第2章 滾柱活齒傳動嚙合特性及潤滑性能
2.1 引言
滾柱活齒傳動由于同時具有徑向尺寸小、承載能力高、結構緊湊、傳動效率高等優點,因此在石油鉆采及管道工程中具有廣闊的應用前景。但目前對它的理論研究還很不完善,使得人們對它的設計還只能建立在經驗和預估的基礎上,所以對其進行理論研究對于深刻理解和更好地應用滾柱活齒傳動具有重要意義。
本章將對滾柱活齒傳動的嚙合特性及潤滑性能進行分析。首先根據相對運動關系,推導中心輪齒廓方程,并分析活齒中心運動軌跡曲率的特點,再根據彈性力學理論和變形協調條件建立其力學模型,最后分析潤滑狀態并求解油膜厚度,從而為設計、分析和加工滾柱活齒傳動減速器奠定理論基礎。
2.2 滾柱活齒傳動原理及特點

滾柱活齒傳動系統(見圖2-la)主要由波發生器H、活齒G、活齒架S、中心輪R四個部分組成。如圖2-lb所示,滾柱活齒傳動系統在工作時,輸入驅動力后,輸入軸以等角速度ωH,逆時針旋轉,從而帶動波發生器使其幾何中心O′繞旋轉中心O以同樣角速度旋轉,波發生器半徑變化的輪廓曲線產生徑向推力,迫使與中心輪工作齒廓接觸的諸活齒,在沿活齒架徑向導槽移動的同時,沿著中心輪工作齒廓滑滾,并通過活齒架的徑向導槽推動活齒架以勻速ωS逆時針轉動,于是滾柱活齒傳動完成了輸入速度ωH、輸出速度ωS的轉速變換運動。而與中心輪非工作齒廓接觸的諸滾柱活齒,在活齒架徑向導槽推動下,順序地返回到導槽內工作起始位置,從而分別完成了各自的運動循環。
由滾柱活齒傳動的結構可知,滾柱活齒G是個三副件,它與中心輪R、波發生器H和活齒架S形成了三個高副,所以研究滾柱活齒傳動嚙合狀態首先要研究一個嚙合副在一個運動循環中的嚙合過程。對于常用的波幅ZH=1的波發生器,其輪廓被經過幾何中心O′和旋轉中心O的連線分為兩部分:升程曲線和回程曲線,它每轉一周推動活齒徑向往復一次,成為嚙合副的一個運動循環。與升程曲線接觸的活齒在波發生器的推動下,由中心輪的齒頂向齒根運動,而與回程曲線接觸的活齒則由中心輪的齒根向齒頂運動。波發生器每轉一周推動活齒徑向往復一次,稱為嚙合副的一個運動循環。在一個運動循環中,活齒與中心輪輪齒接觸點的軌跡形成了中心輪R的一個齒。由嚙合副的嚙合過程可知:與波發生器H的升程曲線接觸的活齒都處于嚙合狀態,而與波發生器H的回程曲線及遠停、近停曲線接觸的活齒都處于非嚙合狀態,所以我們將波發生器H的升程曲線所對的圓心角稱為工作區域角,工作區域角內為嚙合區,而把它的回程曲線(包括遠停、近停曲線)所對的圓心角稱為非工作區域角,非工作區域角內為非嚙合區。
2.3 中心輪齒廓方程的建立及齒廓仿真
根據滾柱活齒傳動原理可知:中心輪齒廓曲線是活齒G在運動過程中齒廓曲線族的包絡線。當活齒傳動不發生頂切時,該包絡線就是活齒中心運動軌跡的等距線。所以,欲求中心輪齒廓方程就要先求出活齒中心運動軌跡的方程。
2.3.1 活齒中心運動軌跡方程的建立
滾柱活齒傳動的連續性是靠彼此間存在相差的并聯嚙合副交替工作來實現的。因為各個并聯的嚙合副從嚙合開始到結束的工作過程完全相同,相鄰兩個嚙合副僅差一個相位,所以研究與相位無關的齒廓方程,可以任選一個活齒作為研究對象。另外,在工作時,需將中心輪R 或活齒架S 固定一個(常固定中心輪R )。
中心輪R 靜止時,與之固連的坐標系為
(圖2-2) ,波發生器H勻速逆時針旋轉,設活齒在波發生器上作純滾動并在中心輪齒廓限制下推動活齒架作勻速逆時針轉動。波發生器H 的幾何中心為O′,活齒G 的幾何中心為O1。在矢量ΔO O′O1中,矢量
即為所求的活齒中心運動軌跡曲線的徑矢,
為波發生器半徑矢量
,r2μ為活齒半徑矢量(|r2μ|=r2),則
。初始位置1時,
、
和iμ軸重合,經過一段時間后,波發生器H 和活齒G 轉到位置2時,設
與iμ軸成α角,
與iμ軸成θ角。

式中iHGK—中心輪R 固定時,波發生器輸入、活齒架輸出時的傳動比。
同時為方便計算,令l=e/(r1+r),φ=∠MO1O,則∠O1MO=θ-φ,代入式(2-1)整理得活齒中心軌跡方程為
,即:

2.3.2 中心輪齒廓方程的建立
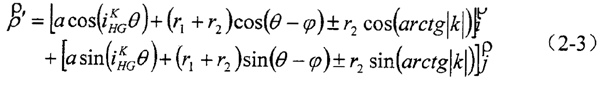
在不發生頂切的情況下,中心輪齒廓曲線就是活齒中心運動軌跡的外等距線,表示為:

式中ρ'ρ——中心輪齒廓曲線的徑失。
根據式(2-2),得活齒中心輪齒廓方程為:

2.3.3 中心輪齒廓仿真
為驗證以上理論推導的正確性并直觀地顯示出活齒傳動中的嚙合情況,擬對其進行仿真研究。為顯示齒廓的三維曲面,將齒廓曲面對應的自變量區域(XOY平面上)劃分為5×34個網格。先由數學模型計算出中心輪和活齒齒面上對應自變量區域網格節點的值,得到齒廓曲面的網格圖,然后采用二維線性插值的方法,得到整個齒廓曲面。同時,比較活齒與中心輪齒廓曲面上對應點的坐標值,將坐標值相同的點(接觸點)在圖象上以另一種顏色顯示,以便觀察接觸的情況。編程采用具有很強矩陣處理功能和繪圖功能的MatLab 語言。
活齒與波發生器的嚙合情況見圖2-3,可以清楚地看到接觸線為一條直線。從生成的接觸點的坐標可以看到,這些點的坐標中只有x值變化,而y和z 的坐標值相同,也就是這些點在空間上組成了一條平行于x軸的直線,說明活齒與波發生器之間不但是線接觸,而且這條接觸線也平行于活齒的回轉軸。
采用相同算法得到活齒與中心輪嚙合時齒廓曲面的三維圖形(圖2-4 ),同樣可見其接觸線也是一條平行于回轉軸的直線。

2.4 活齒中心運動軌跡曲率的確定及其特點
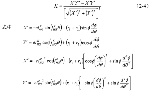
在活齒傳動的嚙合理論分析中,常常要用到中心輪齒廓上任意一點的曲率K,而根據中心輪齒廓方程直接計算曲率極為復雜。
另一方面,由于波發生器的半徑常常遠大于活齒半徑(通常十幾倍),所以活齒中心運動軌跡曲線上任意一點的曲率僅比它的等距線——中心輪齒廓曲線上對應點的曲率略大,在接觸疲勞強度計算中可以近似認為相等。這樣不但使活齒的理論分析變得可行,同時也可大大地簡化計算,使之更便于工程應用。另外,這樣近似計算的結果使得到的接觸疲勞強度略偏于安全,設計更為可靠。
活齒中心運動軌跡的曲率為:

一滾柱活齒傳動減速器,偏心距e =1.5mm,波發生器半徑r1=30mm,活齒半徑r2=8mm,傳動比iHGK=9。采用MatLab編程,分別得到活齒中心運動軌跡和中心輪齒形(圖2-5)以及活齒中心運動軌跡的曲率K與活齒架旋轉過的角度θ之間的關系曲線(圖2-6)。


推而廣之,并考慮到中心輪齒廓曲率的變化趨勢與活齒中心運動軌跡相同,可得到中心輪曲率K的特點如下:
(1)由圖2-6中K-θ曲線可以看出,中心輪每一個齒在齒根處曲率最大,曲率半徑最小。沿著齒廓上升的過程中曲率減小到零后,繼續減小為負值。到達齒頂時,曲率最小。
(2)齒頂處曲率的絕對值要小于齒根處的曲率絕對值。也就是說,齒根處的曲率半徑要略小。所以在結構設計中可用齒根處的曲率半徑來保證不發生頂切,在強度校核計算中可用齒根處的曲率半徑來計算以使結果略偏于安全。
2.5 滾柱活齒傳動力學模型的建立
2.5.1 單個活齒受力分析
波幅ZH=1 的滾柱活齒傳動在理論上每一時刻都有半圈活齒參與嚙合,屬于復雜的過約束機構,無法用剛體力學完全確定,必須根據彈性力學理論和變形協調條件建立其力學模型。分析可知,不同活齒在每個運動循環中受力情況相同,不失一般性,從圖2-la中右側逆時針任取第j個活齒作研究對象。不計重力和摩擦力,活齒受力如圖2-7 所示。
固定中心輪R,不失一般性,選擇活齒數ZG與中心輪齒數ZR之差為1。此時傳動比大小等于活齒個數。假設開始時,波發生器的幾何中心O1在X軸上,該活齒中心在B點,波發生器以角速度ω逆時針轉動。t時刻時,波發生器轉過θ角,該活齒中心運動到Bl點,波發生器的幾何中心從Ol運動到O2;Fsj、FHj、FKj分別為活齒架、波發生器、中心輪對該滾柱活齒的法向壓力。
根據傳動比的定義和波發生器與活齒間相對運動關系,得到:

式中iHGK——中心輪固定時,波發生器輸入、活齒架輸出時的傳動比;
θ——波發生器逆時針轉過的角度。

式中
kn—活齒中心運動軌跡在Bl點處的法線斜率;
ax—活齒中心在X方向的加速度;
ay—活齒中心在Y方向的加速度。
根據活齒中心運動軌跡方程:

其中dj=(r1+r2)sin∠OO2B1/sin∠B1OO2。每個活齒有3個未知數,共有3ZG個未知數,方程數為2ZG+l個,需要補充ZG-1個方程,方可求解。
考慮變形協調條件,設第j個活齒的接觸變形量分別為δHj,δKj和δSj,導致活齒中心與旋轉中心O的連線OB1轉過微小角度θG,反映在坐標系中,就是活齒中心B在水平和垂直兩方向微小的位移Bxj和Byj,可列:

式(2-7)和式(2-8)聯立,其中未知數為θG、Bxj和Byj,共有2ZG+l個,而方程共有3ZG個,所以ZG-1為式(2-7)和式(2-8)聯立后實際補充的方程數,它與式(2-5)和式(2-6)聯立后需要補充的方程數相等,所以原方程可解。
2.5.2 雙排結構滾柱活齒受力分析
在實際應用中,為平衡掉負載對支承的徑向作用,一般采用180°對稱布置的雙排結構,兩排活齒共用一個活齒架。圖2-8 中O′a′、O″A″分別表示第一排、第二排波發生器的偏心距。在以下分析中約定:上角標“′”表示第一排活齒傳動的參數,上角標“″”表示第二排活齒傳動的參數。T1、T1′和T1″分別表示輸入軸上的總輸入力矩、第一和第二個波發生器分擔的輸入力矩。在輸入力矩的作用下,輸入軸和波發生器發生扭轉變形使兩波發生器的相位差由理論的180°有了一個相對的變化△φ,從而使兩排活齒的受力情況略有不同,所承擔的扭矩也不同。為此,引入載荷傳遞不均勻系數Kp,設第二排活齒傳遞的扭矩為KpT2,則第一排活齒傳遞扭矩為(l-KP)T2,其中T2為輸出軸上輸出的總扭矩。

式中lO′O″—— 兩波發生器軸向距離即O′O″距離;
G——材料的剪切彈性模量;
Ip——軸截面極慣性矩,πD4/32(mm4),D為軸直徑;

由于輸入軸的扭轉變形,使第二個波發生器相對于第一個波發生器發生了△φ的轉角,假設波發生器固定,由相對運動關系可知,相當于活齒架發生了△φ/iHGK的偏轉角,又因在Tl″的作用下,活齒架發生了θG″的偏轉角,故第二個活齒架的總偏轉角為θG″+△φ/iHGK,同時在Tl′作用下活齒架的微轉角為θG′,因兩排活齒共用一個活齒架,故得

由公式(2-8),可用Bxj′、Byj′和θG′等2ZG+l個未知量代換式(2-10)中的FHj′、FKj′和FSj′等3ZG個未知量,從而將方程組化為含Bxj′、Byj′、θG′和KP等2ZG+2個未知量的2ZG+1 個方程的方程組。同理可將式(2-11)變換為含Bxj′、Byj′和θG′等2ZG+1個未知量的2ZG+l 個方程的方程組,聯立式(2-9)、(2-10)、( 2-11) ,可得一個含4ZG+3個方程的方程組,而該方程組的未知量Bxj′、Byj′、θG′、Bxj″、Byj″、θG″及KP共有4ZG+3個,故完全可以求解。
2.5.3 計算實例
一特種用途的滾柱活齒減速器,采用雙排結構,中心輪固定,波發生器輸入,活齒架輸出。輸出扭矩為150Nm,輸入軸轉速n1=2980rpm,結構參數為:波發生器幾何中心相對旋轉中心的偏心距e=1.5,波發生器半徑r1=30,活齒半徑r2=8,活齒數ZG=9,中心輪齒數ZR=8,活齒架內徑DS=66,外徑DM=86,兩排活齒軸向距離lO′O″=76,活齒長L=60,(長度單位:mm)。 活齒材料為GCr15,密度7.8×10-6kg/mm3,載荷不均勻系數kp=0.4953。根據公式(2-5)~(2-11),采用牛頓法求解聯立方程組。為方便初值的確定,先用高斯法求解,將所得的解作為初始值,然后再用牛頓法求解方程組。采用MatLab編程計算,當OO1逆時針轉過4°時,各力情況見表2-1。
表2-1 實例的計算結果
第一排活齒 |
第二排活齒 |
活齒 |
FH |
FK |
FS |
kp |
FH |
FK |
FS |
2 |
1.064 |
1.362 |
1.142 |
0.4953 |
1.027 |
1.393 |
1.297 |
3 |
1.002 |
1.176 |
1.120 |
0.993 |
1.133 |
1.099 |
4 |
0.883 |
0.971 |
0.983 |
0.871 |
0.983 |
0.896 |
5 |
0.781 |
0.826 |
0.651 |
0.779 |
1.120 |
0.912 |
注:因第一個活齒開始進入非工作齒廓,故不考慮它的受力情況。
2.6 滾柱活齒傳動的潤滑性能分析
減速器的潤滑狀態直接影響其摩擦和磨損的程度,進而對其壽命產生影響。為了準確把握和評價滾柱活齒減速器的潤滑特性,本節擬對其進行分析,判斷其潤滑狀態,求解油膜厚度。
2.6.1 潤滑狀態的判斷及油膜厚度的計算
滾柱活齒減速器在工作時,活齒與活齒架、活齒與波發生器、活齒與中心輪之間皆為線接觸高副,且減速器內充滿潤滑油,這時的各運動副之間的潤滑屬于既要考慮潤滑油的粘壓效應,又要考慮高副構件表面彈性變形的彈性流體動力潤滑(EHL)。同時,由于高副間的相對運動要產生溫升以及工作在采油井下,在分析時,必須要考慮潤滑油及高副運動件之間的熱平衡,也就是屬于熱彈流問題。所以,本潤滑屬于線接觸穩態全膜熱彈流潤滑,潤滑油按牛頓流體處理。先分析波發生器與活齒之間的潤滑情況,活齒與中心輪、活齒與活齒架之間的情況完全類似,只是計算時幾何參數略有不同。
根據計算流體動力潤滑膜厚的張鵬順統一公式,最小膜厚
和中心膜厚
為:

u——接觸體表面的平均速度(卷吸速度)
;
w——單位接觸線長度上的載荷。
山于活齒與中心輪、活齒架和波發生器之間存在高速滾動,而且在滾動的同時又伴有相當的滑動,所以熱效應不能忽略。
引入熱承載參數L,它反映潤滑劑熱特性和滾動速度的大小。

式中
δ——粘溫系數;
K——潤滑油導熱率。
考慮熱效應時的最小膜厚為Hin,對應的等溫的膜厚為Hmin,ISO,則有:

式中
C——考慮入口剪切熱的修正因子,
;
z——滑滾比,
。
以上是針對波發生器和活齒之間的潤滑情況分析,對于活齒和中心輪之間以及活齒和活齒架之間的情況完全相同,不同的是當量半徑和卷吸速度的計算。
2.6.2計算實例
一滾柱活齒減速器,波發生器半徑rl=30mm,偏心距e=1.5mm,活齒半徑r2=8mm,傳動i=9,波發生器轉速n=2850rpm,材料的彈性模量E1=E1=2.1×1011N/m2,泊松比v1=v2=0.3,粘壓系數α=2.2×10-8Pa-1,常壓下潤滑油的粘度粉η=35.8×10-3N·S/m,粘溫系數δ=0.017。
由公式(2-12)~(2-15),編程計算得t=0.6316,根據潤滑狀態的判斷條件,當5/9<t<1時,是彈性流體動力潤滑狀態,且常溫時最小油膜厚度為
=0.8920μm,中心膜厚為
=1.0989μm。考慮熱效應時的修正因子為C= 0.7148 ,最小油膜厚度為
=0.6376μm。
2.7 本章小結
1.根據滾柱活齒傳動的相對運動關系,建立了活齒中心運動軌跡方程和中心輪齒廓方程,并仿真出齒廓曲面;給出了活齒中心運動軌跡曲線上任意一點曲率K 的計算方法,分析了中心輪在齒根和齒頂處曲率半徑的特點。
2.在單個活齒受力分析的基礎上,根據變形協調條件,給出了滾柱活齒的受力計算公式,為滾柱活齒傳動的強度設計奠定了基礎。
3.深入分析了滾柱活齒傳動的潤滑性能,給出了活齒與波發生器之間的油膜厚度的計算方法,確定了潤滑狀態是屬于線接觸穩態全膜熱彈流潤滑。
4.以一具體滾柱活齒減速器為例,得到了活齒中心運動軌跡上任意一點曲率K與活齒架旋轉過的角度θ之間的關系曲線,求出了兩排活齒的受力情況,計算出活齒與波發生器之間的油膜厚度。
上一頁
下一頁