3 機構受力分析
3.1 過約束機構的靜不定次數
運動構件滿足靜定條件時,可按剛體力學原理進行分析。當機構中存在虛約束時,運動鏈不再滿足靜定條件,機構的受力分析無法由剛體力學的方法完全確定,這種機構稱為靜不定的約束機構,過約束機構的計算自由度小于實際自由度。
對于連桿行星齒輪傳動機構,為了克服機構運動的不確定點,一般采用多相并列雙曲柄平行四力形機構或多曲柄平行四邊形機構作為輸入機構,因此,它是多次靜不定的過約束機構。要完全確定機構的約束反力,必須尋求與其靜不定次數相同數目的位移協調補充方程。過約束機構的靜不定次數與運動構件數、運動副類型及其數量等有關。對于少齒差連桿行星齒輪傳動機構,由于輪齒的分擔載荷大小與嚙合數有關,機構的運轉工況角以及構件的變形情況等因素有關,所以運動副數目也隨之變化[34,35,29]。
對于一個任意的空間機構,如果有n個運動構件,就能列出6n個動力分析方程,即可以求解確定6n個未知數。未知量的數量可以由以下兩部分確定:即運動副中的約束反力未知分量與反力矩未知分量數,作用在輸入構件上的輸入力矩或輸入力偶。一個運動副如沿某軸線有相對移動自由度,則沿該軸線的約束軸線的約束反力矩為零。因此,當一動動副的級別為K時,其約束反力的分量數為Pk,設每一輸入構件上存在力或力偶,則輸入構件上的未知力數為q,則未知量總數為:

當機構是靜定系統時,未知量的總數應與基本方程式數目相等,即:

式(3-2)是機構自由度的計算公式。
當機構為過約束機構時,未知量的總數大于基本方程式數目相等,即:

將上式變為:

式(3-3)的左邊為所有構件及運動副的計算自由度,右邊q為實際自由度。設過約束機構的靜不定閃數為S,由式(3-2)可得:

由此可知,當S=0時為靜定機構,當S>0時為靜不定機構。
平面過約束機構得靜不定次數可表示為:

式中P為低副數,t為高副數。
若一個多相多曲柄并列連桿行星傳動機構有m根高速軸,n片行星齒扳,第i片行星齒板與輸出外齒輪參加接觸承載得齒對數為Z(i),則由工(3-4)求得其靜不定次數為:

當m=2時,得多相并列雙軸式得連桿行星齒輪傳動機構得靜不定次數

3.2 單個構件的位移協調原理
設一構件ab在外力的作用下產生微小位移(包含剛體位移和彈性變形位移),如圖3.1所示。ab長為L,與水平坐標軸的夾角為θ0,構件上a、b兩點在受力后變位到a′,b′。作輔助線使:

由上圖可得:

式中


圖3.1 構件變形位移關系
故:

式中:

用u、v分別表示點x、y方向的位 坐標分量,則式(3-5)寫成坐標分量得:

由于構件得位移及變形很小,可取

所以

式中ub,vb是構件上b點的位移;
uα,vα是構件上α點的位移;
ubα,vbα是構件兩點α、b的相對變形位移;
θ是構件上b點饒基點α的微小角位移。
式(3-6)是構件上任意兩點的位移協調方程,其特理意義是:構件在外力作用下,產生微小剛體位移和彈性變形位移時,其上某點的位移是所選參考點的位移與該點饒參考點轉動的角位移以及相對變形位移的合位移。
連桿上接觸點b處受到的作用力Nx,Ny與接觸點處的彈性變形量成正比,方向與變形方向相同,故

式中k:接觸剛度系數
對于平行四邊形雙曲柄連桿機構,在外力的作用下,連桿B、C相對其理論位置產生一個微小位移,且在兩端較鏈點B、C的接觸處產生彈性變形。了B點為參考點,根據變形真調方程,在接觸點C的變形量可表達如下:

上式中,(xb,yb)是B處的位移量,θ為連桿繞鉸點的轉角位移,β為接觸點C在從動曲柄軸上繞軸線(D)的轉角位移,L為連桿的長度,見圖3.2。

圖3.2 連桿接觸點的變形關系
連桿上兩端的作用反力與接觸點處的彈性變形量成正比,因此可表達為:

式中(Nbx,Nby)、(Ncx,Ncy):連桿兩端B、C的作用反力沿x軸、y軸的分量。
3.3 多相并列雙曲柄機構動力分析模型
3.3.1 忽略質量時受力數學模型
圖3.3是一多相并列雙曲柄機構的結構簡圖,曲柄軸為輸入軸,其上作用有已知外力F1和未知輸入力矩T1,曲柄軸為支撐軸,其上的外力知T2和外力F2以及作用在連桿B1C1上的合外力Fn1,外力矩M1都是已知的,在任一時刻t,連桿A1B1與XOZ平面的夾角為φ1,運用機構靜態力學分析方法[22、29、30、34],對連桿B1C1可列出受力平衡方程:

共可列出3n 個方程。

圖3.3 多相并列雙曲柄機構的結構簡圖
而兩曲柄軸上的力系為空間力系,其平衡方程為:

共可列出10個方程,聯立式(3-10)或(3-11),對于多相并列雙曲柄結構,用一般靜態力學分析方法,可列出3n+10個方程,而未知量的總數為4n+9(運動副反力和輸入力矩),故機構中未知量,(n-1)正是機構中的虛約束個數,為了得到補充方程,必須考慮構件的變形協調要求。
根據公式(3-9),每個環板可建立4個方程,那么n個環板可建立的方程總數為4n,式中位移量xbi,ybi,θi和β都是未知量,其總數為3n+1,故能提供的補充方程數為4n+3n-1=n-1個,同機構所包含的虛約束個數相等,聯立式(3-10)、(3-11)、(3-9)可解得全部未知量。為了簡化計算過程,可以利用結構力學中求解靜定結構的位移計不,即把式(3-9)代入式(3-10)中,得到以連桿參數點位移xbi,ybi,θi和曲柄位移β為未知量的3n個方程,再由式(3-11)得到位移變形量Bxi,Byi,θi, β為未知量的3n+1個方程,并從中解得各位移變量,然后代入式(3-11)、(3-9)中可求得機構各運動副反力及力矩。
把一個三相并列雙曲柄機構作為一般情況進行受力分析,建立相應的數學模型,然后分四種狀況進行計算。圖3.4是基本型(低速軸在中間,高速軸兩側布置)環板受力情況,左邊的高速軸為輸入軸,輸入力知M,輸入轉速為n,中間帶外擺線輪的為輸出軸,右邊的高速軸為中間軸(支撐軸),在齒板上以左邊軸承孔中心B1為坐標原點建立坐標系0-XYZ,輸入曲軸A1B1與X軸的夾角為φ。
在這里擺線針輪輪齒的受力情況作一個簡化。因輪齒上受到的力均通過擺線輪的節圓上的一點,故可能所有輪齒受到的力簡化成為一個合力,與擺線輪齒運動方向的夾角為α′(即嚙合角)。見圖3.4。

圖3.4 連桿內齒輪的受力圖
作用在輸出軸擺線輪上的嚙合力

式中:T——擺線輪上的扭矩(N·m)
r′c——擺線輪節圓半徑(mm)
α′——嚙合角
P——輸入軸輸入功率(W)
n——輸入軸轉速(rpm)

t:環板參與嚙合時的數量
由前面的分析可知,對A1B1C1D1雙曲柄連桿機構,其平衡方程為:

式中:e——曲柄A1B1的長度。
如有多快環板,第二塊與第一塊的相位差為△φ2,則有:

第三塊與第一塊的相位差為△φ3

故齒板受力平衡方程:

式中:rp′——針輪節圓半徑。
那么中間軸的繞Z軸的力矩平平方程可寫為:
e(Ny1cosφ+Ny2cos(φ+△φ2)+Ny3cos(φ+△φ3)-Nx1sinφ-Nx2sin(φ+△φ2)-Nx3sin(φ+△φ3) (3-20)
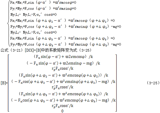
將工(3-15)~(3-20)代入式(3-19)~(3-20)可得到如下線性方程組:
[DIX]=[B] (3-21)
式中,[D]為系數矩陣:

式中:φ1=φ;φ2=φ+△φ2;φ3=φ+△φ3。
[X]為變量陣:
[X]=[xb1 yb1 θ1 xb2 yb2 θ2 xb3 yb3 θ3 β]T
[B]為常數列陣:

圖3.5是輸入軸和支撐軸(中間軸)的受力圖,不計自重及慣性力時,可得到高速軸的受力平衡方程。

圖3.5 系統的受力圖
輸入軸:

中間軸:

式中,d:環板與環板間的水平距離;
s:環板與箱體技撐軸承的水平距離;
px1,qx1:主動高速軸支撐軸承的水平受力;
px2,qx2:從動高速軸支撐軸承的水平受力。
3.3.2 考慮質量時受力數學模型
在常規情況L1=L2時,考慮質量時,力學模型中多了重力和慣性力,其數學模型可將式(3-19)改變為式(3-24),即:

當對兩相平行軸擺線針輪減速器求解時,△φ2=180,第三塊環板因每輸出扭矩,其相應的Fn=0;而對三相平行軸擺線針輪減速器,△φ2=120,△φ3=240。
3.4 不同結構平行軸擺線針輪減速器的受力分析
在不作特殊說明時,以下的受力分析是基于給定的條件:要率p=15kw,輸入轉速n=1500rpm,速比i=17,偏心距e=5,嚙合角α=30°。
3.4.1連桿式兩相平行軸擺線針輪減速器的受力分析
1)環板行星軸承的載荷情況
圖3.6、圖3.7給出了輸入軸、從動軸環板行星與連桿軸承的載荷在一個循環周期內變化情況,其最大載荷及相應的位置見表3.1。
表3.1 環板行星與連桿軸承的最大載荷與位置
|
沿x軸分力(N) |
沿y軸分力(N) |
合力(N) |
最大值 |
位置(°) |
最大值 |
位置(°) |
最大值 |
位置(°) |
輸入軸上環板1
軸承的受力F1 |
10248.4 |
117 |
7968.58 |
30 |
10882 |
93 |
輸入軸上環板2
軸承的受力F2 |
10248.4 |
297 |
7968.58 |
210 |
10882 |
273 |
輸入軸上連桿軸
承的受力F3 |
9549 |
180 |
0 |
|
9549 |
180 |
從動軸上上環板
1軸承的受力N1 |
3908.88 |
204 |
7968.58 |
210 |
8857.88 |
206 |
從動軸上上環板
2軸承的受力N2 |
3908.88 |
24 |
7968.58 |
30 |
8857.88 |
26 |
從動軸上連桿軸
承的受力N3 |
9549 |
180,0 |
0 |
|
9549 |
180,0 |
由表3.1可知,環板1與環板2上軸承的載荷 呈正弦分布,不論輸入軸還是從動員,峰值的位置相差180°(即297-117,273-93,204-24,206-26),與它們在結構上的相位差相吻合;從動軸上連桿軸承的受力也呈正弦變化,在φ=180k(k=0,1,2...)時達到最大值,此時,正是環板1與環板2處于死點的位置,通過連桿使機構連續旋轉。輸入軸軸承上載荷峰值比從動軸的值大,連桿軸承的載荷介于兩者之間。
2)箱體軸承的載荷情況
圖3.8、3.9給出了輸入軸、從動軸與箱體相聯軸承的載荷在一個循環周期內變化情況,其最大載荷及相應的位置見表3.2。
表3.2 箱體軸承的最大載荷與位置
|
沿x軸分力(N) |
沿y軸分力(N) |
合力(N) |
最大值 |
位置(°) |
最大值 |
位置(°) |
最大值 |
位置(°) |
輸入軸的箱體軸
承的受力q1 |
8596.82 |
171 |
3219.87 |
212 |
9080.51 |
172 |
從動軸的箱體軸
承的受力q2 |
5914.85 |
177 |
2927.16 |
30 |
6499.03 |
0,2360 |
由圖3.8、圖3.9及表3.2可知,靠近聯軸器側的箱體軸承的載荷比另一側的大,輸入軸的箱體軸承的受力比從動軸的箱體軸承的大近50%。
3)嚙合角對軸承載荷的影響
見圖3.10與3.12。隨著嚙合角的增大,環板行星軸承的載荷增大,因此擺線針輪嚙合力的合矢角度不誼太大(小于40°);但嚙合角的變化對連桿軸承的載荷的影響甚小。
4)仿主距對軸承載荷的影響
見圖3.11與圖3.13。隨著偏心距增大,環板行星軸承的載荷和連桿軸承的載荷幾乎成線性減少,因此不受體積限制時,應尺可能增加偏心距。
5)連桿機構中曲柄相位角對軸承載荷的影響
見圖3.14、圖3.15及圖3.6。隨著連桿機構中曲柄相位角增大,環板行星軸承的載荷和連桿軸承的載荷呈下降的趨勢,但環板行星軸承沿y矢的載荷基本不受影響;大約在小于45°范圍時,連桿軸承的載荷大于環板行星軸承的載荷,否則相反。因此取連桿機構曲柄與環板曲柄機構的曲柄相位差為90°最佳。
3.3.2 皮帶輪式兩相平行軸擺線針輪減速器的受力分析
所謂皮帶輪式兩相平行軸擺線針輪減速器,是指上屬的連桿機構由齒形皮帶傳動取代。圖3.17給出了輸入軸環板行星與皮帶輪軸承的載荷在一個循環周期內變化情況,其最大載荷及相應的位置見表3.3。由表3.3可知,環板上軸承的載荷以2π為周期進行變化,載荷峰值的位置相差180°(即288-108,271-91,360-180,206-26),與它們在結構上的相位差相吻合;皮帶輪上的受力以π/2為周期進行變化,最大值所在位置介于環板上軸承的載荷的最大與最小時的相位之間,不是位于φ=180k(k=0,1,2...)。輸入軸軸承上載荷峰值比從動軸的大,皮帶輪上軸承的載荷介于兩者之間。
表3.3 環板行星與連桿軸承的最大載荷與位置
|
沿x軸分力(N) |
沿y軸分力(N) |
合力(N) |
最大值 |
位置(°) |
最大值 |
位置(°) |
最大值 |
位置(°) |
輸入軸上環板1
軸承的受力F1 |
9938.90 |
288 |
3057.66 |
32 |
10880.06 |
271 |
輸入軸上環板2
軸承的受力F2 |
9938.90 |
108 |
3057.66 |
212 |
10880.06 |
91 |
輸入軸上連桿軸
承的受力F3 |
7594.93 |
146 |
0 |
|
7594.93 |
56 |
從動軸上上環板
1軸承的受力N1 |
2756.56 |
360 |
7968.58 |
32 |
8332.03 |
26 |
從動軸上上環板
2軸承的受力N2 |
2756.56 |
180 |
7968.58 |
210 |
8332.03 |
206 |
從動軸上連桿軸
承的受力N3 |
7594.93 |
146 |
0 |
|
7594.93 |
56 |
表3.4 箱體軸承的最大載荷與位置
|
沿x軸分力(N) |
沿y軸分力(N) |
合力(N) |
最大值 |
位置(°) |
最大值 |
位置(°) |
最大值 |
位置(°) |
輸入軸的箱體軸
承的受力p1 |
6647.26 |
146 |
8542.78 |
148 |
10818.94 |
148 |
從動軸的箱體軸
承的受力q2 |
6969.70 |
142 |
4074.31 |
148 |
11319.29 |
146 |
由表3.4及計算結果可知,靠近皮帶輪側的箱體軸承的載荷經比另一側的小,輸入軸的箱體軸承的受力比從動軸的箱體軸承的小近10%。
由圖3.18可知,與連桿式平行軸擺線針輪減速器一樣,隨著嚙合角的增大,環板行星軸承的載荷和皮帶輪的受力增大;由圖3.19可知,隨著偏心距增大,環板行星軸承的載荷幾乎成線性減少,而皮帶輪軸承的載荷基本保持不變。
上一頁
下一頁