6.2 基于MBP算法的設備故障智能診斷方法
普通BP訓練算法在它的訓練過程存在著不確定性除了上節提出的一些因素外,還有一個重要的原因,就是它的誤差函數不盡合理。它的誤差函數決定了靠近網絡輸出端的權在訓練一開始調整較大,而遠離輸出端的權在訓練過程中調整始終較小,從而把網絡訓練速度降低,甚至把網絡引入訓練不收斂的地步。本節針對這種情況,采用一種新誤差函數,保證不管遠離還是靠近網絡輸出端的權在訓練時同步調整,提高了網絡訓練速度和網絡收斂性,基于新的誤差函數的算法稱為MBP算法。算法如下:
誤差函數:

式中γ為隱層與輸入層權值參與因子,ha和hb分別為隱層的輸出。
6.2.1 誤差的反向傳播過程
1)對于輸出層與隱層之間有如下的權值調整公式

式中α和η的解釋同上節。對于小型網絡,γ可取較大的值,一般為0.004~0.016,對于大的網格,γ應取較小的值,一般為0.00001~0.00022。

以表6-1標準訓練樣本為例,采用MBP法,網絡有較好的收斂性,訓練速度有較大的提高,見圖6-2。圖中,當γ=0時,MBP法即為普通的BP算法。
6.2.2 算例
由于減速機故障樣式的多樣性,故它的故障標準模式樣本的建立是比較困難的,需進行大量的試驗研究和實際設備故障診斷的總結和歸納。表6-5是在參考其它學者研究成果的基礎上,總結設備具體工作情況得出的減速機的故障標準模式樣本,表6-6為減速機標準訓練樣本的訓練結果(網絡規模為:輸入層節點數為:9個;一個隱層節點數為:40個;輸出層節點數為9個;誤差精度為10-5,網絡迭代次數為5217次)。圖6-3為某一有故障的軋鋼減速機的時域信號,圖6-4為頻域信號。對圖6-4的頻域信號進行歸一化處理,可得待識別的故障樣本,用訓練好的網絡對該樣本進行識別。表6-7為該減速機故障樣本的識別結果。fa一軸頻,f0一軸承外圈故障特征頻率,fi一軸承內圈故障特征頻率,fb一軸承滾動體故障特征頻率,fmeh一齒輪嚙合頻率。
表6-5 減速機的故障標準模式樣本
故障類型 |
故障特征頻率及重要度 |
理想
輸出 |
fa |
2fa |
3~4fa |
f0
2f0 |
f1
2f1 |
fb
2fb |
 |
fmeh |
2.3
fmeh |
軸 |
軸不平衡或彎曲 |
1.000 |
0.50 |
0.050 |
0.000 |
0.000 |
0.000 |
0.000 |
0.050 |
0.050 |
10000000
0 |
軸線不對中 |
0.800 |
1.000 |
0.080 |
0.000 |
0.000 |
0.000 |
0.000 |
0.000 |
0.000 |
01000000
0 |
軸生裂紋 |
1.000 |
0.800 |
0.600 |
0.000 |
0.000 |
0.000 |
0.000 |
0.000 |
0.000 |
00100000
0 |
軸
承 |
外滾道損傷類 |
0.000 |
0.000 |
0.000 |
1.000 |
0.000 |
0.000 |
0.000 |
0.000 |
0.000 |
00010000
0 |
內滾道損傷類 |
0.000 |
0.000 |
0.000 |
0.000 |
1.000 |
0.000 |
0.000 |
0.000 |
0.000 |
00001000
0 |
滾動體損傷類 |
0.000 |
0.000 |
0.000 |
0.000 |
0.000 |
1.000 |
0.000 |
0.000 |
0.000 |
00000100
0 |
齒
輪 |
全面點蝕或完全磨損 |
0.000 |
0.000 |
0.000 |
0.000 |
0.000 |
0.000 |
1.000 |
0.400 |
0.400 |
00000010
0 |
局部齒面損傷 |
0.400 |
0.000 |
0.000 |
0.000 |
0.000 |
0.000 |
0.000 |
0.600 |
0.600 |
00000001
0 |
兩齒輪軸不平行 |
0.700 |
0.400 |
0.000 |
0.000 |
0.000 |
0.000 |
0.000 |
0.600 |
0.600 |
00000000
1 |

表6-6 標準訓練樣本的訓練結果
故障
樣本 |
軸不平衡或彎曲 |
軸線不對中 |
軸生
裂紋 |
外滾道損傷類 |
外滾道損傷類 |
滾動體損傷類 |
全面點蝕或完全磨損 |
局部齒面損傷 |
兩齒輪軸不平行 |
軸不平衡
或彎曲 |
0.9906 |
0.0000 |
0.0070 |
0.0024 |
0.0028 |
0.0031 |
0.0012 |
0.0026 |
0.0000 |
軸線
不對中 |
0.0003 |
0.9904 |
0.0085 |
0.0004 |
0.0031 |
0.0010 |
0.0013 |
0.0005 |
0.0008 |
軸生裂紋 |
0.0071 |
0.0081 |
0.9894 |
0.0042 |
0.0004 |
0.0014 |
0.0006 |
0.0000 |
0.0000 |
外滾道
損傷類 |
0.0015 |
0.0002 |
0.0008 |
0.9926 |
0.0034 |
0.0036 |
0.0028 |
0.0025 |
0.0000 |
外滾道
損傷類 |
0.0029 |
0.0035 |
0.0000 |
0.0031 |
0.9930 |
0.0036 |
0.0030 |
0.0018 |
0.0000 |
滾動體
損傷類 |
0.0022 |
0.0006 |
0.0000 |
0.0026 |
0.0030 |
0.9933 |
0.0027 |
0.0022 |
0.0000 |
全面點蝕或完全磨損 |
0.0007 |
0.0008 |
0.0000 |
0.0026 |
0.0032 |
0.0026 |
0.9929 |
0.0033 |
0.0000 |
局部齒
面損傷 |
0.0056 |
0.0000 |
0.0000 |
0.0039 |
0.0025 |
0.0023 |
0.0042> |
0.9886 |
0.0133 |
兩齒輪軸
不平行 |
0.0002 |
0.0048 |
0.0001 |
0.0007 |
0.0004 |
0.0007 |
0.0034 |
0.0105 |
0.9845 |

表6-7 該減速機故障樣本的識別結果
故障
類型 |
軸不平衡
或彎曲 |
軸線不
對中 |
軸生
裂紋 |
外滾道
損傷 |
內滾道
損傷 |
滾動體
損傷 |
齒面點蝕或
完全磨損 |
局部齒
面損傷 |
齒輪軸
不平行 |
故障
程度 |
0.017 |
0.002 |
0.000 |
0.002 |
0.017 |
0.003 |
0.987 |
0.000 |
0.000 |
表6-7 識別結果與實際診斷結果一致
6.3 基于AR(M)模型的平穩時序故障振動趨勢分析
通過對所記錄的故障振動數據序列的均值μx和方差
的檢驗,可判別出該振動數據序列是平穩時間序列還是非平穩時間序列,從而為故障振動趨勢分析研究的建模提供了準備。對平穩時間充列可采用較簡單的AR(M)模型建模和振動故障趨勢分析;對非平穩時間序列可采用較實用的GM(1,1)模型及AR(M)組合模型建模和振動故障趨勢分析,也可采用預報精度較高的神經網絡組合預報模型,此內容見6.5節和6.6節。
6.3.1 AR(M)模型的建模
模型的建模包括以下過程:
1)數據的采集;
2)數據的預處理:包括提取趨勢項、零化處理及標準化處理;
3)AR(M)模型的參數估計
對于AR(M)模型,時間序列xt可表示為:

所謂參數估計,是指根據經檢驗和預處理后的時序按某一方法估計出式(6-19)中
M,1,
M,2,
M,3,…,
M,M和
這M+1個參數。AR(M)模型的參數估計方法有許多種,較易用計算機編程實現的方法是Marple參數遞推估計法。
正推、反推預報誤差的平方和總能量εM:

Marple方法是利用最小二乘法使正推、反推預報誤差的平方和總能量εM最小來估計AR(M)模型的參數的。使εM對所有的自回歸參數的導數等于零,可得到下列方程:


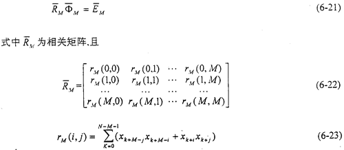
根據自相關矩陣
的特點,可將
相關矩陣(6-22)式表示為Toeplity矩陣和Hankel矩陣相乘,使求解AR(M)模型參數
M,j(j=1,2,…,M)的計算工作量為NM+O(M2)次運算。其中N為輸入數據長度,M為AR模型的階數,O(M2)為最高次數為2的代數式。
上一頁
下一頁