第四章 鼓形齒聯軸器嚙合分析和力分析
從加工方法和運行狀態所確定的內外齒輪齒面的空間關系來看,鼓形齒聯軸器可分為共軛齒面和非共軛齒面兩種。用雙分齒切齒法加工出的鼓形齒輪[116],與直齒內齒輪在設計的軸間傾角下嚙合就是共軛狀態的鼓形齒聯軸器傳動,而與直齒內齒輪在不同于設計軸間傾角下嚙合時,內外齒輪齒面卻是處于非共軛狀態的。以非內外齒輪共軛切齒法加工出的鼓形齒輪,無論處于何種安裝角度,內外齒輪齒面都是非共軛狀態的。
鼓形齒聯軸器具有復雜的運動學機理和力學特性,以往這些方面的研究[68~73][76][79~82][84][85]都存在一定的片面性。本章將系統地對這一問題進行深入討論。
4.1 內外齒輪齒面方程的建立
要進行鼓形齒聯軸器的嚙合分析和力分析,首先必須創建鼓形齒聯軸器內外齒輪齒面的幾何數學模型,也就是要建立內外齒輪齒面的方程。
4.1.1 共軛齒面方程
共軛齒面方程可由前一章的彈性共軛齒面數值解給出,但由于離散的數值曲面會給分析計算帶來較大困難,而嚙合過程是變形后的變形基本曲面起作用,由前面的分析計算知,對于單對齒嚙合過程,變形基本曲面求解與傳統的剛性共軛曲面求解是相同的。本章將給出內外齒輪齒面解析方程,進行嚙合分析和力分析。
1.坐標系及坐標變換
坐標系如圖3-2所示,其坐標系空間關系及坐標變換關系由3.3.4.1給出。
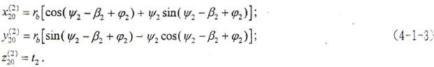
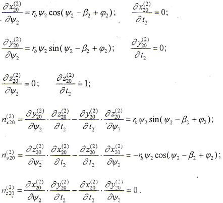
2.內齒輪齒面方程
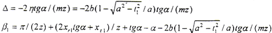
內齒輪為直齒,其端面齒形及坐標關系如圖3-3所示。設端面齒廓線為漸開線,xc2坐標通過漸開線在基圓上的起點,(o,xc2,yc2,zc2)坐標下的齒面方程為

式中 ψ2——齒面參變量,設α2為齒面某一點K處的壓力角,則有ψ2=tgα2。
rb——漸開線基圓半徑。
將(4-1-1)式轉換到S2坐標系,方程為

將(4-1-3)式轉換到S20坐標系,方程為

式中 β2——內齒輪基圓齒槽寬所對圓心角之半。
β2=π/(2z)+(2xr2tgα+xτ2)/z+tgα-α
式中 α——分度圓壓力角
xr2——內齒輪徑向變位系數
xτ2——內齒輪切向變位系數
(4-1-3)式就是內齒輪齒面在S20系的齒面方程。
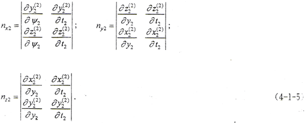
3.與內齒輪齒面共軛的外齒輪齒面方程
根據求解共軛齒面的運動學法[2],外齒輪齒面方程為

f(ψ2,t2,φ2)=0為嚙合方程,為由n·v(12)=0推導而來。
在(o,x2,y2,z2)坐標系,內輪齒齒面法向矢量的三個坐標分量為

在(o,x2,y2,z2)坐標系,相對速度的三個坐標分量為

將(4-1-5)、(4-1-6)式代入n·v(12)=0,得

(4-1-9)式中,φ1、φ2為二齒面的轉角,令φ1=φ2=φ,將(4-1-2)式及由(4-1-8)式解出的t2代入(4-1-9)式,即可得到以ψ2、φ為參變量的外齒輪齒面方程。

為了嚙合分析方便,要給出在固定坐標系下的接觸線方程,即嚙合面方程。在S20上接觸線方程為

(4-1-11)式就是嚙合面方程。
由f(ψ2,t2,φ2)=0,r2=r2(ψ2,t2)可以給出內齒輪齒面上的接觸線方程

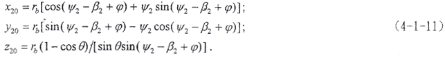
4.1.2 與內齒輪齒面非共軛的外齒輪齒面方程
外齒輪齒面及坐標系如圖4-1所示。此處只討論在平行于端面的各截面上,為不同變位系數的漸開線外齒輪。
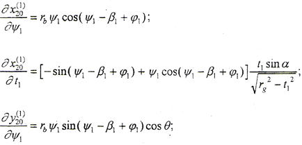
設中截面齒廓為漸開線,xc1坐標軸線通過漸開線在基圓上的起點,(o,xc1,yc1,zc1)坐標下的齒面方程為

式中 ψ1、t1——齒面參變量,設α1為齒面某一點k1處的壓力角,則ψ1=tgα1。
rb——漸開線基圓半徑

(4-1-13)式進行坐標變換得到S1坐標系下的方程。

β1為外齒輪基圓齒厚所對圓心角之半,
β1=π/(2z)+(2xr1tgα+xτ1)/z+tgα-α+△
式中 α——分度圓壓力角;
xr1——外齒輪徑向變位系數;
xτ1——外齒輪切向變位系數;
△——鼓形引起的徑向變位的差角
△的計算如下,設鼓形齒鼓度曲線為一橢圓,參數為長半軸a,短半軸b,當a=b時為圓弧。在鼓度曲線上建立局部坐標系(o′,ξ,η),o′為齒寬中線與分度圓線交點,ξ與z1方向相同,η為指向齒輪軸線的方向。在此坐標系上橢圓方程為

設齒寬為B,則a>B/2。在靠近原點o′的半弧上
。因ξ與z1方向相同,以t1為參變量,則

這就是由鼓形引起的徑向變位的負變位量,故

將(4-1-4)式轉換到S10系中有

為了后面嚙合分析方便,再將(4-1-15)式轉換到S20系

4.2 鼓形齒聯軸器嚙合分析
4.2.1 共軛齒面嚙合分析
1.接觸線
由(4-1-10)式和式(4-1-12)式通過計算,可以得到內外齒輪齒面上接觸線坐標,由計算出的坐標值即可繪出接觸線圖形。
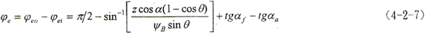
式中ψ要求:ψf≤ψ≤ψa,其中ψa=tgαa,ψf=tgαf;αa、αf為內齒輪輪齒頂和齒根壓力角。

以m=3mm,z=56,θ=1.5°,xr1=xr2=0,ha*=1,齒寬按需要取到足夠大為例計算,確定-90°≤φ≤270°期間的若干條接觸線。由建立的齒面方程所決定,φ=0時,齒面處于純翻轉位置。由式(4-2-1)計算得αa=12.968°,αf=24.866°
通過計算,得到內外齒輪齒面接觸線坐標,表4-1、表4-2給出部分坐標值計算結果。圖4-2所示為φ間隔2.5°,內外齒輪齒面轉過一圈的齒面接觸線。
表4-1 外齒輪齒面接觸線坐標(m=3mm z=56 α=20° θ=1.5° xr1=xr2=0 ha*=1)
φ(°) |
α1(°) |
z1(mm) |
x1(mm) |
φ(°) |
α1(°) |
z1(mm) |
x1(mm) |
-10.0 |
12.968 15.785 18.526 21.181 23.745 |
80.313 15.406 8.358 5.666 4.252 |
81.305 82.046 83.246 84.653 86.241 |
170.0 |
12.968 15.785 18.526 21.181 23.745 |
-80.310 -15.406 -8.358 -5.666 -4.252 |
81.305 82.046 83.246 84.653 86.241 |
10.0 |
12.968 15.785 18.526 21.181 23.745 |
3.204 2.863 2.607 2.412 2.263 |
80.924 81.963 83.196 84.616 86.212 |
190.0 |
12.968 15.785 18.526 21.181 23.745 |
-3.204 -2.863 -2.607 -2.412 -2.263 |
80.924 81.963 83.196 84.616 86.212 |
30.0 |
12.968 15.785 18.526 21.181 23.745 |
2.571 2.501 2.449 2.413 2.392 |
80.911 81.949 83.182 84.602 86.197 |
210.0 |
12.968 15.785 18.526 21.181 23.745 |
-2.571 -2.501 -2.449 -2.413 -2.392 |
80.911 81.949 83.182 84.602 86.197 |
50.0 |
12.968 15.785 18.526 21.181 23.745 |
2.754 2.746 2.749 2.762 2.785 |
80.899 81.936 83.169 84.588 86.182 |
230.0 |
12.968 15.785 18.526 21.181 23.745 |
-2.754 -2.746 -2.749 -2.762 -2.785 |
80.899 81.936 83.169 84.588 86.182 |
70.0 |
12.968 15.785 18.526 21.181 23.745 |
3.009 3.029 3.058 3.096 3.142 |
80.888 81.925 83.157 84.576 86.170 |
250.0 |
12.968 15.785 18.526 21.181 23.745 |
-3.009 -3.029 -3.058 -3.096 -3.142 |
80.888 81.925 83.157 84.576 86.170 |
表4-2 內齒齒面接觸線坐標(m=3mm z=56 α=20° θ=1.5° xr1=xr2=0 ha*=1)
φ(°) |
α2(°) |
z2(mm) |
x2(mm) |
φ(°) |
α2(°) |
z2(mm) |
x2(mm) |
-10.0 |
12.968 15.785 18.526 21.181 23.745 |
161.607 31.725 17.616 12.216 9.370 |
80.938 81.975 83.207 84.627 86.221 |
170.0 |
12.968 15.785 18.526 21.181 23.745 |
-161.602 -31.725 -17.616 -12.216 -9.370 |
80.938 81.975 83.207 84.627 86.221 |
10.0 |
12.968 15.785 18.526 21.181 23.745 |
5.839 5.135 4.594 4.167 3.821 |
80.938 81.975 83.207 84.627 86.221 |
190.0 |
12.968 15.785 18.526 21.181 23.745 |
-5.839 -5.135 -4.594 -4.167 -3.821 |
80.938 81.975 83.207 84.627 86.221 |
30.0 |
12.968 15.785 18.526 21.181 23.745 |
3.168 2.990 2.838 2.709 2.597 |
80.938 81.975 83.207 84.627 86.221 |
210.0 |
12.968 15.785 18.526 21.181 23.745 |
-3.168 -2.990 -2.838 -2.709 -2.597 |
80.938 81.975 83.207 84.627 86.221 |
50.0 |
12.968 15.785 18.526 21.181 23.745 |
2.369 2.305 2.250 2.203 2.164 |
80.938 81.975 83.207 84.627 86.221 |
230.0 |
12.968 15.785 18.526 21.181 23.745 |
-2.369 -2.305 -2.250 -2.203 -2.164 |
80.938 81.975 83.207 84.627 86.221 |
70.0 |
12.968 15.785 18.526 21.181 23.745 |
2.094 2.079 2.070 2.067 2.069 |
80.938 81.975 83.207 84.627 86.221 |
250.0 |
12.968 15.785 18.526 21.181 23.745 |
-2.094 -2.079 -2.070 -2.067 -2.069 |
80.938 81.975 83.207 84.627 86.221 |

φ在-90°≤φ≤90°范圍變化時,從-90°至小于0°的某一角度范圍,內外齒輪齒面無接觸線;此后,接觸線在內外齒輪齒面中截面的右外側從外齒輪齒頂P1和內齒輪齒根P2進入,逐漸向齒寬中截面位置移動,在小于90°的某一角度結束,接觸線彎曲方向及傾斜方向如圖4-2所示。開始進入接觸和最后脫離接觸時的φ值由齒輪參數決定。φ在90°≤φ≤270°范圍變化時,接觸線在內外齒輪齒面中截面的左外側P1′、P2′嚙入,轉角位置與右外側嚙合對稱。內外齒輪齒面左右兩側的接觸線呈與X1、X2坐標對稱形狀。
2.齒形分析
通過對齒面分度圓柱截面線和端截面線的分析可進一步了解其齒形特點。由(4-1-10)式,設r為分度圓半徑,給定x12+y12=r2,可解出齒面分度圓柱截面線的坐標值,將z1oy1平行平面內的點以足夠的密度連接成曲線,就得到分度圓柱上的齒厚線在z1oy1平面上的投影,即得到齒寬方向的齒形曲線。以上例給出的參數,計算繪制的鼓形齒齒寬方向的齒形曲線如圖4-3所示。

由圖看出,輪齒沿齒寬方向齒厚是變化的,在靠近中截面附近,截線為一近似圓弧,離開中截面越遠,截線越呈直線形狀,整個齒形為與y1軸對稱鼓形。同樣,可以由(4-1-10)式取z1為某一常數,求出x1oy1的截面線坐標。通過計算發現各位置端截面齒形為一近似漸開線,在中截面處與漸開線最逼近。由此可知,與漸開線直齒內齒輪共軛的外齒輪為一軸向變齒厚的、端截面為近似漸開線齒形的齒輪。
3.誘導法曲率及齒面曲率干涉校驗
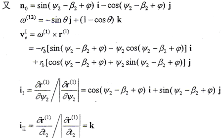
設內齒輪齒面為ΣⅠ,外齒輪齒面為ΣⅡ。誘導法曲率是指兩齒面ΣⅠ、ΣⅡ上沿同一切線方向的法曲率kⅠ與kⅡ之差,kⅠⅡ=kⅠ-kⅡ。如果規定兩齒面接觸點處的公法線矢量n的方向為由齒面ΣⅠ的實體指向空域,則其誘導法曲率必須為負值,才不會發生曲率干涉,兩齒面才能正常嚙合;反之若為正值,則會發生曲率干涉,兩齒面不能正常嚙合。
誘導法曲率在兩個互相垂直的切線方向上的值之和為定值。對于線接觸嚙合,因為在接觸線方向兩齒面的法曲率相等,即kτⅠⅡ=0,則誘導法曲率兩個主方向之一與接觸線方向重合。另一個主方向即對應于kⅠⅡ的絕對值最大方向,與接觸線方向垂直。
設ΣⅠ的主方向為iⅠ、iⅡ,其兩個主值為k1Ⅰ、k2Ⅰ,ΣⅡ在iⅠ方向的法曲率為k1Ⅱ(1),在iⅡ方向的法曲率為k2Ⅱ(1)。由嚙合原理分析推導知[5]

式中 n0——法線單位矢量
ω(12)——相對角速度矢量
veⅠ——ΣⅠ的牽連運動速度矢量
由(4-1-3)式可計算出

式中 ψ2=tgα2。

將以上求出的n0、ω(12)、veⅠ、iⅠ、iⅡ及(4-2-3)式代入(4-2-2)式,即可解得

設垂直于接觸線切線方向的誘導法曲率為kσⅠⅡ,則有

由kτⅠⅡ=0,得

由于|cosθ|≤1,ψ2≥0
所以
kσⅠⅡ≤0
與kτⅠⅡ夾角為q的任一方向誘導法曲率為
kⅠⅡ=kτⅠⅡcos2q+kσⅠⅡsin2q=kσⅠⅡsin2q
顯然,kⅠⅡ≤0。
由此推知共軛齒面鼓形齒聯軸器內外齒輪齒面無曲率干涉。
外齒輪軸線與內齒輪軸線的軸間傾角小于θ安裝時,設軸間傾角為θ′,則在iⅠ、iⅡ方向上外齒輪齒面兩法曲率為

式中 △θ=θ-θ′
iⅠ、iⅡ方向上的誘導法曲率為

顯然,k1ⅠⅡ≤0,k2ⅠⅡ≤0,不會發生曲率干涉。
4.相對滑動系數
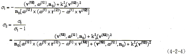
由嚙合原理推導知[5],齒面滑動系數為

式中 kvⅠ——齒面ΣⅠ上參考點的相對運動速度矢量v(12)方向的法曲率。
由Euler公式知,kvⅠ=k2Ⅰcos2qv+k1Ⅰsin2qv
式中 qv——相對運動速度矢量與主方向iⅡ的夾角

所以有kvⅠ=k2Ⅰcos2qv

將以上求出的各量代入(4-2-4)式,得

關于齒面ΣⅠ、ΣⅡ的滑動系數表達式(4-2-5)較復雜,為了便于分析,分別以參數φ、ψ2、t2為變量,計算出σ1、σ2的若干組數據,由表4-3給出。
表4-3 滑動系數計算數據(m=3mm z=56 α=20° xr1=0 xr2=0 θ=1.5°)
φ=0° t2=1mm |
φ=0° t2=11mm |
φ=0° t2=21mm |
φ=0° t2=31mm |
ψ2(°) |
σ1 |
σ2 |
ψ2(°) |
σ1 |
σ2 |
ψ2(°) |
σ1 |
σ2 |
ψ2(°) |
σ1 |
σ2 |
3.00 6.00 9.00 12.00 15.00 18.00 21.00 24.00 |
9.518 20.077 13.782 10.780 9.102 8.093 7.477 7.114 |
1.026 1.052 1.078 1.102 1.123 1.141 1.154 1.163 |
3.00 6.00 9.00 12.00 15.00 18.00 21.00 24.00 |
3.592 1.825 1.253 0.979 0.827 0.735 0.679 0.646 |
1.385 2.212 4.958 -48.30 -4.785 -2.780 -2.119 -1.829 |
3.00 6.00 9.00 12.00 15.00 18.00 21.00 24.00 |
1.881 0.955 0.656 0.513 0.433 0.385 0.356 0.338 |
2.134 -21.599 -1.907 -1.053 -0.764 -0.626 -0.552 -0.512 |
3.00 6.00 9.00 12.00 15.00 18.00 21.00 24.00 |
1.274 0.647 0.444 0.347 0.293 0.261 0.241 0.229 |
4.641 -1.836 -0.799 -0.532 -0.415 -0.353 -0.317 -0.297 |
φ=30° t2=1mm |
φ=30° t2=11mm |
φ=30° t2=21mm |
φ=30° t2=31mm |
ψ2(°) |
σ1 |
σ2 |
ψ2(°) |
σ1 |
σ2 |
ψ2(°) |
σ1 |
σ2 |
ψ2(°) |
σ1 |
σ2 |
3.00 6.00 9.00 12.00 15.00 18.00 21.00 24.00 |
37.202 20.029 14.545 12.009 10.677 9.975 9.662 9.628 |
1.027 1.052 1.074 1.090 1.103 1.111 1.115 1.116 |
3.00 6.00 9.00 12.00 15.00 18.00 21.00 24.00 |
3.382 1.820 1.322 1.091 0.970 0.906 0.878 0.875 |
1.420 2.219 4.106 11.939 -32.722 -9.696 -7.204 -6.999 |
3.00 6.00 9.00 12.00 15.00 18.00 21.00 24.00 |
1.771 0.953 0.692 0.571 0.508 0.475 0.460 0.458 |
2.297 -20.482 -2.250 -1.334 -1.033 -0.904 -0.851 -0.846 |
3.00 6.00 9.00 12.00 15.00 18.00 21.00 24.00 |
1.200 0.646 0.469 0.387 0.344 0.321 0.311 0.310 |
6.006 -1.823 -0.883 -0.631 -0.525 -0.474 -0.452 -0.450 |
φ=60° t2=1mm |
φ=60° t2=11mm |
φ=60° t2=21mm |
φ=60° t2=31mm |
ψ2(°) |
σ1 |
σ2 |
ψ2(°) |
σ1 |
σ2 |
ψ2(°) |
σ1 |
σ2 |
ψ2(°) |
σ1 |
σ2 |
3.00 6.00 9.00 12.00 15.00 18.00 21.00 24.00 |
25.139 15.119 12.295 11.430 11.562 12.520 14.517 18.368 |
1.041 1.070 1.088 1.096 1.095 1.087 1.074 1.058 |
3.00 6.00 9.00 12.00 15.00 18.00 21.00 24.00 |
2.285 1.374 1.117 1.039 1.051 1.138 1.319 1.669 |
1.778 3.672 9.516 26.807 20.683 8.255 4.130 2.494 |
3.00 6.00 9.00 12.00 15.00 18.00 21.00 24.00 |
1.197 0.720 0.585 0.544 0.550 0.596 0.691 0.874 |
6.082 -2.567 -1.411 -1.193 -1.224 -1.474 -2.236 -6.957 |
3.00 6.00 9.00 12.00 15.00 18.00 21.00 24.00 |
0.811 0.487 0.396 0.368 0.373 0.404 0.468 0.592 |
-4.280 -0.951 -0.656 -0.583 -0.594 -0.677 -0.880 -1.452 |
φ=90° t2=1mm |
φ=90° t2=11mm |
φ=90° t2=21mm |
φ=90° t2=31mm |
ψ2(°) |
σ1 |
σ2 |
ψ2(°) |
σ1 |
σ2 |
ψ2(°) |
σ1 |
σ2 |
ψ2(°) |
σ1 |
σ2 |
3.00 6.00 9.00 12.00 15.00 18.00 21.00 24.00 |
-17.178 -2.016 -0.967 -0.602 -0.412 -0.289 -0.198 -0.125 |
0.945 0.668 0.492 0.376 0.292 0.224 0.165 0.111 |
3.00 6.00 9.00 12.00 15.00 18.00 21.00 24.00 |
-1.562 -0.184 -0.088 -0.055 -0.038 -0.027 -0.018 -0.012 |
0.610 0.155 0.081 0.052 0.036 0.026 0.018 0.012 |
3.00 6.00 9.00 12.00 15.00 18.00 21.00 24.00 |
-0.818 -0.096 -0.046 -0.029 -0.020 -0.014 -0.010 -0.006 |
0.450 0.088 0.044 0.028 0.020 0.014 0.010 0.006 |
3.00 6.00 9.00 12.00 15.00 18.00 21.00 24.00 |
-0.555 -0.065 -0.032 -0.020 -0.014 -0.010 -0.007 -0.004 |
0.357 0.061 0.030 0.019 0.013 0.010 0.007 0.004 |
分析表4-3的數據,可以得出以下結論:
(1)φ、ψ2不變的情況下,t2增加,σ1的絕對值減小,即在內齒輪齒面相同的周向和徑向位置上,越遠離齒寬中截面,滑動系數越小;
(2)φ、t2不變的情況下,ψ2增加,在大部分周向位置上σ1的絕對值減小,即越往內齒輪齒根,滑動系數越小;
(3)ψ2、t2不變的情況下,σ1的變化情況較復雜,不同的周向位置變化范圍,σ1的增大或減小趨勢不同;
(4)外齒輪齒面滑動系數σ2的變化較復雜,當經歷σ1大于1變為σ1小于1的過程,必然出現σ2→∞的情況。在不同周向位置和軸向位置,對ψ2進行一維搜索計算,求解出σ2→∞的點,如表4-4所給。由數據可以看出,外齒輪齒面最大滑動系數點,在不同周向位置和軸向位置,出現于不同的齒高位置。
表4-4 外齒輪齒面最大滑動系數點參數
(m=3mm z=56 α=20° xr1=0 xr2=0 θ=1.5°)
φ(°) |
t2(mm) |
ψ2(°) |
φ(°) |
t2(mm) |
ψ2(°) |
0.000 0.000 0.000 30.000 |
11.000 21.000 31.000 11.000 |
11.543 5.704 3.829 13.803 |
30.000 30.000 60.000 60.000 |
21.000 31.000 21.000 31.000 |
5.653 3.649 23.779 25.879 |
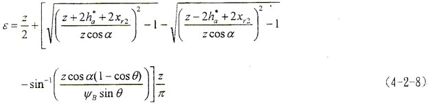
5.重合度
由前面分析的齒面接觸線狀況知,一對齒面在一周運動中不是始終連續嚙合的,它們在一周中從開始進入嚙合到脫離嚙合所轉過的角度與一個齒距角之比為重合度。重合度反映了齒輪嚙合過程中同時嚙合齒對數的多少,是一個重要的嚙合特性。以下分析計算共軛齒面鼓形齒聯軸器的重合度。
根據接觸線的分析知,嚙合點在內齒輪齒面齒根處遠離中截面的位置,嚙出點在內齒輪齒面齒頂上靠近中截面的位置。由(4-1-12)式的第三式
z2=rb(1-cosθ)/[sinθsin(ψ2-β2+φ)]
解得

在嚙入點ψ2=tgαf,z2=B/2,αf為內齒輪齒根壓力角,B為齒寬,設嚙入點φ=φei,

在嚙出點ψ2tgαa,此時z2為不等于零的最小值,即取
sin(ψ2-β2+φ)=1,故有

αa為內齒輪齒頂壓力角,設嚙出點φ=φeo,
φeo=π/2+β2-tgαa
αf、αa由(4-2-1)式計算。設單齒嚙合轉角為φe,則有

式中 ψB=B/m為齒寬系數。
齒距角為2π/z,由于一對齒面在齒輪轉一轉中有兩次嚙入嚙出,所以重合度
ε=φez/π (4-2-8a)
將(4-2-7)式和(4-2-1)式代入(4-2-8a)式中,且
,所以

以m=3mm,z=56,ha*=1,xr1=xr2=0,α=20°,θ=1.5°代入(4-2-8)式,得ε=30.928,即56對齒中有時有30對齒、有時有32對齒同時嚙合,分別占總齒數的54%和57%.可見共軛齒面鼓形齒聯軸器具有較高的嚙合重合度。
由(4-2-8)式知,共軛齒面鼓形齒聯軸器重合度與齒數、齒寬系數、齒高系數、徑向變位系數、壓力角和軸間傾角有關。圖4-4給出了ε-θ、ε-ψB、ε-z、ε-xr、ε-ha*和ε-α關系曲線。


(a)ε-θ關系(z=56 α=20° ψB=12 ha*=1 Xr2=0)
(b)ε-ψB關系(θ=1.5° z=56 α=20° ha*=1 Xr2=0)
(c)ε-z關系(θ=1.5° α=20° ψB=12 ha*=1 Xr2=0)
(d)ε-Xr2關系(θ=1.5° z=56 α=20° ψB=12 ha*=1)
(e)ε-ha*關系(θ=1.5° z=56 α=20° ψB=12 Xr2=0)
(f)ε-α關系(θ=1.5° z=56 ψB=12 ha*=1 Xr2=0)
由圖4-4知,重合度隨軸間傾角、徑向變位系數和分度圓壓力角的增大單調減小,隨齒寬系數、齒數和齒頂高系數的增大單調增加。重合度隨齒寬系數的增大有較大的非線性,當齒寬系數增大到14之后,重合度增加很小,因此不宜盲目以增加齒寬系數來增加重合度。重合度的增加量約為齒數增加量的50%,因此,應盡可能地增大齒數來增加重合度。其他參數在合理的取值范圍內變化時,重合度變化較小。
4.2.2 非共軛齒面嚙合分析
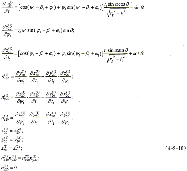
非共軛齒面嚙合為點接觸,此處只討論圓弧及橢圓弧鼓度曲線鼓形齒聯軸器的非共軛齒面嚙合。
1.接觸分析
根據非共軛曲面的嚙合條件[2]

rⅠ=rⅡ有三個坐標分量的標量方程;nⅠ=nⅡ的三個坐標分量兩兩成比例,有兩個標量方程。共有五個獨立的標量方程。
內外齒輪齒面在固定坐標系S20下的方程由(4-1-3)式及(4-1-16)式給出。
設內齒輪為主動件,轉角φ2給定,并令△φ=φ2-φ1,則在齒面ΣⅠ、ΣⅡ中ψ1、ψ2、t1和t2為參變量,加上運動參變量△φ,共有五個未知量。這樣,五個方程有五個未知量,方程可解。
內齒輪齒面法線矢量的計算:

外齒輪齒面法線矢量的計算:
對于圓弧鼓度曲線,設鼓度半徑為rg,β1表達式中,a=b=rg。


(4-2-10)式為一非線性方程組,由于此方程組較復雜,很難求得解析解,必須尋求其數值解。現運用優化原理[117]求解接觸點的數值解。
將方程寫成優化標準形式
Fi(X)=0 (i=1,2,3,4,5),X={ψ1,ψ2,t1,t2,△φ};目標函數為
,約束條件為tgαf1≤ψ1≤tgαa1,tgαa2≤ψ2≤tgαf2,其中αf1、αf2和αa1、αa2為鼓形外齒輪及直齒內齒輪的齒根圓壓力角和齒頂圓壓力角。
給定一系列的φ2值(0~2π),間隔為某一設定的角度,可算得各個點的α1、α2、t1、t2及△φ的數據值。表4-5給出了0°≤φ2≤360°,間隔為15°的一組數據值,由此數據表即可進行嚙合點分析。改變軸間傾角θ和鼓度曲線參數a、b進行若干次計算,還可進行對比分析。
表4-5 α1、α2、t1、t2、△φ的計算結果
(m=3mm,z=56,α=20°,rg=131mm,θ=1.5°)
φ2(°) |
α1(°) |
α2(°) |
t1(mm) |
t2(mm) |
△φ(°) |
0.000 |
21.440361 |
21.450669 |
9.393189 |
9.338940 |
0.037091 |
15.000 |
13.098483 |
12.967874 |
8.997373 |
9.466054 |
0.036430 |
30.000 |
12.967874 |
12.967874 |
7.708035 |
8.694986 |
0.031671 |
45.000 |
12.967874 |
12.967874 |
5.910255 |
7.348820 |
0.010622 |
60.000 |
12.967874 |
12.967874 |
3.934636 |
5.727098 |
-0.013388 |
75.000 |
12.967874 |
12.967874 |
1.951379 |
3.975874 |
-0.032814 |
90.000 |
12.967874 |
12.967874 |
0.004159 |
2.122878 |
-0.045711 |
105.000 |
12.967874 |
13.036466 |
-1.911303 |
0.157252 |
-0.042695 |
120.000 |
12.967874 |
13.170391 |
-3.808666 |
-1.931387 |
-0.024563 |
135.000 |
12.967874 |
13.253320 |
-5.671477 |
-4.113668 |
0.000000 |
150.000 |
12.967874 |
13.257960 |
-7.410419 |
-6.278538 |
0.024339 |
165.000 |
12.967874 |
13.167849 |
-8.776147 |
-8.147485 |
0.040841 |
180.000 |
21.440342 |
21.450646 |
-9.393189 |
-9.338941 |
0.037019 |
195.000 |
13.098374 |
12.967874 |
-8.997380 |
-9.466062 |
0.036439 |
210.000 |
12.967874 |
12.967874 |
-7.708035 |
-8.694987 |
0.031671 |
225.000 |
12.967874 |
12.967874 |
-5.910255 |
-7.348820 |
0.010622 |
240.000 |
12.967874 |
12.967874 |
-3.934636 |
-5.727098 |
-0.013388 |
255.000 |
12.967874 |
12.967874 |
-1.951379 |
-3.975874 |
-0.033814 |
270.000 |
12.967874 |
12.967874 |
-0.004159 |
-2.122878 |
-0.045711 |
285.000 |
12.967874 |
13.036466 |
1.911303 |
-0.157252 |
-0.042695 |
300.000 |
12.967874 |
13.170391 |
3.808666 |
1.931387 |
-0.024563 |
315.000 |
12.967874 |
13.253320 |
5.671477 |
4.113668 |
-0.000000 |
330.000 |
12.967874 |
13.257960 |
7.410419 |
6.278539 |
0.024339 |
345.000 |
12.967874 |
13.167849 |
8.776147 |
8.147486 |
0.040841 |
360.000 |
21.440334 |
21.450638 |
9.393189 |
9.338942 |
0.037019 |
通過對多組數據進行分析,得出如下結論:
(1)當考慮實際嚙合時,內齒輪齒厚減薄,使之保證足夠的側隙,數據處理后發現,△φ=0的點為對稱的兩點,由φ2間隔細分的數據計算可知,此兩點位于偏離純翻轉區一個小角度的位置;這說明理論嚙合齒對數為兩對,這一結論與文獻[81]所給結果是一致的;
(2)以一對齒在一轉中始終嚙合為例計算分析可知,△φ的變化除在純翻轉區稍有波動外,總體約呈余弦規律變化,如圖4-5所示,這說明運動是非勻速的。當理論嚙合齒對在△φ為零的點嚙合時,與其相鄰的齒對若要嚙合,它的△φ值約為10-5弧度數量級;
(3)接觸點在齒高方向的位置,在純翻轉區向純擺動區轉動過程中,從內外齒輪分度圓附近向外齒輪齒根部和內齒輪齒頂移動。根據齒輪的模數齒數不同,到達外齒輪齒根部和內齒輪齒頂所需轉過的角度不同。在此后直至轉到對面的純翻轉區的范圍內,接觸點都在外齒輪齒根部和內齒輪齒頂;
(4)接觸點在齒寬方向的位置,在純翻轉區向純擺動區轉動過程中,從內外齒輪上距齒寬中截面遠端處向齒寬中截面移動;在純擺動區,接觸點在外齒輪齒寬中截面上,由于外齒輪軸線的傾斜,此時內齒輪齒面上接觸點偏離齒寬中截面一個距離,理論上為rftgθ,所算數據與此吻合。越過純擺動區時,接觸點從齒寬中截面一邊移到另一邊。在純擺動區向純翻轉區轉動過程中,接觸點從齒寬中截面向遠離齒寬中截面位置移動,直至到達最遠處;
(5)嚙合點處α1、α2、t1、t2、△φ關于原點對稱;
(6)軸間傾角θ越小,△φmax越小;當θ=0時,t1=t2=0,此時所有齒在齒寬中截面上接觸,在齒寬方向接觸點不移動,承載能力最強。

2.齒面曲率分析
經求解得到內齒輪齒面的兩個法曲率主值為

圓弧鼓度曲線外齒輪齒面的兩個對應法曲率為

k1Ⅰ、k1Ⅱ的方向為齒寬方向,k2Ⅰ、k2Ⅱ的方向為齒高方向。
在齒寬方向,當rg→∞或rg/t1=cosα時,k1Ⅰ→0,對鼓形齒輪而言,這兩種情況都不存在,因此總存在k1Ⅰ>k1Ⅱ,即在齒寬方向不存在曲率干涉。
在齒高方向,由于k2Ⅰ與ψ1和t1有關,是否存在在曲率干涉,需進行計算才能確定。在齒寬中截面上,k2Ⅰ=1/(rbψ1),由于內外齒輪存在軸間傾角θ,由Eular公式可計算出與k2Ⅱ同方向的外齒輪齒面法曲率,k2Ⅰ′=cos2θ/(rbψ1)。由接觸點計算知,在齒寬中截面上的接觸點ψ1=ψ2,因此存在k2Ⅰ′<k2Ⅱ,即說明存在曲率干涉,且θ越大,曲率干涉越嚴重。
在距齒寬中截面最遠處的接觸點,則應由t1、ψ1、ψ2代入k2Ⅰ′及k2Ⅱ計算來確定。以m=3mm,z=56,θ=1.5°為例進行計算,最遠點t1=9.393mm,ψ1=tgα1=0.3927,ψ2=tgα2=0.3929,得k2Ⅰ′=0.0322289,k2Ⅱ=0.0322444,即有k2Ⅰ′<k2Ⅱ,說明同樣存在曲率干涉。曲率干涉也是造成內外齒輪齒面接觸點大都在外齒輪齒根部和內齒輪齒頂的根本原因。但由計算結果看出,干涉是非常輕微的,在彈性變形作用下或經跑合后即為密切接觸。
4.3 鼓形齒聯軸器力分析
鼓形齒聯軸器與一般的內外齒輪傳動相比較,因其特殊的齒面嚙合接觸狀態和較大的嚙合重合度而有較特殊的受力狀態,因此有必要對其進行分析,為強度剛度設計計算及參數優化設計提供依據。
4.3.1 受力分析
在接觸點K處,受力狀態如圖4-6所示。作用在外齒輪輪齒K點的總作用力為Fn,Fn可分解為切向力Ft,徑向力Fr和軸向力Fa。由圖4-6知
Frt=Fncosθ′;Fa=Fnsinθ′。
式中θ=θcosφ;在純翻轉區,φ=0,θ′=θ;在純擺動區φ=π/2,θ′=0;可見軸向力的大小與輪齒所處周向位置有關。當φ>π/2,θ′<0,即軸向力方向與對稱點相反,它們形成繞純擺軸線的力矩。
Ft=Frtcosαk=Fncosθ′cosαk
Fr=Frtsinαk=Fncosθ′sinαk

設聯軸器作用轉矩為T,對于點接觸的情況,有受力平衡條件

式中n為接觸點數目,Frt(i)為在第i點的端截面法向力。
對線接觸的情況,有受力平衡條件

式中l為接觸齒對數目,dFrt(j)為第j對齒接觸線上一點的端截面法向力,sj為第j對齒的接觸線。
4.3.2 嚙合剛度
嚙合剛度是指同時嚙合的若干對輪齒在端面內輪齒總剛度的平均值。而輪齒剛度的定義是一對或若干對輪齒嚙合時,單位齒寬產生單位變形所需的載荷[118]。
由于在特定的嚙合位置上接觸線為已知,因此可求出變形量,由求出的變形量即可求出單對齒的剛度,設單對齒剛度曲線如圖4-7(a)所示。
嚙合過程中,n對齒與n+2對齒交替嚙合,剛度疊加,如圖4-7(b)所示。由嚙合剛度的定義知

式中 cγ——嚙合剛度
cA、cB、cD、cE——單對齒處于A,B,D,E嚙合點處的剛度
n——重合度ε的取整值。
由于共軛齒面鼓形齒聯軸器有較大的嚙合重合度,其n對齒嚙合時的疊加剛度與n+2對齒嚙合時的疊加剛度比值較一般齒輪傳動要大得多,因此它的多齒嚙過渡較平穩。

對于外嚙合直齒圓柱齒輪傳動cγ=(cA+cB+cD+cE)/2,在單對齒剛度相同情況下,顯然鼓形齒聯軸器的嚙合剛度要大得多。
上一頁
下一頁