網絡化智能化傳動裝置在線故障診斷系統的集成
4.1 引言
故障智能診斷系統研究迄今在診斷理論和具體實踐方面都取得了較大的進展,正在逐漸形成一個獨立的研究領域,為該技術在生產實際中的廣泛應用奠定了堅實的基礎。國內外的專家學者已研制開發了一大批故障診斷專家系統,取得了一定的經濟效益和社會效益。所有這些理論研究和實踐工作表明,對于故障診斷領域大多數問題的求解,建立基于知識的診斷系統是可能的、合理的和合適的。然而,目前的研究或者偏重于診斷領域中的特定問題,如診斷模型、知識表示、推理方法等,或者偏重于系統開發過程中特定階段的具體實現技術和方法,而對故障智能診斷系統的開發和建造尚未形成具有自身特點的系統理論和科學的方法體系。
對于傳統的專家系統,我們似乎已有了一些可以借鑒的、日趨標準的開發技術和策略。然而故障診斷專家系統在工作方式上與其他工程類型的專家系統(設計型專家系統、決策型專家系統等)有較大的差異,這主要表現在診斷對象的復雜性、診斷任務的零散性、診斷理論和方法的不成熟性、診斷知識的難獲取性、診斷結果的不確定性和診斷環境的多變性等,致使在建造故障診斷專家系統時難以選擇合適的原型系統作為參考,沒有標準的開發模式可遵循,而且不能準確地預測開發過程中可能要遇到的困難及相應的解決辦法。這些因素使得智能診斷系統的建造工作極為繁瑣和困難。目前己有的故障智能診斷系統在知識庫結構、解決問題能力、深淺知識的結合、知識的獲取、容錯能力、不確定性處理等多方面存在著不同程度的缺陷,這與研制者在開發診斷系統時所采取的研制策略和方法有密切的關系。可喜的是,一些研究者已開始認識到研究開發故障智能診斷系統一般方法的重要性,并逐漸做深人的研究。從這個意義上講,加強智能診斷系統開發策略和方法的研究是十分必要的。
4.2 故障診斷的方法
設備故障診斷技術發展至今,己成為一門獨立的跨學科的綜合信息處理技術,它是以可靠性理論、信息論、控制論和系統論為理論基礎,以現代測試儀器和計算機為技術手段,結合各種診斷對象(系統、設備、機器、裝置、工程結構、工藝過程等等)的特殊規律而逐步形成的一門新興學科。大體上由三個部分組成,第一部分為故障診斷物理、化學過程的研究;第二部分為故障診斷信息學的研究;第三部分為診斷邏輯與數學原理方面的研究。設備故障診斷技術從不同的角度出可以分成兩大類:基于數學模型的故障診斷方法和基于人工智能的故障診斷方法。每類又包含著干具體的診斷方法,如圖4.1 所示。

1)基于數學模型的故障診斷方法
該方法包括基于直接測量系統輸入輸出及信號處理的方法、基于狀態估計的方法和基于過程參數估計的方法。
A.基于直接測量系統輸入輸出及信號處理的方法是直接測量被診斷對象有關的輸出量,如果輸出量超出規定的正常變化范圍則可以認為對象已經或將要發主故障。這種方法也叫觀測器法,雖然方法簡單,但容易出現故障的誤判和漏判。
B.基于狀態估計的方法是通過估計系統的狀態并結合適當模型進行故障診斷。首先重構被診斷過程的狀態,并構成殘差序列,殘差序列中包含各種故障信息。基于這個序列,通過構造適當的模型并采用統計檢驗法,才能把故障從中檢測出來并做進一步的分離、估計和決策。狀態估計的方法通常是狀態觀測器及濾波器。
C.基于過程參數估計的方法與基于狀態估計的診斷方法不同,它不需要計算殘差序列,而是根據參數變化的統計特性來檢測故障的發生,而后進行故障分離、沽計和分類。由于可以建立故障與過程參數的精確聯系,因此這種方法比基于狀態估計的方法更有利于故障的分離。最小二乘法簡單實用,是參數估計的首選方法。
基于數學模型的故障診斷方法,其優點是能深人系統本質的動態性質和實現實時診斷,缺點是當系統模型未知、不確定或具有非線性時,這種方法不易實現。
2)基于人工智能的故障診斷方法
該方法包括基于專家系統的方法、基于案例的診斷方法、基于模糊數學的方法、基于人工神經網的方法和基于故障樹的方法。
A.基于專家系統的診斷方法是故障診斷領域中最為引人注目的發展方向之一,也是研究最多、應用最廣的一類智能診斷技術。它大致經歷了兩個發展階段:基于淺知識(領域專家的經驗知識)的故障診斷系統和基于深知識(診斷對象的模型知識)的故障診斷系統。
基于案例的推理方法能通過修訂相似問題的成功結果來求解新問題。它能通過將獲取新知識作為案例來進行學習,不需要詳細地診斷對象模型。在這種推理方法中,主要的技術包括:案例表達和索引、案例的檢索、案例的修訂、從失敗中學習等。基于案例的診斷方法的原理是,對于所診斷的對象,根據其特征從案例庫中檢索出與該對象的診斷問題最相似匹配的案例,然后對該案例的診斷結果進行修訂作為該對象的診斷結果。
B.基于案例的診斷方法適用于領域定理難以表示成規則形式,而易表示成案例形式并且已經積累了豐富的案例的領域(如醫學診斷等)。它的局限性是:傳統的基于案例的診斷方法難以表示案例之間的聯系;對于大型案例庫進行檢索非常費時,并且難以決定應選擇哪些癥狀及它們的權重;基于案例的診斷方法難以處理案例修訂時的一致性檢索(特征變量間的約束關系),難以對診斷結果加以解釋。
C.基于人工神經網的方法
近年來,神經網絡以其獨特的容錯、聯想、推測、記憶、自適應。自學習和處理復雜多模式等優點,在許多學科中掀起了研究的熱潮。同樣在故障診斷領域,其發展前景也是十分樂觀的。
在知識獲取上,神經網絡的知識不需要由知識工程師進行整理、總結以及消化領域專家的知識,只需要用領域專家解決問題的實例或范例來訓練神經網絡;在知識表示方面,神經網絡采取隱式表示,在知識獲取的同時,自動產生的知識由網絡的結構和權值表示,并將某一問題的若干知識表示在同一網絡中,通用性強,便于實現知識的自動獲取和并行聯想推理。在知識推理方面,神經網絡通過神經元之間的相互作用來實現推理。目前在許多領域的故
障診斷系統中己開始應用,如在化工設備、核反應堆、汽輪機、旋轉、機械和電動機等領域都取得了較好的效果。由于神經網絡從故障事例中學到的知識只是一些分布權重,而不是類似領域專家邏輯思維的產生式規則,因此診斷推理過程不能夠解釋,缺乏透明度。
D.基于模糊數學的診斷方法不需要建立精確的數學模型,適當地運用隸屬函數和模糊規則,進行模糊推理就可以實現模糊診斷的智能化。但是,對于復雜滋診斷系統,要建立正確的模糊規則和隸屬函數是非常困難的,而且需要花費很長的時間。對于更大的模糊規則和隸屬函數集合而言,難以找出規則與規則之間滋關系,也就是說規則有“組合爆炸”現象發生。另外由于系統的復雜性。耦合性,由時域、頻域特征空間至故障模式特征空間的映像關系往往存在著較強的非線性,這對隸屬函數形狀不規則,只能利用規范的隸屬函數形狀來加以處理,如用三角形、梯形或直線等規則形狀來組合予以近似代替,從而使得非線性系統的診斷結果不夠理想。
E.基于故障樹的方法是由計算機依據故障與原因的先驗知識和故障率知識自動輔助生成故障樹,并自動生成故障樹的搜索過程。診斷過程從系統的某一故障開始,沿著故障樹不斷提問“為什么出現這種現象?”而逐級構成一個遞階故障樹,通過對此故障樹的啟發式搜索,最終查出故障的根本原因。在提問過程中,有效合理地使用系統的實時動態數據將有助于診斷過程的進行。基于故障樹的診斷方法類似于人類的思維方式,易于理解,在實際中應用較多,但大多與其它方注結合使用。
4.3 智能分析系統的基本設計思想和組成
4.3.1 故障智能診斷系統的基本設計思想
隨著人工智能技術的迅速發展,特別是知識工程、專家系統和人工神經網絡在診斷領域中的進一步應用,迫使人們對智能診斷問題進行更加深入與系統地拼究。所謂診斷系統的智能就是它可有效地獲取、傳遞、處理、再生和利用診斷育息,從而具有對給定環境下的診斷對象進行成功狀態識別和狀態預測的能力。但是診斷系統的智能并不意味著完全代替人的智力活動,將人排斥于診斷系統之外。實踐證明,任何人工智能系統的研究,都不能完全擺脫人腦對系統的參與,只能是“人幫機”和“機幫人”。人是智能系統的重要組成部分。由此,可以這樣來定義智能診斷系統:
它是由人(尤其是領域專家)、當代模擬腦功能的硬件及其必要的外部設備、物理器件以及支持這些硬件的軟件所組成的系統。該系統以對診斷對象進行狀態識別與狀態預測為目的。顯然,該定義下的智能診斷系統具有以下特點:(1)它是一個開放的系統,系統的能力在實際使用的過程中,在同環境進行信息交互的過程中不斷進化,且具備自我提高的潛能。(2)它是由計算機硬件與軟件組成的系統,但又不同于常規的計算機程序系統,不具有確定的算法和程序途徑。智能診斷系統是根據診斷過程的需要搜索和利用領域專家的知識及經驗來達到診斷的目的。(3)它既是一個人工智能系統,離不開模擬人腦功能的硬件設備及軟件,另一方面又不排斥人的作用,同時對硬件并不僅僅限制為今天的馮·諾依曼式傳統計算機。
4.3.2 故障智能診斷系統平臺的基本組成
本文使用的智能診斷系統平臺是較為實用的圖形化智能故障診斷平臺,作為通用的智能化診斷系統平臺,其設計思想是:將人類的思維能力、系統的物理規律和數學模型有機地結合,更好、更靈活地表征系統各個狀態,力圖在得到足夠好的專家知識的基礎上,依靠優化和學習,調整專家知識、調整推理結構。系統將人工智能的最新技術有機的融合,具有很強的通用性、適應性、容錯性及易實現性,同時,特有的圖形化模糊神經網絡專家知識表達方式、分布式并行運行能力、迅速的推理及優化和遠程分析能力,使系統達到了較高的智能化水平。智能診斷系統平臺包括了三種推理引擎和一個專家知識庫(如圖4.2所示)。三種推理引擎是:

(1)模糊邏輯推理引擎;(2)專家規則推理引擎;(3)神經網絡推理引擎;對智能診斷系統平臺構成的科學性,我們可以從如下三個方面來解釋:
a.專家系統和模糊邏輯的知識處理,模擬的是人的邏輯思維,人工神經網絡的知識處理所模擬的則是人的經驗思維機制;在人類自身的思維過程中,邏輯思維、經驗思維、創造性思維是缺一不可并且是非常巧妙地互相結合而形成的有機整體。
b.模糊診斷是根據模糊集合論征兆空間與故障狀態空間的與故障狀態空間的某種映射關系,由征兆來診斷故障。
c.由于神經網絡具有原則上容錯、結構拓撲魯棒、聯想、推測、記憶、自適應、自學習、并行和處理復雜模式的功能,使其能在實際存在著大量的多故障、多過程、突發性故障、龐大復雜系統的監測及診斷中發揮出較大作用。
4.3.3 故障智能診斷系統平臺的主要技術
系統的主要技術包括:智能化推理算法、數據處理器、圖形化模糊神經網絡專家知識庫、綜合的動態聯接庫數據通訊模塊。
智能化推理算法:系統巧妙地將專家系統推理機、神經網絡推理機、模糊邏輯推理機有機結合、并行運行,充分發揮各個推理算法的優勢,克服其中的不足,使智能推理達更加適用于多變量、多參數、多目標及多過程的復雜系統。同時采用了M-ARY理論對推理結果進行優化,并且通過歷史數據分析和在線強化學習來調整專家知識、調整推理結構,能充分保證推理結果的準確性。通用化設計是該系統的重要特色,裝載不同領域的專家知識便能對不同領域的問題進行智能化推理決策。
數據處理器的設計:為更好地解決數據的抗噪能力,在系統中,用模糊閾值對測量數據進行模糊化,保證系統數據的抗擾能力。
圖形化的模糊神經網絡專家知識庫:系統采用圖形化模糊神經網絡專家知識表達方式,可突破共性知識和專家知識的學習、獲取、表達與利用的瓶頸問題,系統有一個獨特的結構用來方便地、遞增地收集和存儲專家知識而不需要任何模型,這對于沒有數學模型存在的地方特別有用,它使用戶易于理解利用專家知識解決實際問題的思路與方法。
綜合的動態聯接庫數據通訊模塊:通訊的整體結構按分布式設計,分為兩個層次:一方面,通訊模塊與推理機之間采用客戶機/服務器的方式,采用TCP/IP協議,數據通訊服務一旦設置好,就始終處于運行狀態,推理機一旦需要申請數據,就向數據通訊模塊提出數據請求表,數據通訊模塊根據綜合各個推理機的數據請求表向相應的對象提出數據請求,再將從對象得到數據分配給各推理機;另一方面,數據通訊模塊與特定對象之間采用調用動態聯接庫的辦法進行通訊,針對不同的對象調用不同的動態聯接庫就可以實現數據通訊。
網絡化遠程診斷:通過設備故障診斷技術與計算機技術的結合,用若干臺中心計算機作為服務器,重大企業重要關鍵設備上建立狀態監測點,采集設備狀態數據,而在技術力量強的科研院所建立中心,對設備運行進行遠程分析、診斷。
4.4 智能分析系統的設計開發
4.4.1 圖形化的專家知識輸入引擎模塊
專家知識輸入引擎模塊內容如圖4.3所示,該模塊的核心是用圖形化的方式建立診斷推理流程圖,該流程圖是由分布三個層次上的多個節點及節點間的連線所組成,如圖4.4。診斷推理流程圖中,底層為“數據”層,這里的數據,可以是測量參數、傳感器的輸出、工作狀態、檢修記錄等多種廣泛意義上的參數,中間層為“故障現象”層,這里的癥狀現象可以是能直接觀察到的現象(如工作條件、參數范圍、參數變化等),也可以是間接的現象,即多種廣泛意義上的現象。最上層為“故障原因”層。用連線相連彼此相關的“數據”與“故障現象”或“故障現象”與“故障原因”。這樣構成診斷推理流程圖。
4.4.2 組合推理模塊的設計
推理模塊是一個隱藏于后臺的推理計算模塊,它的結構如圖4.5,協調控制器用來管理各推理機的工作并協調推理執行器與專家知識輸入引擎模塊可知,對一示同的故障,其“數據層”、“故障現象層”、“故障原因層”及其它們之間的連線關系絕不相同,協調控制器就是將“數據層”、“故障現象層”、“故障原因層”及其它們之間的連線關系自動轉化為推理進程關系,由推理執行器完成推理診斷工作。
(1)專家系統推理
按推理結論的不同,推理可分為精確
推理和不精確推理:按推理過程的不同,可分為正向推是、反向推理和混合推理。根據圖形化專家知識庫結構采用了正向不精確推理。
專家系統推理主要是從知識庫所需的數據集合D={D1、D2、…、Dn}出發,根據知識庫中每一數據點相應的一個或多個語義表達和數據范圍,將獲取實時數據與知識庫中相應數據的語義表達和數據范圍進行相似性分析,得出相似性系數的集合:

(4.1)
式中:S
1 、S
2、…、S
n分別為各個實時數據與相應知識庫數據點的相似性系數的子集,各集參數為:

;

,S
n=
,m
1、m
2、…、m
n分別為知識庫各數據點的語義表達個數。
數據、參數的語義表達按專家的與、或規則便函形成了各種事件征兆集E={E1,E2,…,EK},各種事件征兆集的輸出信息為事件信息e={e1,e2,…,eK}。事件信息與數據、參數語義表達的相似性系數及規則的與、或表達密切相關,如E1的語義表達集為:
E1={(d11∧d25∨)(d32∧d48)},則e1=max{min(s11,S25),min(s32,S48)}。
推理結果與征兆集之間采用網絡連接模式,每根聯線上有連接的權值信息

,事件信息與權值信息通過運算關系得出推理結果。

,其中:j=1,2,3,…,p (4.2)
根據推理結果,知識庫相應地具有控制、處理措施,便構成了智能化系統的專家系統推理模式。
(2)模糊邏輯推理
模糊邏輯主要應用模糊規則庫進行模糊邏輯關系運算最終得出推理結果,模糊規則庫采用圖4.6所示的專家知識庫結構。首先對數據、參數進行模糊化處理,進入推理機的數據與參數,根據知識庫中不同的語義表達,通過合理的選擇與構造模糊隸屬函數,得出相應的數據、參數在不同語義表達下的模糊隸屬度。
對于數據D
1,屬于語義表達d
11、d
12、…、

隸屬度可根據不同的模糊隸屬函數求出,分別為

…

。同樣地,對于數據D
2,屬于語義表達d
21、d
22、…、

的隸屬度可根據不同的模糊隸屬求出,分別為

…、

。以此類推,便可行出不同數據、參數在不同語義表達下的模糊隸屬度。

(4.3)
同時,根據知識庫中的模糊規則,數據參數據語義表達與事件征兆集之間按照連線權值為1、非連線權值為0的原則構成的矩陣Dmk,事件征兆集與推理結果之間按專家給定的權值構成矩陣Dkp,便形成模糊關系矩陣Rc=Dmk×Dkp。
最終,模糊推理的結果可通過模糊變換公式獲得:

(4.4)
式中“﹒”為模糊算子,采用Sup-T合成運算方法實現。
(3)神經網絡推理
根據圖4.6所示的專家知識結構,神經網絡推理為五層結構。
第一層為數據參數語義表達層。每個數據或參數對應有若干語義表達,相應的連接權值為1,對于任意一個數據或參數輸入Di,其第j條語義表達根據專家知識庫存在著數據或參數的輸入閾值θij,利用Sigmoid型神經元特性函數便可算出yij。
第二層為事件征兆層。根據專家知識庫,若干個語義表達的集合便構成了一個事件,用連線及權值表達它們的關系,形成了k個事件。每個事件的輸出同樣根據相應的語義表達個數、連接權值、Sigmoid 神經元特性函數確定。對任意事件Ei,對應的語義表的集合為{d1、d2、…、dj}事件輸出為:
式中:w
k——連線權值;θ
k——偏置信號
第三層為推理結果層。每個事件輸出E
i與推理結果F
j之間都有連線并賦有權值

,參照模糊推理,推理結果為:

,其中:i=1,2,3,…,k;j=1,2,3,…,p (4.7)
推理算法確定后將進行推理方式選擇,推理方式的選擇有手動選擇和自動選擇兩種。
手動選擇主要根據具體對象和推理系統的運行狀況來進行,在領域知識和定性知識缺乏的情況下,主要選擇神經網絡推理,或者選擇神經網絡與模糊邏輯推理的組合;在領域知識比較豐富和明確的情況下,主要選擇專家系統推理,或者選擇專家系統與模糊邏輯推理的組合,也可選擇專家系統、模糊邏輯、神經網絡推理同時運行;在對象特征參數語義表達豐富的情況下,主要選擇模糊邏輯推理,或者選擇模糊邏輯與專家系統推理的組合、模糊邏輯與神經網絡推理的組合,也可選擇專家系統、模糊邏輯、神經網絡推理同時運行。當存在兩個以上推理同時進行時,則進行推理結論的優化。
自動選擇的推理方式是分別進行專家系統、模糊邏輯、神經網絡的推理,各個推理結論通過優化決策后形成最終結論作為神經網絡的樣本進行學習,根據學習結果修改調整專家知識庫,用于下一輪推理,如此不斷地循環進行。推理結果優化:
推理結果會出現不一致問題,有時甚至矛盾。為此,采用了優化算法。
a.設計變量
令:推理要解決的問題:1、2、3、…、p個
模糊邏輯推理對問題的輸出:Ff1、Ff2、Ff3、…、Ffp
神經網絡推理對問題的輸出:Fn1、Fn2、Fn3、…、Fnp
專家系統推理對問題的輸出:Fe1、Fe2、Fe3、…、Fep
設計變量為:X={xf、xn、xe}
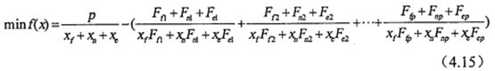
b.目標函數
c.約束條件
0≤xf≤1;0≤xn≤1; 0≤xe≤1;xf+xn+xe=1
d.根據目標函數與約束條件,求最優解。
分別求f(X)對xf、xn、xe的偏導數。由于目標函數為非線性函數,為避免多個局部最小指出現,采用約束變尺度法求解,最終求出優化后的xfh、xnh、xeh。
e.推理結果輸出
求解問題1:xthFf1+xnhFn1+xehFe1
求解問題2:xfhFf2+xnhFn2+xehFe2
求解問題3:xthFf3+xnhFn3+xehFe3
……………………………………
求解問題P:xfhFfp+xnhFnp+xehFe
組合智能推理機系統巧妙地將三個推理引擎有機結合、并行運行,各個推理算法的優勢,充分發揮各個推理算法的優勢,克服其中的不足,使智能推理達到了高級水平。在實際推理過程中可靈活地選擇其中的任意一種或兩種推理方式來運行,也可采用三種推理同時運行。基于相關聯系的系統,采用模糊推理算法;基于事件的系統,采用神經網絡;基于規則的系統,采用規則轉換算法。這三種推理模塊同時存在、各盡其責,通過歷史數據和在線強化學習達到優化這些模塊內部的因素。
4.4.3 數據引擎模塊的設計
數據引擎完成的功能主要是采集應用系統實時數據。將采樣到的數據與貢平知識庫中建立的系統模型輸入節點進行對比,再按照推理引擎需要的特宇鄰考贊式將輸入數據通過指定通訊協議傳遞給推理機,因此數據輸入引擎是系統是系統使用時實時系統與推理系統的數據聯系通道,并且這種數據傳遞是利用靈活TCP/IP或串行通訊等方式進行傳輸,因此使用時,可以將數據采集系統與推理系統在IP相連的兩個不同物理位置,增加系統構建的靈活性。綜合的通訊模塊使本系統能快速方便地與現場實時數據實現傳遞。同時,數據引擎還可完成數據的壩處理、數據記錄與回放。
4.5 網絡化遠程診斷的應用
4.5.1 計算機網絡技術的發展
隨著計算機技術、計算機網絡技術、多媒體技術和通信技術的迅速發展,遠程信息數據的使用越來越方便,特別是INTERNET網的快速發展和使用,使得故障診斷遠離故障現場,實現無地域和時間限制的遠程故障診斷有了可能。
INTERNET是全世界最大的計算機互連網絡,它是由美國APPANET發展和演化而來的。INTERNET的核心技術是TCP/IP協議和Web 技術,其中TCP/IP協議是實現互連網絡和互操作性的關鍵,正是通過它,INTERNET 上的各種網絡才得以互連并實現通信。
4.5.2 智能診斷系統數據通訊接口
本文的智能診斷系統數據通訊接口就是使用TCP/P協議,直接使用程序及開發工具所提供的環境和手段(如Winsock)來實現遠程數據通信功能。該系統的通訊接口有以下三個特點:
l)整體結構是按分布式結構設計的,采用客戶機/服務器的方式,數據服務器一旦設置好,就始終處于運行狀態,推理機一旦需要申請數據,就向數據引擎提出數據請求表,數據引擎根據綜合各個推理機的數據請求表向相應的對象提出數據請求,再將從對象得到數據分配給各推理機。具體結構如圖4.7 所示。服務器與客戶機之間采用TCP/IP 協議。
2)數據引擎使用的方式是一旦調試通過了,就讓數據引擎一直運行,不再進行任何操作。可以把數據引擎看作一個數據服務器,應該進行遠程操作,一般情況下不進行操作。
3)數據引擎與特定對象之間采用調用動態聯接庫的辦法進行通訊,針對不同的對象調用不同的動態聯接庫。
根據上述三個特點及圖4.7 所示,數據引擎完成的功能主要是調用數據動態連接庫。本文的智能故障診斷系統的數據引擎界面如圖4.8 所示:


數據引擎與特定對象之間采用調用動態聯接庫的辦法進行通訊,單擊“打開數據收集器”,激活數據收集函數,進入數據準備收集狀態,單擊“開始收集”,進入數據收集狀態,收集“監測采集系統”發送的數據并進行數據再處理,再處理的目的是將“監測采集系統”發送的數據處理后變為推理機要求的數據,同時檢測故障診斷推理機的數據申請狀態,當故障診斷推理機進行故障診斷推理時,“數據引擎”將收集到的數據與專家知識庫中建立的系統模型輸入數據節點進行對比,再按照推理引擎需要的特定數據格式將推理機需要的數據通過指定通訊協議傳遞給推理機。顯然,上述中所說的動態聯接庫(DLL調用函數)是關鍵的一環。在數據引擎的基礎上我們可以編制自己獨特的通訊接口或是保密的通訊接口。根據下表所述編制自己的DLL調用函數。
動態連接庫的接口函數如下:
extern“C”__declspec(dllexport)bool__stdcall CreateContainer();
主要用于初始化動態連接庫所需的相關資源。返回值為是否成功的標志。
extern“C”__declspec(dllexport)void__stdcall StartData();
主要用于向動態連接庫發一個開始收集數據的信號。
extern“C”__declspec(dllexport)void__stdcall StopData();
主要用于向動態連接庫發一個停止收集數據的信號。
extern“C”_declspec(dllexport)char*__stdcall GetData(char*);
這個函數最重要,主要用于主程序向DLL取數,其中的參數是指向DLL傳遞的數據點名稱列表,形式為:
NAME1,NAME2,NAME3,……,
DLL向主程序返回的則是數據列表,形式為:
VALUE1,VALUE2,VALUE3,……,
主程序會按設定的一定的時間間隔調用這個函數來進行取數。
例如:向DLL傳遞的數據點名稱列
Tag__No1,Tag__No2,Tag__No3,……,
DLL返回的數據列表為:123.46,23.4,34,……,
extern“C”__declspec(dllexport)void__stdcall FreeConiainer();
主要用于釋放動態連接庫所需的相關資源。
4.5.3 網絡化診斷的應用
網絡化遠程故障診斷的實現,其關鍵是遠程數據的傳送、存貯及數據交換處理。故障診斷系統遠離故障設備現場,只要故障現場故障測試數據能即時通過網絡傳送到故障診斷系統中,故障診斷系統即能實現網絡化遠程故障診斷。當智能故障診斷中的推理機進行推理時,通過數據引擎向動態連接庫DLL函數申請數據,這些數據是推理時需要的故障特征參數變量值。動態連接庫DLL函數則通過網絡直接從故障現場測試采集計算機中得到故障信息數據。數據傳送流程圖如圖4.9 所示。
根據流程圖可知,從故障測試數據到數據引擎,有兩種數據處理方式,一種是故障測試數據由數據采集系統采集后,可先進行預處理,將故障信號數據處理為推理機所需的故障特征數據,然后發送出去,動態連接庫DLL函數則通過網絡接收這些故障特征數據,同時對照推理機向數據引擎申請的故障特征變量,將申請的故障特征變量對應的值找出,按數據引擎規定的格式反送給申請數據的推理機。另一種是故障測試數據由數據采集系統采集后,按一定格式直接發送出去,動態連接庫DLL函數則通過網絡接收這些故障信息數據,然后再進行數據預處理,將故障信息數據處理為推理機所需的故障特征數據,同時對照推理機向數據引擎申請的故障特征變量,將申請的故障特征變量對應的值找出,再按數據引擎規定的格式反送給申請數據的推理機。
推理機得到數據引擎返回的特征數據后,按設定好的推理規則,進行推理,完成網絡遠程診斷。
4.6 傳動裝置網絡化智能化診斷系統的集成
本文所用的網絡化、智能化故障診斷系統軟件由兩大部分組成。一部分是故障信號采集及數據預處理系統,另一部分是圖形化的智能診斷推理系統,兩部分是相互獨立的,要實現故障診斷的網絡化、智能化,必需將這兩部分集成為一個整體的系統,將數據采集、數據預處理、數據傳送及故障智能診斷融合為一個有機的整體,同時又保持這兩部分的相對獨立性。集成的目標有以下幾個方面:
1)數據采集按原方式采集不變,數據的存貯方式不變;
2)方便用戶進行二次開發;
3)數據傳送可根據用戶的要求進行選擇;
4)盡量減少用戶建立故障專家知識時的工作量;
5)數據處理中應考慮使用特定變量名(變量名固定),以減少用戶編程工作量。
本文中用的集成系統,使用的數據傳送線路為圖4.8中線路1的方式。
4.6.1故障特征參數的獲取及傳送
故障診斷中,需要大量的故障特征數據,對于不同的故障,所需的故障特征不同,為了使集成后的系統能適用更多的設備故障診斷當中,在進行故障特征參數據的提取時,應盡可能多地考慮各種故障所需的特征參數。
對于旋轉機械故障需提取特征參數有:
l)作為變量提取的頻率特征參數
1/5倍頻、1/3倍頻、l/4倍頻、l/2倍頻,0. 43~0.48倍頻,0.75倍頻,l倍頻、2倍頻、3倍頻、4倍頻、5倍頻、臨界轉速,renxuan,每個頻率值為一個值給出。其中renxuan作為可變倍頻參數,提取頻率特征參數時,renxuan變量用戶可根據自己的需要來設定renxuan的特征頻率值。例如需要嚙合頻率,則renxuan應為轉頻的齒數倍。
2)振動方向
徑向或軸向 用一個值。
3)振動穩定性
穩定,較穩定,突變后穩定,不穩定,反向移動,反向跳動突變,用一個值。
4)振動軌跡
橢圓,雙環橢圓,不穩定,雙橢圓或不規則,不規則擴散,紊亂,用一個值。
5)矢量區域
不變,矢量起始點大,隨升速繼續增大,升速時矢量逐漸增大,穩定運行后矢量逐漸減小,突變,改變,分別用不同值表示。
6)敏感參數
振動隨轉速變化,振動隨負荷變化,振動隨油溫變化,振動隨流量變化,振動隨壓力變化,各用一個值。
統計上述六種特征參數變量,共需21個變量,按用戶約定或自行設定此21個變量的變量名,并記錄在特征參數變量表中,以便查詢。
特征參數的提取在數據采集及預處理系統中完成,此系統按設定的采集時間,采集一組數據,處理一組數據并發送一組數據。
本文使用的數據發送方式是將特征參數的變量名與參數值組成字串,其形式為“D|變量名1=值1,變量名2=值2,……,變量名n=值n ,|^^^^”,采用TCP/IP加技術,建立stocket 連接,將故障特征參數傳送到服務器端口上。
4.6.2 動態數據連接庫的程序設計及與推理平臺的連接
根據本文系統集成的要求,動態數據連接庫的程序工作是進行數據接收、搜索故障智能推理平臺所需要的特征參數的值,然后這些特征參數的值與故障智能推理平臺對應的變量名組成新的字串,發送到故障智能推理平臺接收端上。
該程序應嚴格按4.5.2中所述的格式編寫。其中在GetData(char*)函數塊內完成數據搜索及數據重組工作。程序設計時,應選擇優化的搜索方法,以減少搜索時間。
智能診斷推理平臺,在進行故障診斷的推理時,采用定時的方式向動態數據連接庫申請故障特征數據,其時間的設定可以根據用戶的需求設定,一般應考慮數據采集及預處理所需的時間來設定申請數據的時間,否則,申請到的數據可能是與上次相同的數據。但也不能把時間設定的過長,這樣當數據端口堆棧過多時,新數據換掉舊數據,出現診斷數據漏診的現象。
智能診斷推理平臺向動態數據連接庫申請的故障特征數據必須是采集預處理系統故障特征參數中有的數據,如果沒有,則動態數據連接庫搜索不到該數據,返回的數據不足,則沒有診斷結果。如果故障推理所申請的故障特征數據在采集預處理系統故障特征參數中沒有,而且是必須的數據,則應在動態數據連接庫中的GetData(char*)函數塊內進行處理,得到故障推理所需要的數據。
4.6.3 診斷結果輸出平臺的設計
本文使用的智能故障診斷系統,在診斷推理的同時,將診斷結果發送到本機的Stocket端口上,端口數為2049,數據格式如下:
l)在建立Stocket連接時,傳送故障名和專家建議:
D|故障名1:專家建議1,故障名2:專家建議2,……,故障名n:專家建議n, ^^^^
2)診斷結果輸出:
R|Result1,Result2,……,Resultu,| ^^^^
根據給出的數據端口及數據格式,即可按用戶的要求設計診斷結果輸出平臺。診斷結果應給出診斷故障的名稱、故障發生的部位,故障發生的時間及程度。對于不同的故障,提示故障發生的可能原因,給出相應的專家建議或維修方法等。圖4.10為本文集成系統的診斷結果輸出用戶界面。圖4.11為本文集成系統的專家知識庫建立及診斷推理平臺。
4.7 本章小結
本章在闡述了故障診斷的方法的基礎上,重點介紹的本文所使用的故障智能診斷系統的設計思想及組成,分析了智能診斷系統的組合推理原則和遠程網絡診斷數據的傳遞原則,指出了本文智能診斷系統的數據通訊接口程序的設計方法和通用的動態連接庫接口程序。在此基礎上,分析了網絡化、智能化診斷系統的集成方法及相應的程序設計方法,并對本文使用的智能診斷系統進行了集成。