第3 章扭振的理論計算
3.1 振動的概念
所謂振動,就是物體或某種狀態隨著時間往復變化的現象。這類現象有的是由于其本身的特性等固有的原因引起的,有的是外界干擾引起的,比如溫度,沖擊等。在自然界中廣泛存在著聲、光、電磁波等廣義的振動現象。在工程界,地面上的汽車、火車、拖拉機;地下的鐵道:天空中的飛機、宇宙飛船;海洋里的艦船、海洋平臺等普遍存在著機械振動。在生物界,心臟的跳動,肺的呼吸,肌肉的顫動,腦電波的脈動等等在某種意義上來說,都是一種振動.振動是自然界最普遍的現象之一。
發生振動的機器或結構物等都稱為振動系統。實際振動系統往往是很復雜的,因此在開始研究問題時,總要把研究對象以及外界對它的作用簡化為一個理想的力學模型、這個力學模型往往由質量塊、彈性件和阻尼件組成。質量意味著存在慣性,即系統經過平衡位置時停不下來還要繼續往前運動:彈性則意味著質量塊要被拉回到平衡位置上。彈性和慣性結合在一起就會發生振動。阻尼元件則使振動受到一定程度的抑制。由此可見,質量塊、彈性元件和阻尼元件等是振動系統中的主要元件,它們不同的組合而構成的理想模型可以代替各種實際研究時象。有了這樣力學模型,對干理論計算或模擬試驗都帶來了方便。
3.2 扭轉振動的機理
引起彈性聯軸器扭轉振動的原因主要歸結于兩個方面:即由柴油機引起的機械擾動和由發電機引起的電氣擾動。
3.2.1 柴油機引起的機械擾動
柴油機本身在運行過程中,由于軸系本身不僅具有慣性而且還具有彈性,加上作用在軸系上的周期性的干擾力矩的作用,使軸段產生周向交變及相應的變形,從而使軸系具有扭振的特性。干擾力矩包括柴油機工作時汽缸內氣體壓力Pg變化而產生周期性的激勵力矩,這是引起扭振的主要原因。柴油機曲柄連桿機構運動時的慣性力產生的力矩也是激勵力矩的一部分。柴油機運動部件運動時,可產生由重力造成的和有慣性力造成的激勵力矩:運動部件的慣性力包括離心慣性力和往復慣性力。離心慣性力是不產生扭振激勵的,往復慣性力會產生周期性變化的激勵扭矩。
柴油機氣缸內工質燃燒期間,氣體力是一脈沖載荷,急速燃燒期的壓力升高率對其頻充特性有重大影響,當出現氣缸工作工程故障時,例如進氣壓力不正常,噴油提前角未調準,燃油霧化質量不良,各缸噴油量不均勻等都會對其他脈沖的起始壓力,壓力升高率,最高爆發壓力,脈沖的作用時間造成影響,使單缸激勵力矩的幅值,頻率和相位均有變化,導致各缸激勵力矩合成結果的變化,而且此時各缸負荷不均勻,各氣缸產生的各諧次的激勵力矩的幅值和相位彼此不相等,這個也會造成扭轉振動。
另外,一些柴油機故障,如燃燒不足、某缸停缸、減振器損壞、曲軸驅動的其它附屬系統的損壞等也會產生扭轉振動。
3.2.2 發電機引起的電氣擾動
包括發電機在內的電氣系統,在發生故障或進行某些操作時,電磁力矩可能發生突變或振蕩,激起聯軸器的扭振。
電力系統中最常見的故障之一就是短路,短路電流可能達到上萬安培甚至幾十萬安培。強大的電流除了產生熱和力的作用使電氣設備損壞外,還將形成不同頻率的扭矩沖擊。這是因為在短暫的時間內,柴油機調節系統不可能調整好柴油機和發電機之間的功率,不可能使之達到平衡。短路的類型有三種:三相短路、兩相短路和單相短路(或兩相接地短路)。前一種為對稱短路,出線端三相短路所造成的后果最為嚴重。后兩種為不對稱短路。
3.2.3 其他原因造成的扭振動
安裝時在聯軸器所聯接的軸不對中的情況下,會產生一個附加應力,從而產生附加扭矩,造成聯軸器的扭振現象。
另外,由于環境的影響或者旋轉時候的摩擦,產生大量的熱能,熱應力也會促使聯軸器出現扭振現象,影響聯軸器的工作狀態和使用壽命。
3.3扭轉振動特性模型
在扭轉振動特性(包括固有頻率和振型)的計算中,常用的模型主要有兩種:集中質量模型和連續質量模型。前者又可以分為簡單集中質量模型和多單元集中質量模型。
3.3.1 集中質量模型
集中質量模型,是將研究對象分解成若干集中質量塊,相鄰質量塊之間用無質量的理想彈簧聯結,形成一種多質量一彈簧系統。根據分塊數的多少又可以分為簡單集中質量模型和多單元集中質量模型。由于分塊數的多少決定著計算的精度,簡單集中質量模型雖然可以對研究對象低階特性進行精確的描述,但由于其本身階數很低,無法體現研究對象較高頻率模態,所以這種模型一般只用作定性分析。多單元集中質量模型本質上與簡單集中質量模型相同,但是它根據研究對象的結構特點大大增加了分塊數,不僅可以計算研究對象的低階特性,在計算研究對象高階特性時也可以有很高的精度。其缺點是當階數較高時計算量太大,計算耗時長,計算精度也會由于計算中出現的累積誤差而降低。
針對這些問題,有關學者提出用各種降階方法,如最優Hankel范數降階法、平衡降階法等,在保證計算精度的前提下,降低模型階數。也有采用基于最小二乘法和軌跡靈敏度理論的參數辨識法,對給定階數的研究對象模型進行剛性系數和慣性系數的辨識。這些方法各有優缺點,在不同的程度上解決了高階集中質量模型的問題,但由于涉及理論較為復雜,有些降階方法更是以降低精度作為代價的。此外,集中質量模型忽略了某些剛性元件的撓性,不能處理這些剛性元件的復合振動。這些都限制了多單元集中質量模型的應用。
3.3.2 分布質量模型
如果研究對象本身就是一個具有分布參數的連續體,分布質量模型正是其精確描述。這種模型采用偏微分方程的形式表示,既能準確地計算研究對象低階頻率和振型.也可計算高階頻率和振型。還可分析某些剛性元件撓性對扭振的影響。與集中質量模型相比,分布質量模型可以很方便地計算轉軸任意截面的內扭矩,適時地搜索出扭應力最危險的截面位置。由于在進行研究對象的分布質量建模時,將附屬元件等轉化為附加轉動慣量加以考慮,因此這種模型可以分析附屬元件撓性對扭振的影響。因此在進行扭振響應的精確計算時,可以選擇研究對象的低階分布質量模型。高階分布質量模型也存在計算量比較大的問題,可以通過模態舍階降階法進行降階處理。近年來有學者提出一種更為精確的低階分布質量模型一一四端網絡模型,此算法簡便快捷,通過改進的四端網絡模型還可以充分考慮阻尼和附加轉動慣量對扭振的影響。
3.4阻尼系數的確定
3.4.1基本模型
對于任意粘彈性材料來說,其一般的本構關系都可寫成如下形式:

式中σ—應力
ε一應變
σ(i)一應力的i階導數(i階應力率)
ε(j)一應力的j階導數(j 階應力率)
P1,q1——常系數
從根本上說,橡膠及其增強橡膠材料都具有非線性粘彈性的性質,但非線性方程在工程應用中有很大的困難,故而一般使用線性粘彈性表選形式。
像膠材料在玻璃態轉化點附近表現出較好的線性粘彈性,而在較高的溫度區內,則表現出強烈的非線性粘彈性。
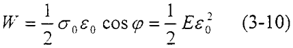
粘彈性材料在簡諧波交變動態載荷作用下,應變滯后于應力一個相角φ,因此在一個循環周期內,應力應變遲滯回線為—標準的旋轉橢圓,如下圖3.1所示,這一橢圓回線的面積△W代表了材料阻尼能力大小,即單位體積耗散的能量,三角形面積W為材料所儲存的最大彈性能密度。

若給定應變激勵為

則應力響應函數為:

如果以復數形式表征

展開(3-3)式有:

式中E-材料的彈性模量
E-儲存模量

E-耗能模量

滯后角

單位體積耗散的能量△W

單位體積最大彈性儲能

阻尼系數:

從(3-11) 式可以看出,如果能測出耗能面積ΔW或應變應力的滯后角φ,就可以測定阻尼系數。
3.4.2測量方法
(1)自由振動法測阻尼系數
對于粘彈性材料來說,由于具有粘滯性,其自由振動表現為一衰減波形式。通過分析其峰值包絡線,即可得到阻尼系數。
圖3.2為自由振動法的測量裝置示意圖。

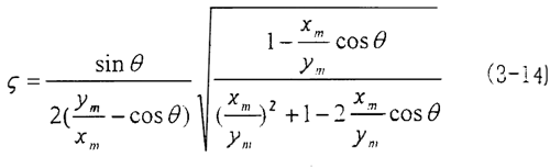
試樣在被輕輕錘擊所產生自由阻尼振動,其加速度信號通過載荷放大器輸入頻譜分析儀,經兩次積分后得出位移衰減曲線,如下圖3.3所示。可得出春滯后阻尼系數。


式中P1,P3—圖3.3中標明的曲線峰值,ζ稱為耗能因子
實際上,由于振動的隨機性,其曲線峰值亦具有隨機性,滯后阻尼系數可通過最小二乘法求包絡線方程y=pexp(-ηωnt)出。式中y為位移,ωn為固有頻率。
(2)強迫振動法測阻尼系數
用自由振動法測滯后的阻尼系數時,難以考慮溫度及應變率對其的影響。而使用強迫振動法測可計入溫度及應變率的影響。對于給定的試樣,先預加一初應變,然后加一受控的正弦應變波,使試樣做拉一拉運動(始終保持正應變),預應變以保持加載過程中試樣不受壓力為準。通過這個實驗,可以得到材料的應力—應變曲線的滯后圈,并可得到循環加載的次數對滯后圈的影響。根據前文所提出的滯后損失與應變能的關系,即可得到材料的阻尼系數。
(3)半功率點法
由振動理論知,一個振動系統的能量是與其振幅的平方成正比。系統強迫振動的能量在共振點前后能量為共振時能量的1/2處的兩個頻率f1、f2稱為半功率點頻率,則此半功率點頻率這差值與系統的阻尼比之間有如下關系

測試件阻尼系數

(4)李沙育圖法
當被測的阻尼較大時,幅頻性曲線和峰值變得不明顯或甚至不出現,這時可用李沙育圖法。該法的測量系統3.5所示

將試件固定在振動臺上受激振動。如測振動臺面振動的加速度計、電荷放大器和示波器的X軸組成的測量系統與測被測對象振動的加速度計、電荷放大器和示波器y軸組成的測量系統,兩者在幅頻特性和相頻特性上完全一致。
則試件阻尼系數

參考前人的研究數據和以上的實驗方法,再綜合實際測量的結果,我們將橡膠聯軸器的阻尼系數定為0.2。
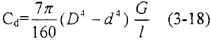
3.5動剛度的確定
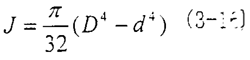
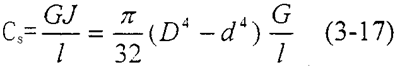
從材料力學中可知,對于一根等截面長度為1,材料的剪切模量為G的圓柱軸段,當兩商加一扭矩MT時,則軸段兩端的盯對扭轉角位移為:

式中J——模截面的極慣性矩,對于空心圓軸狀的元件

式中D—空心圓截面半徑m
d—空心圓截面內徑m
材料的扭轉剛度表示等直徑軸扭轉單位角度所需要的扭矩,用CS表示,則:

前面介紹過,在彈性聯軸器轉動過程中,起作用的是動剛度,根據第二章討論的結果,我們取動倍率為1.4,用Cd表示動剛度,則

3.6 泊松比的確定
3.6.1 泊松比的定義
泊松比又稱橫向變形系數,在彈性范圍內,材料不論受拉或受壓,其值等于側向應變與軸向應變之比值,用υ表示,即

泊松比無因次量,是表示材料物理性質的一個彈性常數。它是以法國力學家S.D.Poisson (1781-1840)命名的。
3.6.2 泊松比的測量
由于橡膠材料剛度較小,采用接觸式的測量方法會增加橡膠表面剛度,使橡膠拉伸變形失真,給材料的應變測量帶來很大的誤差。因此采用傳統的電阻應變片法和云紋法等接觸式測量方法已經不能準確地測定橡膠材料的拉伸變形。非接觸式變形測量方法很多,拉曼光譜法、電子散斑干涉法、中子衍射法等方法也已經被采用,還有采用高分辨率的電荷耦合傳感器(CCD)的3D 光學非接觸式變形測量儀測量三維變形。
(1)電荷耦合傳感器(CCD)
在橡膠單軸拉伸實驗中,選用十字形試樣。橡膠試樣工作區域尺寸為50mm×50mm。在試樣的前后兩面各劃2條距離20mm的平行白色標記線,白線的中心位置用一維質心法來確定。以此作為靶標,通過CCD測量系統比較不同時刻平行的2條白線的質心之間位移的變化
在橡膠試樣拉伸過程中,首先通過長距顯微鏡將t時刻白色標記的位置聚焦在CCD探測器上,得到的兩路位移信號通過變換電路變成電壓信號后,同時由CCD傳感器送入同步驅動器,再由同步驅動器送入12位AD數據采集卡。單向拉伸實驗數據以時間-位移的形式被輸入計算機,通過數據處理軟件系統處理后,就可以得到橡膠在任意時刻的應變和泊松比。
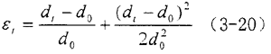
該實驗中平行的兩條白線中心之間的起始距離(d0)為20mm,拉伸t時刻時兩條平行白線中心之間的距離變為d1,設εt為材料在t時刻的格林應變,則

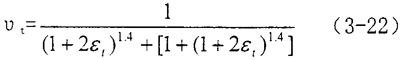
假定如果拉伸方向是1方向,垂直于拉伸的方向為2方向,則橡膠在t時刻的主泊松比(υt)為

假定橡膠材料在拉伸狀態時材料變形前后體積不變,并假定在變形前后均為方形,橡膠材料在t時刻時泊松比和格林應變的關系可以通過下式確定

由上式可以看出橡膠材料的泊松比隨格林應變的增加而減小。
(2)光干涉式測量
如下圖3.7所示,在A、B兩支點上,放一截面為矩形,長度為L的試件,兩端加外力F(集中力),使試件產生無損彎曲。

如下圖3.8所示,設ρ1表示試件中曲面與xoy面相平行的曲率半徑,ρ2表示試件中曲面與yoz面相平行的曲率半徑,試件在純彎曲時沿X軸、Z軸的線應變為

圖3.9是軸向彎曲剖視圖

在干涉式測量系統中,輔助玻璃片與變形的試件表面間形成一層薄膜。當光源經擴束透鏡和半反透射鏡垂直照射時,入射光將在些薄膜上下表面反射,產生具有一定光程左的兩束相干光,產生一系列明暗交替的雙曲線,在計數顯微鏡中將觀察到雙曲線等厚干涉條紋,如圖3.10所示。


式中rk——第k級雙曲線干涉條紋頂點至中心線的距離m
假設附加厚度為n,取第m,n級暗條紋,則對應的雙曲線的頂點到中心線的距離為

式中rm,rn—第m級、第n級雙曲線頂點到中心線的距離m
(3-27)-3-28(得)

為消除干涉圖樣中心的確定而產生的誤差,轉換為對應的雙曲線干涉條紋兩頂點間的距離的測量,得

因而軸向彎曲的曲率半徑為
上一頁
下一頁
|