒輪設計人員所使用,他基于類似設計的知識與對所討論的這些章節影響的了解,能為這些公式中的系數選擇合理的數值。
注:使用者對本標準的計算結果應當用經驗進一步確認。
2規范性引用文件
下列文件中的條款通過本標準中引用而成為本標準的條款,凡是注日期引用文件,其附后所有的修改單(不包括勘誤的內容)或修訂版均不適用于本標準,然而,鼓勵根據本標準達成協議的各方研究是否可使用這些文件的最新版本。凡是不注日期的引用文件,其最新版本適用于本標準。
GB/T 1356-2001通用機械和重型機械用圓柱齒輪 標準基本齒條齒廓(idt ISO 53:1998)
GB/T 1357 通用機械和重型機械用圓柱齒輪 模數(ISO 54:1996,IDT)
GB/T3374-1992 齒輪基本術語(neq ISL/R1122-1:1983)
GB/T8539-2000 齒輪材料及熱處理質量檢驗的一般規定的(eqv ISO6336-5:1996)
GB/T 10095.1-2001 漸開線圓柱齒輪 精度 第1部分:輪齒同側齒面偏差的定義和允許值(idt ISO 1328-1997)
JB/T8830-2001高速漸開線圓柱齒輪和類似要求齒輪承載能力計算方法(idt ISO 9084:1998)
ISO4287:1997產品幾何量技術規范(GPS) 表面結構:輪廓方法 表面結構的術語、定義和參數
ISO 6336-1:1996直齒輪和斜齒輪承載能力計算 第1部分:基本原理、概述和通用影響系數
ISO 6336-2:1996直角輪和斜齒輪承載能力計算 第2部分:齒面接觸疲勞(點蝕)強度計算
ISO 6336-3:1996直齒輪和斜齒輪承載能力計算 第3部分:齒根彎曲強度計算
3術語和定義
本標準采用GB/T3374中給出的術語和定義。有關代號見表1。
表1代號與縮略語
a |
中心距 |
mm |
b |
齒寬 |
mm |
bβ |
雙斜齒齒輪單螺旋線部分的齒寬 |
mm |
bH |
齒寬(點蝕) |
mm |
bF |
齒寬(齒根) |
mm |
bred |
減少后的齒寬(減去齒端修緣的齒寬) |
mm |
bs |
輻板厚度 |
mm |
bⅠ(Ⅱ) |
齒端修形的寬度 |
mm |
cr |
單位齒寬嚙合剛度的平均值 |
N/(mm·μm) |
c′ |
單對齒單位齒寬的最大輪齒剛度(單齒剛度) |
N/(mm·μm) |
da1,2 |
小輪、大輪頂圓直徑 |
mm |
dan1,2 |
當量直齒輪的小輪、大輪的基圓直徑 |
mm |
db1,2 |
小量直齒輪的小輪、大輪單對齒嚙合外界點所在圓直徑 |
mm |
dbn1,2 |
小輪、大輪根圓直徑 |
mm |
dcn1,2 |
小輪、大輪齒高中部直徑 |
mm |
df1,2 |
當量直齒輪的小輪、大輪分度圓直徑 |
mm |
dm1,2 |
彎曲強度計算的名義軸徑 |
mm |
dn1,2 |
空心軸的內徑 |
mm |
dsh |
小輪、大輪節圓直徑 |
mm |
dshi |
齒根圓附近一個圓的直徑,包含內齒輪或相嚙齒輪的較大外齒輪的可用齒廓極限尺寸 |
mm |
dw1,2 |
小輪、大輪分度圓直徑 |
mm |
dNf2 |
齒根圓附近一個圓的直徑,包含內齒輪或相嚙齒輪的較大外齒輪有可用齒廓極限尺寸 |
mm |
d1,2 |
小輪、大傳輸線分度圓直徑 |
mm |
feff |
有效齒廓的形狀偏差 |
μm |
ffα |
齒廓形狀偏差(若公差符合GB/T10095.1-2001規定,也可用齒廓總偏差值Fa替代) |
μm |
fma |
因制造不精確引起的螺旋線偏差 |
μm |
fpb |
端面基節偏差(根據ISO6336:1996采用GB/T10095.1-2001規定的公差,計算時可使用fpt值) |
μm |
fbeff |
有效端面基節偏差 |
μm |
fsh |
由彈性變形引起的螺旋線偏差 |
μm |
fHβ |
螺旋線傾斜偏差(不包服務態度螺旋線形狀偏差) |
μm |
gα |
嚙合線長度 |
mm |
h |
齒高 |
mm |
ha |
齒頂高 |
mm |
hao |
刀具齒頂高 |
mm |
hf2 |
內齒輪輪齒的齒根高 |
mm |
hfp |
圓柱齒輪基本齒條齒頂高 |
mm |
hFe |
載荷作用于單對齒嚙合區外界點時的彎曲力臂 |
mm |
hNf2 |
內齒輪齒根高,包含內齒輪或相嚙的較大外齒輪的可用齒面極限尺寸 |
mm |
l |
軸承跨距 |
mm |
mn |
法向模數 |
mm |
mred |
齒輪副折合到嚙合線上單位齒寬的質量 |
kg/mm |
nE |
臨界轉速 |
min-1 |
n1,2 |
小輪、大輪轉速 |
r/min |
pbn |
法面基節 |
mm |
pbt |
端面基節 |
mm |
pr |
刀具突出部分 |
mm |
q |
精加工毛坯余量 |
mm |
qs |
齒根圓角參數SFh/2ρF |
- |
qsT |
標準的基準試驗齒輪齒根圓角參數 |
- |
rb |
基圓半徑 |
mm |
s |
小輪相對軸中心線的偏置量 |
mm |
sFn |
危險截面處的齒根法向弦齒厚 |
mm |
sR |
輪緣厚度 |
mm |
spr |
殘留的齒根圓角處挖根量 |
mm |
u |
齒數比|u|=|z2/z1|≥1a) |
- |
v |
圓周速度(不帶下標:分度圓上的圓周速度≈工作節圓上圓周速度) |
m/s |
x1,2 |
小輪(或大輪)的變位系數 |
- |
yf |
跑合量(齒距偏差) |
μm |
yp |
距合量(齒廓偏差) |
μm |
yα |
齒輪副的跑合量 |
μm |
yβ |
跑合量(當量的嚙合齒向偏差) |
μm |
zn |
斜齒輪的當量齒數 |
- |
z1,2 |
小輪、大輪齒數a) |
- |
B |
雙斜齒輪的總齒寬(包括退刀槽) |
mm |
Bf |
確定常數K的跑合參數 |
- |
Bk |
確定常數K的跑合參數 |
- |
Bp |
確定常數K的跑合參數 |
- |
B1,2 |
確定FβX的常數 |
- |
B* |
確定小輪偏置的常數 |
- |
Ca |
齒頂修緣量 |
μm |
Cay |
因跑合面導致的齒頂修緣量 |
μm |
Cv1,2,3 |
確定常數K的常數 |
- |
CB |
基本齒條系數 |
- |
CR |
齒坯系數 |
- |
Cβ |
鼓形系數 |
mm |
C1,…,9 |
確定qs的常數 |
- |
E |
彈性模量,楊氏模數 |
N/mm2 |
E |
計算Y的輔助值 |
- |
Fm |
分度圓柱上的平均端面力(=FtKAKV) |
N |
Ft |
分度圓柱上的(名義)端面切向力 |
N |
Ftmax |
分度圓柱上的最大端面切向力 |
N |
FtH |
分度圓柱上的決定性的端面力(= FtKAKVKHβ) |
N |
Fβ |
螺旋線總偏差 |
μm |
FβX |
初始當量嚙合齒向誤差(跑合前) |
μm |
G |
確定YF的輔助值 |
- |
H |
確定YF的輔助值 |
- |
J*1,2 |
小輪、大輪單位齒寬的轉動慣量 |
kg/mm |
K |
確定KV的常數 |
- |
KV |
動載系數 |
- |
KA |
使用系數 |
- |
KFα |
彎曲強度計算的齒間載荷分配系數 |
- |
KFβ |
彎曲強度計算的齒向載荷分布系數 |
- |
KHα |
接觸強度計算的齒間載荷分配系數 |
- |
KHβ |
接觸強度計算的齒向載荷分布系數 |
- |
Kγ |
嚙合載荷系數(考慮對于多分支傳動,各嚙合副間載荷的不均勻分布) |
- |
K1,2 |
常數 |
- |
K′ |
相對轉矩輸入端的小輪偏置常數 |
- |
L |
危險載面上的齒根弦齒厚與載荷作用于單對齒嚙合區外界點處的彎曲力臂的比值 |
- |
N |
臨界轉速比 |
- |
NF |
指數(或冪) |
- |
NL |
載荷循環次數 |
- |
NS |
主共振區的臨界轉速比 |
- |
M1,2 |
確定ZB,D的輔助值 |
- |
P |
傳遞功率 |
kW |
Pmax |
最大傳遞功率 |
kW |
Ra |
算術平均粗糙度(按照ISO4287:1997)的規定 |
μm |
Rz |
平均峰谷粗糙度(按照ISO4287:1997)的規定 |
μm |
Rz10 |
齒輪平均峰谷粗糙度 |
μm |
SF |
彎曲強度的計算 |
- |
SFmin |
彎曲強度的最小安全系數 |
- |
SH |
接觸強度的計算安全系數 |
- |
SHmin |
接觸強度的最小安全系數 |
- |
T1,2 |
小輪轉矩(名議的)、大輪轉矩 |
Nm |
Tmax |
最大轉矩 |
Nm |
YF |
齒形系數 |
- |
YN |
彎曲強度計算的壽命系數 |
- |
YNT |
在標準試驗條件下彎曲強度計算的壽命系數 |
- |
YRrelT |
相對齒根表面狀況系數 |
- |
YS |
應力修正系數 |
- |
YX |
彎曲強度計算的尺寸系數 |
- |
Yβ |
彎曲強度計算的螺旋角系數 |
- |
YδrelT |
相對齒根圓角敏感系數 |
- |
Yε |
彎曲強度計算的重合度系數 |
- |
Zv |
速度系數 |
- |
ZB,D |
小輪、大輪單對齒嚙合系數 |
- |
ZE |
彈性系數 |
|
ZH |
節點區域系數 |
- |
ZL |
潤滑劑系數 |
- |
ZN |
接觸強度計算的壽命系數 |
- |
ZNT |
標準試驗條件下接觸強度的壽命系數 |
- |
ZR |
影響接觸強度的粗糙度系數 |
- |
ZW |
齒面工作硬化系數 |
- |
ZX |
接觸強度計算的尺寸系數 |
- |
Zβ |
接觸強度計算的螺旋角系數 |
- |
Zε |
接觸強度計算的重合度系數 |
- |
αen |
當量直齒輪單對齒嚙合區外界點處的壓力角 |
(°) |
αn |
法面壓力角 |
(°) |
αt |
端面壓力角 |
(°) |
αwt |
節圓柱上的端面壓力角 |
(°) |
αFen |
當量直齒輪單對齒嚙合區外界點處的載荷作用角 |
(°) |
αpn |
圓柱齒輪基本齒條法向壓力角 |
(°) |
β |
分度圓柱上的螺旋角 |
(°) |
βb |
基圓螺旋角 |
(°) |
γe |
確定σFen的輔助角 |
(°) |
δbth |
齒寬載荷均勻分布條件下相嚙輪齒的綜合變形 |
μm |
εα |
端面重合度 |
- |
εαn |
當量齒輪的端面重合度 |
- |
εβ |
縱向重合度 |
- |
εγ |
總重合度(εγ=εα+εβ) |
- |
ν |
泊松比 |
- |
θ |
確定YF的輔助值 |
- |
ρa0 |
刀具的頂圓半徑 |
mm |
ρfp |
圓柱齒輪基本齒條的齒根圓角半徑 |
mm |
ρrel |
相對曲率半徑 |
mm |
ρF |
危險截面處齒根圓角半徑 |
mm |
ρ′ |
滑動層厚度 |
mm |
σB |
抗拉強度 |
N/mm2 |
σF |
齒根應力 |
N/mm2 |
σFlim |
試驗齒輪的彎曲疲勞極限 |
N/mm2 |
σFE |
材料的彎曲疲勞極限=σFlim·YST(YST=2) |
N/mm2 |
αFG |
齒根應力極限 |
N/mm2 |
αFP |
許用齒根應力 |
N/mm2 |
αFO |
計算齒根應力基本值 |
N/mm2 |
αH |
計算接觸應力 |
N/mm2 |
αHlim |
試驗齒輪接觸疲勞極限 |
N/mm2 |
αHG |
修正的許用接觸應力極限=σHPSHmin |
N/mm2 |
αHP |
許用接觸應力 |
N/mm2 |
αH0 |
計算接觸應力基本值 |
N/mm2 |
αS |
屈服點 |
N/mm2 |
α0.2 |
0.2%彈性極限應力 |
N/mm2 |
X* |
齒根圓角內相對應力梯度 |
mm-1 |
X P * |
平滑拋光試驗件的相對應力梯度 |
mm-1 |
XT* |
標準拋光試驗件的相對應力梯度 |
mm-1 |
ω1,2 |
小輪、大輪的角速度 |
rad/s |
a對于外齒輪副,a、u、z1與z2為正值,對于內齒輪副,a、u、和z2的負值,z1為正值。 |
4應用
4.1設計、具體應用
4.1.1概述
齒輪設計人員必須認識到各種應用場合的要求是不相同的。對具體應用場合,使用本標準的方法時,特別需要仔細考慮所有適用條件,尤其是:
——材料的許用應力與載荷循環次數;
——失效百分率的影響(失效率);
——適當的安全系數。
為避免齒面上因應力提升裝置的發生折斷的設計條件,端頂修緣以及齒坯輻板或輪轂的失效,應該用普通機械設計方法分析。
對以下內容有任何改變,應在計算書中說明:
a)如果希望有一個精確的計算方法,或由于任何原因在4.1中的限制條件不適用,則相關的系數可按照基礎標準或其他應用標準評價。
b)由可靠經驗而得到的系數與試驗數據可用以替代根據本標準得到的各個系數。關于這一點,適用于ISO6336-1:1996的4.1.8.1中A法的準則。
另一方面,承載能力計算在任何情況下應嚴格按照本標準執行,應力、安全系數等的分等應與本標準一致。
本標準適用以下形式的工業傳動裝置。
——產品目錄所列閉式傳動裝置:設計時按名義載荷計算,按產品目錄 所列或為存銷售。設計時實際載荷與運行條件并不完全知道。
注:對每種應用情誤解的實際載荷要進行計算,以選擇產品目錄中相應尺寸的裝置。經常用根據類似應用經驗確定的選擇系數來降低產品目錄所列的功率檔次,以適應應用條件。
——用戶的設計和傳動裝置:針對一種特定的場合。在些情況下,設計時其運行條件已知或被規定。
當齒坯、軸和轂配合聯結、軸承、箱休、螺紋聯結、地基及聯軸器等都滿足精度、承載能力和剛度的要求時,才可應用本標準。
雖然本標準在敘述的方法主要目的在于校核,借助于迭代法,它也可用以確定齒輪的載荷能力。對于小輪來說,選擇一種載荷半計算其抗點蝕的相應安全系數SH1來表達迭代的目的。如果SH1大于SHmin,可增加載荷;如果小于SHmin,則降低載荷。這樣做到所選載荷相當于SH1=SHmin為止。對于大輪采用同樣方法(SH2=SHmin),抗輪齒折斷的安全系數也一樣,SF1=SF2=SFmin。
4.1.2齒輪參數
本標準適用于下列范圍。
a)齒輪類型
——外齒和內齒漸開線直齒、斜齒及雙斜齒齒輪;
——對于雙斜齒齒輪,假定總的切向載荷在兩條螺旋線間均勻分布;若不是這種情況(例如由于外部施加的軸向力所引起的),必須考慮將兩條螺紋線處理為兩個并聯的單斜齒齒輪。
b)速度范圍
——n1低于或等于3600r/min(供電頻率60HZ,兩極電機的同步速度)1)(1)對于更高的速度,應使用ISO 6336:1996或JB/T8830-2001);
——工作轉速低于臨界轉速范圍(見5.6中KV);
——在速度v<m/s時,齒輪承載能力通常受磨損的限制。
a)齒輪精度
——根據GB/T10095.1-2001,精度等級為10級或10級以上(影響KV、KHα與KHβ)
b)當量直齒輪副端面重合度范圍
——1.2<εαn<1.9(影響c′、cγ、KV、KHβ、KFβ、KHα和FFβ)
c)螺旋角范圍:
——β小于或等于30°(影響cγ、KV和KHβ)
4.1.3小齒輪與小齒輪軸
本標準適用于與軸形成一體的小齒輪(軸齒輪)或SR/d1≥0.2的帶孔小齒輪(影響c′、cγ、KV與KHβ)。假定帶孔的小齒輪安裝在實心軸上或dshi/dsh<0.5的空心軸上(影響KHβ)。
4.1.4齒坯、輪緣
所給公式適用于齒根以下最小輪緣厚度為SR>3.5mn的直齒輪和斜齒輪。KHβ的計算是假定齒輪和軸有足夠的剛度,它們的變形可以略去。
4.1.5材料
包括鋼、球墨鑄鐵及灰鑄鐵(ZE、σHlim、σFE、Kr、KHβ、KFβ、KHα、KFα)。在本標準中使用的材料與它們的縮略語見表2。
材料 |
縮略語 |
鋼(σB≥800N/mm2)
鑄鋼(合金的或碳的)(σB≥800N/mm2)
調質鋼(合金的或碳的),調質處理(σB≥800N/mm2)
灰鑄鐵
球墨鑄鐵(珠光體,貝氏體,鐵素體組織)
黑色可鍛鑄鐵(珠光體組織)
表面硬化鋼,表面硬化外理
鋼與球墨鑄鐵,火焰或感應淬火處理
氮化鋼,氮化處理
調質與表面硬化鋼,氮化處理
調質與表面硬化鋼,氮碳共滲處理 |
St
St(cast)
V
GG
GGG(perl,bai,ferr.)
GTS(perl.)
Eh
IF
NT(nitr.)
NV(nitr.)
NV(nitrocar.) |
4.1.6潤滑
本計算方法適用于在齒輪嚙合時具有足夠的適當黏度的潤滑劑的油潤滑齒輪,且有適當的工作溫度(影響潤滑油膜的形成,也即系數ZL、ZV及ZR)。
4.2安全系數
必須對點蝕的安全系數SH和輪齒折斷的安全系數SF加以區別。
對于給定的應用場合,足夠的齒輪承載能力是分別用SH和SF的計算值等于或大于SHmin和SFmin的值表示的。
安全系數值的選擇應基于對所用數據的可靠度及失效造成的后果。
考慮的重要因素如下:
a) GB/T8539-2000中材料疲勞極限是失效概率為1%時得到的;
b) 在整個制造過程中所規定的質量與質量控制的有效性;
c) 工作載荷與外部載荷描述的精確度;
d) 通常認為斷齒比點蝕造成的危害更大。
因此,SFmin的先用值應比SHmin的選用值更大。
實際安全系數的計算,見6.15(SH,點鍘)與7.1.4(SF,輪齒折斷)。最小安全系數見6.12(點蝕)與7.9(輪齒折斷)。然而,建議安全系數最小值應由供需雙方協商一致。
4.3輸入數據
為了計算應給出下數據:
a) 齒輪數據
a,

,

,m
n,d
1,d
a1,d
a2,b,b
H,b
F,x
1,x
2,α
n,β,ε
α,ε
β(見GB/T 1356、GB/T1357),(b,b
H與b
F的定義,見4.4);
b) 刀具基本齒條齒廓
ha0,ρa0;
c) 設計與制造數據
Ca1,Ca2,fpb,SHmin,SFmin,Ra1,Ra2,R ,R ;
材料、材料硬度與熱處理的詳細資料;齒輪精度等級,軸承跨距l,齒輪相對于軸承的位置,小輪軸的尺寸dsh及需要時的螺旋線修形(鼓形,齒端修緣);
d) 功率數據
P或T或Ft,n1,v1,原動機和工作機的詳細情況。必要的幾何數據可根據相關資料計算。
供需雙方之間交換的資料應包含給定材料的優選、潤滑、安全系數以及由于振動與過載引起的外部作用力(使用系數)。
4.4齒寬
下面這些齒寬必須區別開來。
——b:在節圓上測量的小輪與大輪齒寬中的較小者(對雙斜齒輪,bH=2bB)。齒端部倒棱與倒圓應該略去。在齒寬方向接觸不良時,應使用接觸齒寬的長度。
——bH:在齒輪節圓柱上的寬度(對雙斜齒輪,bH=2bB)。當齒寬bH大于與它相嚙齒輪的齒寬時,bH應使用較小的齒寬,忽略任何有意的齒端倒棱和齒端齒圓。不包括表面硬化齒輪的百硬化區和過渡區。在齒寬方向接觸不良時,應使用接觸齒寬的長度。
——bF:齒輪齒根圓柱上的齒寬(對雙斜齒輪,bH=2bB)。當齒寬bF大于與它相嚙齒寬時,bF應使用較小齒寬加一個長度,該長度不超過每端任一延伸部分的一個模數。然而如果預見到由于修鼓形或齒端修緣面嚙合不擴展到齒寬端部,則應使用小輪與大輪兩者之間的較小齒寬。在齒寬方向接觸不良時,應使用接觸齒寬的長度。
4.5數字公式
所有的計算均用第3章表列的各單位,促進本標準使用的資料在ISO6336-1:1996的附錄C 中提供。
5影響系數
5.1概述
影響系數KV、KHα、KHβ、KFβ、KFα均取決于輪齒載荷等。用作用載荷(名義切向載荷乘以使用系數)作為最初的計算值。
這些系數相互影響,所以應按以下順序計算:
a) 用切向載荷FtKA計算KV;
a) 用載荷FtKAKV計算KHβ或KFβ;
c)用切向載荷FtKA計算KHα或KFα
當一個了輪帶動兩個或更多的相相嚙齒輪時,必須用KAKY替代KA。如果可能,嚙合載荷系數應該用檢測方法確定,或者,它的數值也可由文獻資料確定。
5.2名義切向力Ft、名義轉矩T、名義功率P
名義切向力在分度圓柱的端平面內確定。它由工作機的輸入轉矩確定,此轉矩為正常工作條件下的最大值。另一方面,當原動機的名義轉矩與工作機的轉矩一致時,可采用原動機的名義轉矩,或者選取其他合適的值。

…………………………(1)

………………………………(2)

……………………(3)

……………………(4)

……………………(5)
5.3非均勻力、非均勻轉矩、非均勻功率
當被傳遞載荷不均勻時,不僅要考慮峰值載荷及其預期的循環次數,而且考慮中等載荷及其循環次數。這種類型的載荷歸入載荷循環類并可用載荷譜來表示。在此情況下,載荷循環的累積疲勞的影響在評定齒輪裝置時要考慮。在ISO/TR10495中已給出計算此情誤解下載荷影響的方法。
5.4最大切向力Ftmax、最大轉矩Tmax、最大功率Pmax
變載荷下,最大切向載荷Ftmax(或相應的轉矩Tmax,相應的功率Pmax)的大小可用一個適當敏感度的安全離合器來限制。在計算由于加載到相當于靜應力極限而可能出現的點蝕損壞與突然斷齒的可靠性時,必須知道Ftmax、Tmax與Pmax(見5.3)。
5.5使用系數KA
5.5.1概述
為了補償由于外部因素而引起的齒輪載荷的增加,用KA來調節名義載荷Ft。這種附加的力很大程度上取決于原動機和從動機的特性,也依賴于軸和聯軸器在內的系統的質量和剛性。
建議供(或設計者)需雙方對使用系數值協商一致。
5.5.2A法——系數KA-A
KA可通過精密測量和對系統的綜合分析或根據應用現場的可靠使用經驗確定(見5.3)。
5.5.3 B法——系數KA-B
如果無法用5.5.2所述方法獲得KA的可靠數據,或在初步設計階段時,可使用附錄C給出的KA推薦值。
5.6動載系數KV
動載系數展示了把包含“多諧振”系統的內部動載影響的輪齒總載荷與傳遞的輪齒切向載荷之間的關系。
在本標準中使用了修正的ISO6336-1:1996的B法。當供需雙方協商一致時或在確定產品目錄所列閉式傳動裝置承載能力時,可用ISO6336-1:1996的E法來估算其動載系數。
在此法中,假定齒輪副由一個基本單質量彈簧系統組成(包括大、小齒輪的誘導質量和輪齒的嚙合剛度)。同時帶假定每對齒輪副像單級齒輪副一樣,即不考慮多級齒輪系統中其他各級的相互影響。這個假定僅適用于大輪和小輪軸的扭轉剛度(在齒輪基圓半徑處測量)小于嚙合剛度。剛性軸的處理方法見5.6.3與附錄A。
由軸的扭轉與聯軸器質量引起的力不包括在KV中,這些力應包含在其他外部作用力中(例如在使用系數中考慮)。
在多點嚙合齒輪系中有多個固有頻率,這些頻率可能高于或低于只有一點嚙合的單級齒輪副的固有頻率。當這樣的齒輪在超臨界區運轉時,建議用A法進行分析,見ISO6336-1:1996的6.3.1。
計算KV的單位載荷是(FtKA)/b。
若(FtKA)/b>100N/mm,則Fm/b=(FtKA)/b;
若(FtKA)/b≤100 N/mm,則Fm/b=100N/mm.
當單位載荷(FtKA)/b<50N/mm時,尤其對于在較高速度運;志的低精度等級直齒傳輸線或斜面齒輪存在著很大的振動危險(在某些情況下會造成工作齒面的脫嚙)。
5.6.2計算KV所要求的參數計算
5.6.2.1誘導質量的計算
a)單級齒輪副誘導質量mred的計算:
m
red=

……………………(6)
式中:mred——齒輪副的誘導質量,即每個齒傳輸線單位齒寬質量的誘導質量,與其基圓半徑或嚙合線有關;

——小輪及大輪單位齒寬的轉動慣量;
rb1,2——小輪及大輪基圓半徑(=0.5db1,2)。
b) 多級齒輪副誘導質量的計算
見附錄A。
c) 非常規設計齒輪的當量質量的計算
下列幾種情況見A.1.2:
——齒高中部直徑dm1大約等于軸徑的軸齒輪;
——兩個剛性聯結的同軸齒輪;
——行星齒輪;
——中間齒輪。
5.6.2.2齒輪副共振運轉速度(主共振)的確定
a)小輪的共振運轉速度nE1/(r/min):
n
E1=

……………………(7)

按附錄B確定。
b)共振轉速比N
共振轉速比N是小輪速度與共振速度之比,其計算如下:
N=

……………………(8)
由于未考慮剛度(例如軸、軸承或箱體的剛度)和阻尼,因此,共振運轉速度可能高于或低于由式(7)計算的運轉速度。由于安全的原因,共振區用下述方法確定。
Ns<N<1.15……………………(9)
載荷(FtKA)/b<100N/mm時,共振轉速比下限Ns可確定如下:
——若(FtKA)/b<100N/mm,則
N
s=0.5+0.35

……………………(10)
——若(FtKA)/b≥100N/mm,則
N=0.85……………………(11)
5.6.2.3齒輪精度與跑合參數BP、Bf、Bk
BP、Bf與Bk是用于考慮輪齒偏差與齒廓修形對動載荷影響的無量綱參數2)(2)齒頂修緣量Ca僅適用于GB/T10095.1-2001規定的0~6級精度齒輪)。
B
p=

……………………(12)
B
f=

……………………(13)
B
k=|1-

|……………………(14)
式中:

——按附錄B確定;

——設計齒廓修形量(在輪齒嚙入與嚙出處的齒頂修緣)。在沒有說明齒離修形量時,由跑合得到的C
ay值代替式(14)中的C
a,C
ay值可由表3查得。
有效基李偏差與有效齒廓形狀偏差是跑合后的值,

與

值根據相應的跑合量y
p與y
f來確定:

或

……………………(15)
取其中的較大者。

或

……………………(16)
取其中的較大者。
5.6.2.4跑合量ya
a)對于St,St(cast),V,GGG(perl.,bai.),GTS(perl.)3)
y
p=y
a=

……………………(17)
y
f=

……………………(18)
b)對于GG,GGG(ferr)3)
y
p=y
a=

……………………(19)
y
f=

……………………(20)
c)對于Eh,IF,NT(nitr.),NV(nitr.),NV(nitrocar.)3)(3)所用縮略語的說明見表2。)
y
p=y
a=

……………………(21)
y
f=

……………………(22)
5.6.3亞臨界區的動載系數(N≤Ns)
在這個區域,如果輪齒嚙合頻率符合N=1/2與N=1/3,就可能存在共振。對于精密斜齒輪或經適當修形后的直齒輪(如GB/T10095.1-2001)規定的6級精度或更高的齒輪)共振的危險性很小。
當直齒輪的重合度很小或精度較低時,KV達到主共振速度范圍內的KV值。若出現這種情況,應修改設計或運行參數。
在N=1/4、1/5時的共振由于相應的振幅一般很小,很少會引起麻煩。
對于主動軸和從動軸剛度不同的齒輪副,在N≈0.2~0.5范圍內,如果剛性軸轉化到嚙合線上的扭轉剛度C與輪齒剛度的數量級相同,即如果c/rb2和cr的數量相同時,輪齒嚙合頻率可能激勵固有頻率。此時,則動載荷增量可能超過用式(23)
計算的值。
KV=(NK)+1………………(23)
K=(CV1BP)+(CV2BF)+( CV3Bk)………………(24)
式中,Cv1與Cv2分別是考慮齒距偏差與齒廓偏差的影響,Cv3是考慮嚙合剛度的周期性變化的影響,見表3。
表3系數數Cv1~Cv3與Cv1與Cay的計算式
|
1<  ≤2 |
 >2 |
Cv1 |
0.32 |
0.32 |
Cv2 |
0.34 |
|
Cv3 |
0.23 |
|
C ay= 
注:當小輪(1)的材料和大輪(2)的材料不同時,Cay1與Cay2要分別計算,且Cay=0.5(Cay1+Cay2) |
由跑合而產生的Cay值在齒輪不規定齒廓修形的情況下,代替公式中的Ca。Ca可由表3查取。單對齒剛度c′見附錄B。
5.7接觸強度計算的齒向載荷分布系數KHβ
5.7.1概述
齒向載荷分布系數是考慮沿齒寬上載荷分布不均勻的影響。用以修正輪齒應力。
本標準采用了修正的ISO6336-1:1996的C2法,目的是為了考慮 由于小輪彈性變形與制造誤差而引起的嚙合齒向誤差的影響。
KHβ應根據跑合后總的嚙合齒向誤差計算,它包含以下兩部分:
——系統誤差 是由fsh來考慮的(因軸的變形引起的嚙合齒向誤差),而且主要是由小齒輪軸變形引起的,但基本上可包括在數量和方向上能足夠精確計算的所有機械變形。
——隨機誤差 是由fma表示的(因制造公差引起的嚙合齒向誤差)。由制造引起的實際嚙合齒向誤差的方向和數量是不能計算的,只是用制造公差限制其范圍(這與齒輪精度等級有關)。
螺旋線修形與鼓形修形的應用包括以下內容:
——螺旋線修形是導程修形,它用于調正系統誤差。理論上應用螺旋線修形是可行的,對特定的載荷可與計算的變形精確一致。所以可消除fsh對KHβ的影響,但在計算fsh時變載荷與誤差對KHβ留下殘余的影響,這必須要考慮。
——鼓形是導程修形,它是針對嚙合齒向誤差的隨機成分的最好的防御策略。因fma可以在任一方向上,鼓形修形應對稱于齒寬中部。
當設計與ISO6336-1:1996的7.2.31要求不一致或當以下任何一項對嚙合齒向誤差有重要影響時,建議使用ISO6336-1:1996的更精確方法與綜合分析法。
——彈性變形不是由齒輪嚙合力而是由外部載荷引起的(例如帶、鏈、聯軸器);
——齒輪與齒輪軸的彈性變形;
——齒輪箱的彈性變形與制造誤差;
——軸承游隙與變形;
——布置與圖2中表示的型式不同;
——指明需作更詳細分析的任何制造變形或其他變形。
當采用本法計算的KHβ值大于2.0時,通常真實的數值將小于此值。然而,若KHβ的計算值大于1.5時,應重新考慮設計(例如增加軸的剛度,改變軸承的位置,改善螺旋線的精度)。
5.7.2KHβ的計算
計算KHβ的單位載荷是(FtKAKV)/b。
若(FtKAKV)/b>100N/mm,則Fm/b=(FtKAKV)/b;
若(FtKAKV)/b≤100N/mm,則Fm/b=100N/mm;
K
Hβ=1+

……………………(25)
適用于KHβ≤2,且cy 由附錄B取得。
本標準不適用于KHβ>2的情況。
5.7.3跑合后的嚙合齒向誤差Fβy
Fβy=Fβx-yβ……………………(26)
式中:
,,
Fβx——跑合前的嚙合齒向誤差(見5.7.4);
yβ——跑合最(見5.7.8)。
5.7.4跑合前的嚙合齒向誤差Fβx
5.7.4.1概述
Fβx是在嚙合平面內測量的制造偏差與小輪和軸的變形量總和的絕對值。
5.7.4.2用戶設計的齒輪傳動裝置(見第4章)
a)對于沒有檢驗接觸斑點位置的齒輪副4)(4)彈性變形與制造偏差可以相互補償時,具有良好的接觸斑點(見圖1的補償作用)。)
Fβx=1.33B1fsh+B2fma………………(27)
其中B1與B2可由表4獲得。
表4式(27)中使用的常數
序號 |
螺旋線修形 |
公式常數 |
類型 |
數量 |
B1 |
B2 |
1 |
無 |
- |
1 |
1 |
2 |
僅作中央鼓形修形 |
Cβ=0.5fmaa |
1 |
0.5 |
3 |
僅作中央鼓形修形 |
Cβ=0.5(fma+fsh)a |
0.5 |
0.5 |
4b |
僅作螺旋線修形 |
計算的修正形狀符合分析的轉矩 |
0.1c |
1.0 |
5 |
螺旋線修正加中央鼓形修形 |
方案2+方案4 |
0.1c |
0.5 |
6 |
齒端倒坡 |
CⅠ(Ⅱ)合適的最,見附錄D |
0.7 |
0.7 |
a 適當的鼓形修形量Cβ,見附錄D。
b 主要應用在不變載荷條件的場合。
c適用于有充分制造經驗的齒輪,否則用較高的值。 |
b)對于檢驗有良好接觸斑點的齒輪副(例如采用調整軸承方法)
Fβx=|1.33 B1fsh –fHβ5|………………(28)
式中:
fHβ5——5級精度齒輪的最大螺旋線傾斜偏差(見GB/T10095.1-2001).
對于fHβ5作減法計算是考慮到彈性變形與制造偏差的補償作用而留的余量。
圖1按照接觸斑點位置確定Fβx的規則
5.7.4.3產品目錄中的閉式傳動裝置(見第4章)
對于具用螺旋線修形與鼓形修形或沒有螺旋線修形的產品目錄中所列裝置的齒輪副使用公式(27)。這種情況下,齒輪副的位置,軸的變形、軸承、懸臂載荷均應考慮5)(5)例如,當選用系數為1.0時,產品目錄中所列齒輪箱功率為400KW,把螺旋線修形與鼓形修形用于表4中的齒輪,沒有檢驗接觸斑點,在產品目錄中所列速度下,實際傳遞的功率將小于400kw。對于400kw的情況可用式(27)計算,當實際傳遞功率低于400KW時,雖然Fβx與KHβ較高,總的輪齒應力也將較低。若將以上裝置中齒輪也用在其他的齒輪箱中可采用名義鼓形量,選擇這個鼓形量適應所有可能的位置,但不是每個功率級和位置的最佳鼓形量。對于這些情況可應用式(29)。)
另一方向,對具有適當螺旋線修形與鼓形修形的產品目錄中所列的齒輪副:
F
βx=

………………(29)
當使用式(29)時,跑合最yβ=0。
5.7.5KHβ的最小值
對于沒有螺旋線修形與鼓形修形的齒輪副,在最低速度級時KHβ的最小值為1.25(對單級減速齒輪傳動裝置也一樣),對于所有其他的速度級為1.45。
對于具用適當螺旋線修形與鼓形修形的齒輪副,在最低速度級時KHβ的最小值為1.10(對單級減速齒輪傳動裝置也一樣),對于所有其他的速度級為1.25。對于由用戶設計的傳動裝置,KHβ的最小值為1.0。
以上規定的KHβ最小值適用于各種載荷情況,包括過載的情況。
5.7.6當量嚙合齒向誤差fsh
對直齒輪與單斜齒輪:

……………………(30)
對于雙斜齒輪,fsh的計算與最靠近的被驅動或驅動載荷的軸端的螺旋有關:

……………………(31)
式中:
b =2bB
bB——單邊螺旋線寬度。
式(30)與式(31)中的K′、s與l見圖2。
在圖2中的點劃線給出的小輪表示雙斜齒輪fsh值較小的單邊螺旋線的中點位置,且為正常套裝(對于正常套裝,其支撐影響可忽略不計)。其根徑應較軸徑稍大些。
5.7.7因制造誤差產生的嚙合齒向誤差fma
由制造誤差產生的嚙合齒向誤差fma等于螺旋線公差fHβ:
fma=fHβ……………………(32)
取大輪和小輪中的較大值。理論上,可能會出現小輪、大輪制造公差和軸的不對中相互疊加這種最壞的情況。例如,應該用接觸斑點控制來修正載荷的分布。
圖2計算fsh時,公式(30)與公式(31)中的常數K′
5.7.8跑合最yβ
a)對于St,St(cast),V,GGG(perl.,bai.)及GTS(perl.)6):

……………………(33)
式中:

當

:沒有限制;
當5m/s〈

:上限為

=25600/

,相當于F
βX=80μm;
當

>10m/s:上限為

=12800/

,相當于F
βX=40μm。
b)對于GG與GGG(ferr.)6)(6)所用縮略語的說明見表2。)

=0.55F
βX……………………(34)
當

:沒有限制;
當5m/s <

:上限為

=45μm,相當于F
βX=80μm;
當

>10m/s:上限為

=22μm,相當于F
βX=40μm。
c)對于Eh,IF,NT(nitr.),與NV(nitrocat.)6)(所用縮略語的說明見表2。)

=0.15F
βX……………………(35)
對所有的速度,上限為

=6μm,相當于F
βX=40μm;
當大、小輪材料不同時,小輪的

與大輪的

應分別確定。
取兩者的平均值,用于計算:

……………………(36)
5.8彎曲強度計算的了向載荷分布系數


……………………(37)
若b/h≥3,則
N
F=

………………(38)
或b/h<3,則
NF=0.6923……………………(39)
式中:
b——齒寬(見4.4節)
h——從齒頂到齒根的輪齒高度:h=(da-df)/2。
5.9齒間載荷分配系數

、
5.9.1概述
齒間載荷分配系數是考慮幾對同時嚙合的輪齒之間的載荷分配不均勻的影響。其值按下述方法確定7):(7)式(40和式(41)基于這樣假定,即符合規定的齒輪精度的基節偏差,且是沿小輪和大輪的圓周正常分布。當輪齒具有某種故意的偏差時,它們是不適用于的。)
a) 總重合度ε
γ≤2的齒輪的

與

值

……………………(40)
b) 總重合度ε
γ>2的齒輪的

與

值

……………………(41)
式中:

——嚙合剛度,按附錄B確定;

——取大、小輪基節偏差中的較大值;當齒廓修形補償實際載荷極下的輪齒變形時,可以用其公差50%
8);(基節偏差 考慮了影響齒間載荷系數的所有輪齒偏差的總影響。然而,如果齒廓形狀偏差 大于基節偏差時,用齒廓形狀偏差代替基節偏差。)

——跑合留量,見5.9.4;

——在端平面內確定的切向載荷,F
tH=F
tK
AK
VK
Hβ。
5.9.2

的限制條件
按照公式(40)或式(41),
…………………(42)
5.9.3

的限制條件
按照公式(40)或式(41),
…………………(43)
式中:

……………………(44)

由公式(95)確定。
根據式(42)和式(43)的限制值,假定載荷最不利的分布為整個切向載荷僅用一對嚙合輪齒傳遞。
此外,建議在選擇斜齒輪的精度時,應使

與

不大于

,因此,必須限制低精度等級齒輪的基節偏差。
5.9.4跑合量


值是在運轉初期由于跑合使初始基節偏差減小的量;

不考慮作為生產過程一部分的控制手段(例如研磨)面跑全到任意程度的余量。在考慮齒輪質量時,應考慮這種調整。
跑合量

可用式(45)~式(48)計算。
a) 對于St,St(cast),V,GGG(perl.,bai.)與GTS(perl.)9):(縮略語的說明見表2。)

………………(45)
當

:沒有限制;
當5m/s 〈

:上限為

=12800/

,相當于

=80μm;
當

>10m/s:上限為

=6400/

,相當于

=40μm。
b)對于GG與GGG(ferr.)9)(9)縮略語的說明見表2。)

=0.275

……………………(46)
當

:沒有限制;
當5m/s 〈

:上限為

=22μm,相當于

=80μm;
當

>10m/s:上限為

=11μm,相當于

=40μm。
c)對于Eh,IF,NT(nitr.),與NV(nitrocat.)9)(縮略語的說明見表2。)

=0.075

……………………(47)
對所有的速度沒有限制的情況下,上限為

=3μm,相當于

=40μm;
當材料不同時,

應由小輪材料確定,

由大輪材料確定。計算時使用平均值。

……………………(48)
6齒面接觸強度(點蝕)計算
6.1基本公式
6.1.1概述
接觸強度計算基于節點或單對齒嚙合區內界點(下界點)處的接觸應力

,用兩者中的較大值計算承載能力。

值與許用接觸應力

對于大小齒輪應分別計算;

應小于或等于

。
6.1.2小輪接觸應力

的確定
小輪接觸應力

計算如下:

……………………(49)

……………………(50)
式中:

——節點處計算接觸應力的基本值,即無缺陷(無誤差)齒輪傳動在靜態名義轉矩作用下引起的應力;
bH——齒寬(見4.4);
ZB——小輪的單對齒嚙合系數(見6.2);
對于內齒輪取負號。
6.1.3大輪接觸應力

計算如下:

……………………(51)
式中:
ZD——大輪的單對齒嚙合系數(見6.2)。
大多分運河傳動的齒輪系、行星齒輪系或分流式齒輪系的情況下?偳邢蜉d荷在各單個嚙合處上并不完全均勻分布(取決于設計、切線速度與制造精度)。因此,在式(49)和式(51)中用KrKA替代KA,以調整每個嚙合處的平均切向載荷(見第5章)是必要的。
6.1.4許用接觸應力

的確定
6.1.4.1方法
本標準采用ISO6336-2:1996中的B法。

……………………(52)
6.1.4.2許用接觸應力(參考)

許用接觸應力(參考)

是由式(52)在Z
N=1及適當的

值下得出的。
6.1.4.3許用接觸應力(靜態)

是根據式(52)按照6.8關于靜態應力的Z
N=Z
NT及

的相應值下確定。
6.1.4.4許用接觸應力(10
10循環次數)

是根據式(52)按照6.8關于載荷循環次數為10
10時的Z
N=Z
NT及

的相應值下確定。
6.1.4.5有限壽命或長壽命許用接觸應力
有限壽命的范圍是載荷循環次數NL處于表6所列相應參考許用應力值和載荷循環次數為1010之間(見表3)。
——在有限壽命范圍內,對于一個給定的載荷循環次數N
L的

在按6.1.4.2得到的參考強度值與根據6.1.4.3得到的靜態強度之間用圖解或計算插值法(按log-log雙對數坐標)確定。
——在長壽命范圍內,對于一個給定的載荷循環次數N
L的

在按6.1.4.2得到的參考強度值與根據6.1.4.4取得的載荷循環次數為10
10的值之間用圖解或計算插值法(按log-log雙對數坐標)確定。
對于載荷循環次數多于10
10的許用接觸應力值

尚未建立。
6.1.5接觸強度的安全系數SH
大小輪的安全系數SH應分別計算。
S
H=

……………………(53)
式中:

——是根據式(52)和6.14確定的參考應力與靜態應力;

對于小輪按照式(49)確定,對于大輪按式(51)確定(見6.1)。
注:這是接觸應力(赫茲應力)的計算安全系數。相應的轉矩安全系數為SH。
接觸強度的最小安全系數SHmin見6.12。
圖3 關于有限壽命與長壽命許用接觸應力的圖形確定
6.2小輪、大輪單對齒嚙合系數ZB、ZD
當ZB>1或ZD>1時,系數ZB與ZD用以將直齒輪節點上接觸應力分別轉換為小輪和大輪單對齒嚙合區下界點處的接觸應力,見6.1.1。
a) 內齒輪
ZD取為1.0。
b) 直齒輪
M
1(用小輪單對齒內界點(下界點)處

除以節點處

的商)與M
2(用大輪的

除以

商)可由下述式子確定。
M
1=

……………………(54)
M
2=

……………………(55)
齒廓重合度εα的計算,見6.5.2。
若M1>1,取ZB=M1;若M1≤1,取ZB=1.0;
若M2>1,取ZD=M2;若M2≤1,取ZD=1.0。
c) εβ≥1的斜 輪
ZB=ZD=1
d) εβ<1的斜齒傳輸線
ZB與ZD由直齒與εβ≥1的斜齒輪傳動之間線性插值確定:
ZB=M1-εβ(M1-1); ZB≥1
………………(56)
ZD=M2-εβ(M2-1); ZB≥1
當ZB或ZD為1,用式(49)或式(51)計算的接觸應力是節圓柱上的接觸應力值。當節點處于嚙合線上時,用6.2的方法計算接觸應力。若節點C是限定的,并處在嚙合線之外時則ZB和ZD按鄰近的頂圓接觸確定。對于斜齒輪,當εβ<1.0時,ZB與ZD在直齒輪與εB≥1的斜齒輪的值(在節點或鄰近的頂圓上確定)之間用線性插值法確定。
6.3節點區域系數ZH
節點區域系ZH是考慮節點處齒廓曲率對赫茲力的影響并將分度圓上的切向轉換為節圓上的法向力。
Z
H=

……………………(57)
6.4彈性系數ZE
彈性系數ZE是考慮材料特性E(彈性模量)與v(泊松比)對接觸應力影響的系數。
ZE的數值見表5。
齒輪1 |
齒輪2 |
ZE/
|
材料 |
彈性模量
|
泊桑比
V |
材料 |
彈性模量
|
泊桑比
V |
St,V,Eh,
NT(nitr.),
NV(nitr.),
NV(nitrocat.) |
206000 |
0.3 |
St,V,Eh,NT(nitr.),
NV(nitr.),
NV(nitrocat.) |
206000 |
0.3 |
189.8 |
St(nitr), |
202000 |
188.9 |
GGG(perl.,bai.,ferr.) |
173000 |
181.4 |
GTS(perl.) |
170000 |
180.5 |
GG |
126000~118000 |
165.4~162.0 |
St(cast) |
202000 |
St(nitr), |
202000 |
188.0 |
GGG(perl.,bai.,ferr.) |
173000 |
180.5 |
GTS(perl.) |
170000 |
179.7 |
GG |
118000 |
161.4 |
GGG(perl.,bai.,ferr.) |
173000 |
GGG(perl.,bai.,ferr.) |
173000 |
173.9 |
GTS(perl.) |
170000 |
173.2 |
GG |
118000 |
156.6 |
GTS(perl.) |
170000 |
GTS(perl.) |
170000 |
172.4 |
GG |
118000 |
156.1 |
GG |
126000~118000 |
GG |
118000 |
146.0~143.7 |
6.5接觸強度計算的重合度系數Zε
6.5.1概述
重合度系數Zε是考慮端面重合度與縱向重合度對圓柱齒輪齒面承載能力影響的系數。
a) 直齒輪
Z
ε=

……………………(58)
對于重合度小于2.0的直齒輪,可選用保守值Zε=1.0。
b) 斜齒輪
當εβ<1時
Z
ε=

……………………(59)
當εB≥1時
Z
ε=

……………………(60)
6.5.2端面重合度

……………………(61)
嚙合線長度

……………………(62)
上式中對外齒輪取正號,內齒輪取負號。
端面基節
Pbt=mtπcosαt……………………(63)
式(62)僅在嚙合線長度被小輪與大輪的頂圓有效限定時才有效,而且被挖根齒廓限定時是不適用的。
6.5.3縱向重合度


……………………(64)
6.6接觸強度 計算的螺旋角系數Zβ
螺旋線系數Zβ是考慮螺旋角對齒面應力的影響。

………………(65)
6.7試驗齒輪的接觸疲勞極限

GB/T8539-2000給出了常用齒輪材料、熱處理以及齒輪質量對接觸疲勞極限

的影響的有關資料,

由標準試驗齒輪的試驗結果獲得。
質量等級ML、MQ、ME與MX對熱處理的要求見GB/T8539-2000。
除非另有協議,工業齒輪選用材料質量等級MQ。
6.8接觸強度計算的壽命系數ZNT
本標準使用ISO6336-3:1996的B法。表6中列入了ZNT的數值。
材料a |
載荷循環數 |
壽命系數ZNT |
St,St(cast),V,
GGG(perl.,bai.),
GTS(perl.),
Eh,IF
僅當一定程度的點蝕可允許時 |
NL≤6×105(靜態) |
1.6 |
NL=107 |
1.3 |
NL=109(參考) |
1.0 |
NL=1010 |
ME,MX:1.0b |
MQ:0.92 |
ML:0.85 |
St,St(cast),V,
GGG(perl.,bai.),
GTS(perl.),
Eh,IF
不允許有點蝕 |
NL≤105(靜態) |
1.6 |
NL=5×107 |
1.0 |
NL=1010 |
ME,MX:1.0b |
MQ:0.92 |
ML:0.85 |
GG,GGG(ferr.),
NT(nitr.),
NV(nitr.)
|
NL≤105(靜態) |
1.3 |
NL=2×106 |
1.0 |
NL=1010 |
ME,MX:1.0b |
MQ:0.92 |
ML:0.85 |
NV(nitrocat.) |
NL≤105(靜態) |
1.1 |
NL=2×106 |
1.0 |
NL=1010 |
ME,MX:1.0b |
MQ:0.92 |
ML:0.85 |
a所有縮略語的說明見表2。
b建議最佳潤滑,制造與試驗。 |
6.9潤滑油膜形的影響系數ZL、ZV與ZR
6.9.1S概述
正如ISO6336-2:1996中所述,ZL是考慮潤滑劑名義黏度的影響,ZV是考慮齒面速度的影響,ZR是考慮表面粗糙對嚙合區潤滑油膜形成的影響。本標準采用的是ISO6336-2:1996的C法。
潤滑劑黏度的得選擇要適合于運轉條件(節線速度、載荷、尺寸),因此,ZL、ZV的乘積應近似為1.0。
ZR取決于與加工方法有關的齒面粗糙度。假定系數ZR基本上為常數
6.9.2基準強度與長壽命時的ZL、ZV、ZR乘積
——對于用滾削、插削或刨削或不符合以下三種情況的齒輪
ZL、ZV、ZR=0.85……………………(66)
——對于研磨、磨削或剃齒輪以及平均相對峰-谷粗糙度 的齒輪:

……………………(67)
ZL、ZV、ZR=0.92……………………(68)
——對于一個齒輪是滾削、插削或刨削加工相嚙齒輪為磨削或剃削,且

μm
ZL、ZV、ZR=0.92……………………(69)
——對于

μm的磨削或剃削齒輪傳動
ZL、ZV、ZR=1.0……………………(70)
6.9.3靜強度時的ZL、ZV、ZR乘積
在所有情況下,靜強度時:ZL、ZV、ZR=1.0。
6.10齒面工作硬化系數ZW
如ISO6336-2:1996所述,齒面工作硬化系數ZL是考慮由鋼制大齒輪(結構鋼,調質剛)與比大輪更硬(≈200HB或更多)并具有光滑齒面(Rz< μm,本標準不包括磨損的影響)的小齒傳輸線相嚙合,而使大齒傳輸線齒面接觸強度提高的系數。本標準采用ISO6336-2:1996的B法:
當HB<130時
ZW=1.2………………(71)
當130≤HB≤470時
Z
W=1.2-

………………(72)
當HB 時
ZW=1.0………………(73)
式中:
HB——齒輪副中較軟齒輪齒面的布氏硬度。
6.11接觸強度計算的尺寸系數ZX
ZX是考慮由統計表明因尺寸的增大使被勞損傷的應力小平降低的尺寸效應因素(在結構中有大最的薄弱點)。尺寸效應的后果是次表面的缺陷使應力梯度降低(理論應力分析)、尺寸影響材料質量(鍛造、結構變化等的影響)。重要影響因素有:
a) 材料質量(爐料、純凈度、鍛壓);
b) 熱處理、硬化深度、硬度分布;
c) 齒廓曲線半徑;
d) 模數:在齒面硬化的情況下,相對于輪齒厚度的硬化層深度(芯部支承影響)。
對于調搟齒輪在相對于輪齒尺寸、相對曲率半徑有足夠滲層深度的表面硬化齒輪,尺寸系數ZX取為1.0。
6.12接觸強度計算的最小安全系數SHmin
關于安全系數的一般敘述見第4單;接觸強度 計算的安全系數SH見6.1.5。除非供需雙方另有協議,應采用以下最小安全系數SHmin:
SHmin=1.0………………(74)
7齒根彎曲強度計算
7.1基本公式
7.1.1概述
如ISO6336-3:1996所述,齒根的拉抻應力不應超過材料的許用齒根應力。這是計算輪齒彎曲強度的基礎。
實際齒根應力σF與許用齒根應力σFp、大小輪應分別計算,σF應小于σFp。
7.1.2齒根應力σF的確定
本標準采用ISO6336-3:1996的B法。
齒根應力σF計算
σF=σF0KAKVKFβKFα≤σFP………………(75)
σ
F0=

………………(76)
式中:
σF——齒根應力的基本值,即一對無誤差齒輪在靜態名義轉矩作用下,齒根處產生的最大局部拉應力;
bF——齒寬(見4.4)。
對于多傳動分支的齒輪系(行星齒輪系或分流式齒輪系的情況下,總切向載荷不能很均勻地分布在每個嚙合副上(取決于設計、切向速度與制造精度)。需用KrKA替代式(75)中的KA,以調整單個嚙合副上的平均切向載荷,見第5章。
7.1.3許用齒根應力σFP的確定
7.1.3.1概述
用式(77)確定許用齒根應力。
σ
FP= 
…………………………(77)
7.1.3.2許用齒根應力(基準)
用式(77)計算許用齒根應力(基準)

,此時取Y
N=1,并選取適當的

、Y
X與

值。
7.1.3.3許用齒根應力(靜強度)

,此時,根據7.5的循環次數10
10,并選取適當的

、Y
X與

值。
7.1.3.4許用齒根應力(載荷循環次數10
10)
用式(77)計算許用齒根應力(載荷循環次數10
10) ,此時,根據7.5的循環次10
10,取Y
N=Y
NT,并選取適當的

、Y
X與

值。
7.1.3.5許用齒根應力(有限壽命或長壽命)
有限壽命的范圍是載循環次數NL處在相當于靜態齒根許用應力時的載荷循環次數與3×106載荷循環數之間。
——對于有限壽命范圍內一個給定的載荷循環次數N
L,確定

是用圖解或在根據7.1.3.2由基準強度得到的值與根據7.1.3.4由載荷循環次數10
10得到的值之間插值計算;
——對于長壽命范圍內一個給定的載荷循環次數N
L,確定

是用圖解或在根據7.1.3.2由基準強度得到的值與根據7.1.3.4由載荷循環次數10
10得到的值之間插值計算;
對于大于循環次數10
10的許用齒根應力

的值尚未建立。
7.1.4彎曲強度計算的安全系數SF
S
F=

……………………(78)
大小輪的S
F應分別計算,

按式(77)與7.1.3確定,

根據式(75)確定。
有關安全系數與失效概率的詳細資料見ISO 6336-1:1996的4.1.3。彎曲強度的最小安全系數見7.9
7.2齒形系數YF與應力修畫龍點睛系數YS
這兩個系數用于考慮齒形對名義彎曲應力的影響,大小輪的YF與YS分別確定。詳細資料可見ISO6336-3。
對于斜齒輪,按當量直齒輪確定YF。當量直齒輪的參數見7.2.2.4。
以下給出的公式適用于具有或沒有挖根的所有基本齒條齒廊。但需滿足下列條件:
a)30°切線的切點應位于齒根圓角處;
b)齒輪的基本齒條齒廓具有齒根圓角;
c)輪齒是用齒條刀具(如滾刀或梳齒刀)展成加工的。
7.2.2YF的確定
7.2.2.1概述
齒形系數YF由齒根危險截面的法向弦齒厚SFn與載荷作用在外齒輪齒頂的彎曲力臂hFe確定。

……………………(79)
7.2.2.2外齒輪傳動
當齒頂有倒圓或倒棱時,需用“有效頂圓直徑”dNa來代替計算中的頂圓直徑da;dNa是靠近頂圓柱面包容可用齒廓極限的圓的直徑。
首先確定輔助值E、G與H:
E=

……………………(80)
式中:

(見圖4)。
當齒傳輸線不挖根時(見圖4),
G=

……………………(81)
H=

……………………(82)
用G與H以

作為式(83)中右邊的初始值計算

。

………………(83)
用計算得出的

再代入式(83)計算

,并連續用式(83)計算直到

的值沒有明顯的改變為止。經過二或三次迭代后函數收斂。在式(84)~式(86)中,使用

的最終值。
齒根法向弦齒厚SFn:

……………………(84)
齒根圓角處的圓弧半徑

……………………(85)
彎曲力臂hFe:

………………(86)
當量齒輪的參數見7.2.2.4。
圖4刀具的基本齒條齒廓
7.2.2.3內齒輪傳動
假定用一個特殊齒條的齒形系數值近似地替代內齒輪的齒形系數。該齒條的齒廓是基本條齒廓的一種改型,它能展成內齒輪的精確配對齒輪的法向齒廓(包括齒頂圓與齒根圓),齒頂載荷角為αn。
式(79)中所用參數的值確定如下:
齒根法向弦齒厚SFn2

………………(87)
式中:

——刀具圓角半徑。
彎曲力臂hFe2

…………(88)
式中:

——由式(100)確定,參數加下標2;

——與d
an的確定方法相同(見式99);注意d
fn2-d
f2=d
n2-d
2

……………………(89)
齒根圓角半徑

當內齒輪齒根圓角半徑

為已知時,取

;當

為未知時,可按下列所似方法確定。

………………(90)
下式也是有效的:

………………(91)
式中:

——接近齒根圓的一個圓的直徑,包含嚙合副的內齒輪或較大外齒輪可用齒廓極限。
對內齒輪直徑用負號。
7.2.2.4當量齒輪的參數

………………(92)

………………(93)
近似值

………………(94)

………………(95)

………………(96)

………………(97)

………………(98)

………………(99)

………………(100)
對外齒輪

取正值,對內齒輪

取負值(見表1的腳注)。

………………(101)

………………(102)

………………(103)
7.2.3YS的確定
應力修正系數YS用式(104)計算,該公式在1≤qs≤8范圍內是有效的。
Y
S=(1.2+0.13L)

……………………(104)
L=

………………(105)
式中:

——對外齒輪用式(84),對內齒輪用式(87);

——對外齒輪用式(86),對內齒輪用式(88)。
q
s=

……………………(106)
式中:

——對外齒輪用式(85),對內齒輪用式(91)。
7.3彎曲強度計算的螺旋角系數Yβ
將當量直齒輪的齒根應力(計算的原始值)通過螺旋角系數Yβ轉換為相應斜齒輪的齒根應力,用此方法考慮斜齒輪傾斜線的影響(齒根應力偏。。
當

時

………………(107)
當

時

……………………(108)
當

時

………………(109)
當

時

………………(110)
7.4材料的彎曲疲勞極限σFE
GB/T 8539-2000提供了常用齒輪材料的σFlim與σFE的資料,也包含ML、MQ與ME質量等級對熱處理與材料質量的要求。
除非另有協議,工業齒輪采用MQ質量等級。本標準選用ISO6336-3:1996的B法。
7.5彎曲強度計算有壽命系數YNT
本標準采用ISO 6336-3:1996的B 法。YNT值由表7給出。
表7壽命系數YNT
材料a |
載荷循環數 |
壽命系數YNT |
V
GGG(perl.,bai.)
GTS(perl.) |
NL≤104(靜態) |
2.5 |
NL=3×106 |
1.0 |
NL=1010 |
ME,MX:1.0b |
MQ:0.92 |
ML:0.85 |
Eh,IF(root) |
NL≤103(靜態) |
2.5 |
NL=3×106 |
1.0 |
NL=1010 |
ME,MX:1.0b |
MQ:0.92 |
ML:0.85 |
St,St(cast),
NT(nitr.),
NV(nitr),
GG,GGG(ferr.) |
NL≤103(靜態) |
1.6 |
NL=3×106 |
1.0 |
NL=1010 |
ME,MX:1.0b |
MQ:0.92 |
ML:0.85 |
NV(nitrocar.) |
NL≤103(靜態) |
1.1 |
NL=3×106 |
1.0 |
NL=1010 |
ME,MX:1.0b |
MQ:0.92 |
ML:0.85 |
a所有縮略語說明見表2。
b建議最佳制造與試驗。 |
7.6相對齒根圓角敏感系數YδrelT
7.6.1概述
YδrelT近似地表示齒根圓角區域的應力集中程度。本標準采用的是ISO633-3:1996的B法。
7.6.2關于參考與長壽命應力的YδrelT
YδrelT可用式(111)計算
Y
δrelT=

……………………(111)
滑移層厚度

是材料的函數,可由表8查得。
表8滑移層厚度

值
材料a |
 /mm |
GG:σB=150N/mm2
GG,GGG(ferr.):σB=300N/mm2 |
0.3124
0.3095 |
NT,NV;全部硬化 |
0.1005 |
St: σB=300N/mm2
St: σB=400N/mm2 |
0.0833
0.0445 |
V,GTS,GGG(, perl.,bai.);σB=500N/mm2
V,GTS,GGG(perl.,bai.);σB=600N/mm2
V,GTS,GGG(perl.,bai.);σB=800N/mm2
V,GTS,GGG(perl.,bai.);σB=1000N/mm2 |
0.281
0.0194
0.0064
0.0014 |
Eh,IF(齒根);全部硬化 |
0.0030 |
a對所有縮略語說明見表2。 |
用式(112)計算相對應力梯度10):(應用于模數m=5mm,尺寸的影響包含在尺寸系數YX中(見7.8節)。)

………………………………(112)
標準的基準試驗齒輪的值用

值用q
sT=2.5替代q
s代入式(112)中求得。
7.6.3靜強度的YδrelT
YδrelT可用式(113)~式(117)計算。
a) 對于有較好限定屈服極限的鋼St11):
Y
δrelT=

……………………(113)
b) 對于具用平穩增加的延伸率曲線與0.2%殘余變形的鋼、V鋼與GGG(Perl.,bai.)鑄鐵11):
Y
δrelT=

……………………(114)
c) 對于以產生初始裂紋時的應力為極限應力的Eh與IF(齒根)鋼11):
YδrelT=0.44 YS+0.12……………………(115)
d)對于以產生初列裂紋時的應力為極限應力的NT, 與NV鋼11)(所用縮略語說明見表2。)
YδrelT=0.20 YS+0.60……………………(116)
e)對于以產生初列裂紋時的應力為極限奕力的GG與GGG(ferr.)鑄鐵11):
YδrelT=1.0……………………(117)
7.7相對齒根表面狀況系數YδrelT
7.7.1概述
相對齒根表面狀況系數YδrelT用于考慮齒根表面狀況對齒根應力的影響。主要取決于齒根圓角處的表面粗糙度。
表面狀況對齒根彎曲強度的影響不僅取決于齒根圓角處的表面粗糙度,而且取決于尺寸和形狀(這是缺口的缸口問題)。至今還沒有經過充分的研究數據可供在本標準中采用。這里應用的方法僅是當傷痕或類似缺陷的深度不大于2R Z 時才有效。
注:2R Z為初步估計值。
本標準使用ISO 6336-3:1996的C法。
7.7.2基準應力與長壽命應力的YRelT
對于所有材料
——當R

時
YRelT=1.0……………………(118)
——當R

時
YRelT=0.9……………………(119)
7.7.3靜強度的YRelT
對于所有材料的YRelT,與齒根圓角粗糙度無關。
RelT=1.0……………………(120)
7.8彎曲強度計算的尺寸系數YX
YX用以考慮尺寸大小對下列因素的影響:
——材料組織薄弱點的概率分布;
——應力梯度,根據材料理論,應力梯度隨著尺寸的增加而減小;
——材料質量;
——鍛造質量,缺陷的存在等。
本標準采用ISO6336-3:1996的B法。
按表9計算YX。
表9彎曲強度計算的尺寸系數YX
材料a |
循環次數 |
法向模數 |
尺寸系數YX |
St,St(cast),V,
GGG(perl.,bai),
GTS(perl.) |
3×104~1010 |
mn≤5
5<mn<30
mn≥30 |
Yx=1.0
Yx=1.03~0.0006 mn
Yx=0.85 |
Eh,IF(root),
NT(nitr.),
NV(nirt.),
NV(nirtocar) |
mn≤5
5<mn<30
mn≥30 |
Yx=1.0
Yx=1.05~0.01 mn
Yx=0.8 |
GGG,GGG(ferr.) |
mn≤5
5<mn<30
mn≥30 |
Yx=1.0
Yx=1.075~0.015 mn
Yx=0.7 |
所有材料 |
靜態 |
- |
x=1.0 |
a 對所用縮略語說明見表2。 |
7.9彎曲強度計算的最小安全系數SFmin
關于安全系數的一般概念見第4章;彎曲強度計算的安全系數SF,見7.1.4。如果供需雙方沒有其他協議,本標準使用以下彎曲強度的最小安全系數SFmin;
SFmin=1.2……………………(121)
附錄A
(規范性附錄)
非常設計齒輪的特點
A.1行星齒輪的動載系數KV
A.1.1概述
在齒輪系中,包括多點嚙合的齒輪,如惰輪與行星齒輪裝置中的行星輪與太陽輪有各種不同的自然頻率,這些頻率可能高于或低于僅有一個嚙合點的單對齒輪副的自然頻率。
雖然用本標準的公式確定的KV值可能認為不可靠,但它們可以用于初步的評定。如果可能,建議使用更精確的方法重新評估。
應優先選用ISO6336-1:1996的A法分析非常規設計齒輪。為進一步取得資料可參考ISO6336-1:1996的6.1.1節。
A.1.2外齒輪副當量質量的計算
參見5.6.2
A.1.3非常規設計齒輪中共振速度的確定
A.1.3.1概述
應用A法確定非常規設計齒輪中的共振速度,然而,其他方法也可以近似使用。下面是一些例子:
a) 軸齒輪的軸徑近似等輪齒中部的直徑;
b) 兩個剛性聯結的同軸齒輪;
c) 兩個小齒輪驅動一個大齒傳輸線;
d) 行星齒輪;
e) 惰輪(中間輪)。
A.1.3.2軸齒傳輸線的軸徑近似等輪齒中部的直徑
軸齒輪的高扭轉剛度在很大程度上由軸的質量來補撐,因此,共振速度可用常規方法,即用小齒輪(輪齒部分的質量與法向嚙合剛度cr計算)。
A.1.3.3兩個剛性聯結的同軸齒輪
計入較大齒輪的質量。
A.1.3.4兩個小齒輪驅動一個大齒輪
因大輪的質量一般比小輪的質量大很多,各對嚙合可分開考慮,即:
a) 第一個小輪與大輪構成的齒輪副;
b) 第二個小輪與大輪構成的齒輪副。
A.1.3.5行星齒輪
因為多個傳動分支包含了不只是一個嚙合剛度,行星齒輪的振動特性非常復雜,用簡公式,例如B法計算動載系數通常是不精確的。尺管如此,下面經修改過的B法可用于KV的初步估算,估算后應進行仔細的理論或實驗分析,或在使用經驗的基礎上加以驗證。也可見本附錄的引言部分。
a) 太陽輪和行星輪
確定太陽輪的共振速度nE1的誘導質量:
m
red=

……………………(A.1)
式中:

——分別為太陽輪與一個行星輪單位齒寬的轉動慣量,單位為千克·平方毫米每毫米(kg·mm
2/mm);
rbsun=0.5dbsun;
rbpla=0.5dbpla;
p——計算輪系中行星輪的個數。
由式(A.1)確定的mred值,用于計算N的公式中(見5.6.2.2),這里用的嚙合剛度cr近似等于單個行星齒輪的嚙合剛度,z1用太陽輪的齒數。
關于行星齒輪裝置,應該注意式(12)~式(14)(見5.6.2.3)中的Ft等于作用在太陽輪上的總切向力除以行星輪的個數。
b) 行星輪和固定內齒圈
在此情況下,可假定內齒圈的質量為無窮大,因此,透導質量等于行星輪的當量質量,可由下式確定:
m
red=

……………………(A.2)
c) 行星輪和轉動內齒圈
這各情況下,內齒圈的當量質量按外齒輪處理。行量輪的誘導質量可按式(A.2)計算。當內齒圈與幾個行星輪嚙合時,按A.1.3.4處理。
A.1.3.6中間輪
當驅動與被子驅動齒輪的尺寸大致楨,中間輪尺寸也大致相同或稍大時,可按下列公式近似值計算:
——誘導質量
m
red=

……………………(A.3)
——嚙合剛度

……………………(A.4)
式中:

——分別為小輪、中間輪與大輪單位齒寬的轉動慣量,單位為千克·平方毫米每毫米(kg·mm
2/mm);
——主動輪與中間輪副的嚙合剛度;

——中間輪與從動輪副的嚙合剛度(C
Y 的確定見附錄B)。0.6<N<1.5時,建議進行更精確的分析。
如果中間輪明顯大于主動輪和從動輪或主動輪和從動輪明顯小于其他兩輪時,KV按單個嚙合副分別計算,即:
——主動輪——中間輪組合;
——中間輪——從動輪組合。
根據以上計算的mred值代入式(7),以確定共振速度。
對于未提及的情況,建議進行精確分析。
附錄B
(規范性附錄)
輪齒剛度c′和cr
B.1概述
輪齒剛度表示使一對或幾對無偏差嚙合的輪1mm
齒寬上產生1μm變形量所需的嚙合線上的載荷12)。(輪齒變形可以用Ft(FmFtH)代替Fbt近似地確定。即采用相關系數將Ft轉換成Fbt(切于基圓柱的載荷),當存在不確定因素(如測量誤差)時也可不轉換)。
單對齒剛度c′是直齒輪副一對輪齒的最大剛度。它大致等于單對齒嚙合狀態下一對輪齒的最大剛度13)。(當εα>1.2時,單對齒嚙合區處界點處的c′可以假定近似于單對齒剛度的最大值。)
嚙合剛度cr是嚙合中所有輪齒剛度的平均值。
本標準使用權的ISO6336-1:1996的B法,適用于x1≥x2和-0.5≤(x1+x2)≤2的范圍。
B.2單對齒剛度c′
B.2.1 c′的計算
對于單位載荷FtKA/b≥100N/mm2:
c′=0.8

………………(B.1)
B.2.2單對齒剛度的理論值

………………(B.2)
式中:

表B.1公式(B.3)中的常數
c1 |
c2 |
c3 |
c4 |
c5 |
c6 |
c7 |
c8 |
c9 |
0.04723 |
0.15551 |
0.25791 |
-0.00635 |
-0.11654 |
-0.00193 |
-0.24188 |
0.00529 |
0.00182 |
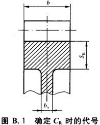
B.2.3輪坯結構系數CR
對于由實心的圓盤形輪坯制成的齒輪CR=1。對于其他的齒輪:
C
R=1+

……………………(B.4)
邊界條件:
有關代號見圖B.1。
圖B.1確定CR時的代號
B.2.4基本齒條系數CB
CB可按式(B.5)計算:
C
B=[1+0.5(1.2-

)][1-0.02(20°-α
pn)]………………(B.5)
B.2.5 附加的資料
a)內齒輪:內齒輪的單對齒剛度理論值的近似值可由公式(B.2),公式(B.3)確定,這時取

為無窮大。
b)單位載荷(FtKA)/b<100N/mm2:

………………(B.6)
c)以上情誤解是基于鋼制齒輪副,對于其他的材料組合,見ISO6336-1:1996第9章。
B.2.6嚙合剛度cγ
對于εα≥1.2的直齒輪與β≤30°的斜齒輪,其嚙合剛度:
c
γ=

(0.75 ε
α+0.25)……………………(B.7)
式中:

——根據式(B.1)確定。
附錄C
(資料性附錄)
使用系數KA的推薦值
C.1使用系數的確定
使用系數最好通過具體應用場合的實際使用經驗的分析來確定(見ISO/TR10495:1997),當無實踐經驗可用時,通過仔細的分析研究確定。
使用系數KA用以修正Ft。KA是考慮齒輪嚙合外部因素引起的附加到名義載荷上的載荷的影響系數。當不可能全面的系統分析或用合適的累積損傷準則的測量值來確定當量切向載荷時(見5.2),可使用表C.1中的經驗性指導值。
C.1使用系數的近似值
當缺乏使用經驗或無詳細的分析資料可用時,可使用表C.1中的值。使用表C.1時注意,在某些使用場合KA的值會比表(C.1)中的值高得多,已使用過的值高達10。
表C.1中的值僅用于在非共振區運行的、載荷相對穩定的傳動。如果運行中有非共振區運行的、載荷相對穩定的傳動。如果運行中有非正常重載、電機的起動轉矩大、間歇使用或嚴重的反復沖擊負荷,應當核算其靜強度和有限壽命下的承載能力(見ISO6336-1:1996、ISO-6336-2:1996、ISO6336-3:1996)。
例子:
a) 透平機械和發電機
若系統中的電流矩路,轉矩可高達名義轉矩的6倍。這樣的過載可通過安全聯軸器保護。
b) 電動機和壓縮機
若泵的頻率和扭轉振動的固有頻率相同,會產生相當大的交變應力。
c)厚板軋機和鋼坯軋機
要考慮到入軋轉矩可高達軋制轉矩的6倍。
d)用同步電動機驅動
啟動瞬時(大約10個波幅變化的時間),產生的交變轉矩可高達名義轉矩的5倍。但,這個危險的交變轉矩通常可以通過合適的調節予以完全避免。
由于尖峰轉矩的大小取決于質量彈性系統,力的作用時間和安全保護(安全聯軸器、電器的非同步轉換保護),這里給出的資料和數值通常不能使用。
因此,在重要的場合要認真進行分析。建議達成合適的協議。
在用戶的訂單中說明的使用系數應考慮作為最小要求值。
要考慮附加的轉動慣量(如飛輪效應產生的轉矩)。有時,制動轉矩是最大載荷,半影響承載能力計算。
假定使用的材料應有合適的過載能力。當使用的材料的過載能力很小時,應對尖峰載荷進的強度進行校核。
當使用的聯軸器有如下特性時——液力偶合器、彈性聯軸器和特殊的減振聯軸器——KA在中等和嚴重沖擊時的取值可以減小。
表C1使用系數KA
原動機工作特性 |
工作機工作特性 |
均勻平穩 |
輕微沖擊 |
中等沖擊 |
嚴重沖擊 |
均勻平穩 |
1.00 |
1.25 |
1.50 |
1.75 |
輕微沖擊 |
1.10 |
1.35 |
1.60 |
1.85 |
中等沖擊 |
1.25 |
1.50 |
1.75 |
2.00 |
嚴重沖擊 |
1.50 |
1.75 |
2.00 |
2.25或更大 |
表C2原動機工作特性
工作特性 |
原動機 |
均勻平穩 |
電動機(如直流電動機)、平穩運行的1)蒸汽輪機或燃汽輪機(起動力矩
很小,起動不頻繁) |
輕微沖擊 |
蒸汽輪機、燃汽輪機、液壓馬達或電動機(具有大的、頻繁的起動轉矩)2) |
中等沖擊 |
多缸內燃機 |
嚴重沖擊 |
單缸內燃機 |
a可根據振動試驗或類似設備確定。
b見GB/T 3480中壽命系數ZNT、YNT的圖。考慮瞬間過載的影響,見C2中的例子。 |
表C3工業齒輪工作機的工作特性示例
工作特性 |
工作機 |
均勻平穩 |
載荷平穩的發電機,載荷平穩的帶式或板式輸送機,螺桿輸送機,輕型升降機,
包裝機械,機床進給機械,通風機,輕型離心機,離心泵,用于輕質液體或均勻
密度物料的攪拌機、混料機,剪切機,壓力機,沖壓機1);立式傳動裝置和往復
移動齒輪裝置2) |
輕微沖擊 |
載荷非均勻平穩的帶式或板式輸送機,機床主傳動裝置,重型升降機,起重機
回轉齒輪裝置,工業或礦山用風機,重型離心機,離心泵,粘性介質和非均勻
密度物料的攪拌機、混料機,多缸活塞泵、給水泵,通用擠壓機,壓延機,回
轉窯,軋機連續的鋅帶、鉛帶軋機,線材和棒材軋機3) |
中等沖擊 |
橡膠擠壓機,連續工作的橡膠和塑料混料機,輕型球磨機,木工機械
(鋸片和車床),鋼坯軋機3),4) |
嚴重沖擊 |
挖掘機(斗輪驅動、斗鏈驅動、篩分驅動),挖土機,重型球磨機,橡膠壓軋機,
破碎機(石料、礦石),鑄造機械,重型給水泵,鉆機,壓磚機,卸載機,落砂機
,帶材冷軋機3),5),壓坯機,軋碎機。 |
a額定載荷為最大轉矩。
b額定載荷為最大啟動轉矩。
c額定載荷為最大軋制轉矩。
d轉矩受限流器限制。
e帶鋼的頻繁開裂會導致KA上升到2.0。 |
附錄D
(資料性附錄)
圓柱齒輪輪齒鼓形修形與齒端修緣量的指導值
D.1概述
良好設計的鼓形修形和齒端修緣對齒輪齒寬上載荷分布具有益的影響。設計的零件圖應該基于對齒輪的變形與制造偏差的認真考慮。如果變形較大,應將螺旋修正疊加地鼓形與齒端修緣上,但首先應將螺旋線修形設計好。
D.2鼓形量Cβ
從經驗中得出以下非強制性的規則,達到可接受的載荷分布所必需的鼓形量(見圖D.1)按如下確定。
在10μm≤Cβ≤40μm,加上制造公差5~10μm的條件下,如果齒輪不修鼓形,bcai/b值會大于1,Cβ≈0.5Fβxcv.
為避免齒端過載,取鼓形量為:
Cβ=0.5(fsh+fHβ)……………………(D.1)
實際應用中當齒輪的結構剛度使得fsh, 可以忽略,或當螺旋線修形使齒寬中部的變形得到補償時,可按下列計算:
Cβ=0.5fHβ……………………(D.2)
在10μm≤Cβ≤25μm,加上大約5~10μm的條件下,對于高精度可靠度的高速齒輪來說,以上數值的60%~70%已經足夠。見圖D.1。
圖D.1鼓形量Cβ(b)與寬度b(b)
D.3齒端修緣量CⅠ(Ⅱ)和寬度bⅠ(Ⅱ)
D.3.1 C1法
本方法是基于對沒有齒端修緣的齒輪副,當量嚙合向誤差的設定值與齒輪鼓形量的推薦值。
a) 齒端修緣量(見圖D.2)
圖D.2齒端修緣量CⅠ(Ⅱ)和寬度bⅠ(Ⅱ)
對調質齒輪:CⅠ(Ⅱ)≈Fβxcv加上制造公差5~10μm。
那么,用D.2中對Fβxcv的分析,CⅠ(Ⅱ)應近似地為:
CⅠ(Ⅱ)= fsh+1.5fHβ………………(D.3)
對表面硬化與氮化齒輪:CⅠ(Ⅱ)≈0.5Fβxcv加上制造公差5~10μm。
那么,用D.2中對Fβxcv的分析,CⅠ(Ⅱ)應近似地為:
CⅠ(Ⅱ)=0.5( fsh+1.5fHβ)+1.5fH………………(D.4)
當齒輪結構剛度使得fsh可以忽略不計,或當螺旋線修形補償時,按式(D.2)計算。
對于高精度高可靠度的切線速度齒輪,CⅠ(Ⅱ)取上述計算值的60%~70%。
c) 齒端修緣的寬度
當載荷 近似恒定和線速度較高時;取bⅠ(Ⅱ)和(0.1b)或(1.0m)兩者中的較小者。
對于變載荷,線速度為低、中速時:
brel=(0.5~0.7)b……………………(D.5)
D.3.2 C2法
本方法基于假一沿齒寬的載荷均勻分布時的齒輪副的變形:
δbth=Fm/(bcγ)……………………(D.6)
式中:
Fm=FtKAKV
對于高精度高可靠度的高切線速度齒輪,用下列公式計算:
CⅠ(Ⅱ)=(2~3)δbth……………………(D.7)
brel=(0.8~0.9)b……………………(D.8)
對于較差精度的類似齒輪:
CⅠ(Ⅱ)=(3~4)δbth……………………(D.9)
brel=(0.7~0.8)b……………………(D.10)