第4章有限元法分析的理論基礎
4.1 有限元基本概念
有限元分析(FEA, Finite Element Analysis)的基本概念是用較簡單的問題代替復雜問題后再求解。它將求解域看成是由許多稱為有限元的小的互連子域組成,對每一單元假定一個合適的(較簡單的)近似解,然后推導求解這個域總的滿足條件(如結構的平衡條件),從而得到問題的解。這個解不是準確解,而是近似解,因為實際問題被較簡單的問題所代替了。由于大多數實際問題難以得到準確解,用有限元法不僅能提高計算精度,而且能適應各種復雜形狀,因而成為行之有效的工程分析手段。
有限元是那些集合在一起能夠表示實際連續域的離散單元。有限元的雛形早在幾個世紀前就己經形成,但作為種方法而被提出,則是最近幾十年的事,例如用多邊形(有限個直線單元)逼近圓來求得圓的周長。有限元法最初被稱為矩陣近似方法,應用于航空器的結構強度計算,并由于其方便性、實用性和有效性而引起從事力學研究的科學家的濃厚興趣。經過短短數十年的努力,隨著計算機技術的快速發展和普及,有限元方法迅速從結構工程強度分析計算擴展到幾乎所有的科學技術領域,成為一種豐富多彩、應用廣泛并且實用高效的數值分析方法。
有限元方法與其他求解邊值問題近似方法的根本區別在于它的近似性僅限于相對小的子域中。20 世紀60 年代初首次提出結構力學計算有限元概念的克拉夫(Clough)教授形象地將其描繪為:有限元法=雷利-里茨(Rayleigh-Ritz)法+分片函數,即有限元法是Rayleigh-Ritz法的一種局部化情況。不同于求解(往往是困難的)滿足整個定義域邊界條件的允許函數的Rayleigh-Ritz法,有限元法將函數定義在簡單幾何形狀(如二維問題中的三角形或任意四邊形)的單元域上(分片函數),形狀(如二維問題中的三角形或任意四邊形)的單元域上(分片函數),且不考慮整個定義域的復雜邊界條件,這是有限元法優于其他近似方法的原因之一。
對于不同物理性質和數學模型的問題,有限元求解法的基本步驟是相同的,只是具體公式推導和運算求解不同。有限元求解問題的基本步驟通常為:
第一步:問題及求解域定義根據實際問題近似確定求解域的物理性質和幾何區域;
第二步:求解域離散化,將求解域近似為具有不同有限大小和形狀彼此相連的有限個單元組成的離散域,習慣上稱為有限元網格劃分。顯然單元越。ňW格越細)則離散域的近似程度越好,計算結果也越精確,但計算量將增大,因此求解域的離散化是有限元法的核心技術之一。
第三步:確定狀態變量及控制方法,一個具體的物理問題通常可以用一組包含問題狀態變量邊界條件的微分方程式表示,為適合有限元求解,通常將微分方程化為等價的泛函形式。
第四步:單元推導,對單元構造一個適合的近似解,即推導有限單元的格式,其中包括選擇合理的單元坐標系,建立單元函數,以某種方法給出單元各狀態變量的離散關系,從而形成單元矩陣〔結構力學中稱剛度陣或柔度陣〕。
為保證問題求解的收斂性,單元推導有許多原則要遵循。對工程應用而言,重要的是應注意每一種單元的解題性能與約束。例如單元形狀應以規則為好,即單元的邊長不要相差太大,內角避免出現鈍角,避免出現畸形,因為畸形時不僅精度低,而且有缺秩的危險,將導致無法求解。
第五步:總裝求解,將單元總裝形成離散域的總矩陣方程(聯合方程組),反映對近似求解域的離散域的要求,即單元函數的連續性要滿足一定的連續條件?傃b是在相鄰單元節點進行,狀態變量及其導數(可能的話)連續性建立在節點處。
第六步:聯立方程組求解和結果解釋,有限元法最終導致聯立方程組。聯立方程組的求解可用直接法、迭代法和隨機法。求解結果是單元節點處狀態變量的近似值。對于計算結果的質量,將通過與設計準則提供的允許值比較來評價并確定是否需要重復計算。
簡言之,有限元分析可分成三個階段,前處理、處理和后處理。前處理是建立有限元模型,完成單元網格劃分;后處理則是采集處理分析結果,使用戶能簡便提取信息,了解計算結果。
4.2 非線性有限元法
非線性有限元法雖然以各類非線性問題作為研究對象,但它脫胎于線性有限元,而且在非線性方程求解時,是將其逐段線性化加以求解。
工業的進步使工程結構越來越復雜,材料品種越來越多,工程結構的工作環境越來越惡劣,對工程結構的效率要求越來越高,因而對結構分析提出了更高的要求。在很多重要的實際問題中,線彈性力學中的基本方程己不能滿足需要,應變和位移的關系可能是非線性的,應力和應變的關系也可能是非線性的,變形前和變形后的平衡方程也會發生變化,這就需要考慮非線性因素。
非線性問題可分為材料非線性、幾何非線性及邊界非線性問題。
材料非線性是指材料的本構關系是非線性的?煞譃閮深,一類是不依賴于時間的彈塑性問題,當載荷作用以后,材料變形立即發生,并且不再隨時間變化。另一類是依賴于時間的粘(彈、塑性)性問題,比較復雜。彈塑性材料的基本特性是:當載荷卸去以后存在不可恢復的永久變形,因而在涉及卸載的情況下,應力應變之間不再存在著唯一的對應關系。
幾何非線性是指物體在大變形和大應變情況下,位移與應變的關系不能用線性關系以及小應變假設進行正確的描述,必須考慮變形對平衡的影響或采用大應變理論,這時平衡方程和幾何關系都是非線性的。
邊界非線性是指由于邊界條件的性質隨物體的運動發生變化所引起的非線性響應,最典型的例子就是接觸問題。
4.2.1 屈服準則
金屬材料在變形的過程中,總是由彈性狀態過渡到塑性狀態。在物體內一點出現塑性變形時應當滿足的條件,稱為屈服準則或稱塑性條件。歷史上曾出現過各種不同的關于屈服的假設,通過實驗驗證,能夠應用于工程實際的主要有:屈雷斯卡(Tresca)屈服準則,又稱最大剪應力塑性條件:馮· 米賽斯(Von· Mises)屈服準則,又稱能量塑性條件。
(1)屈雷斯卡(Tresca )準則
屈雷斯卡做了一系列的擠壓實驗來研究屈服條件,他認為;當最大剪應力達到某一極限值時,材料即進入塑性狀態。這個條件可以寫成
當σ1>σ2>σ3時

或在一般情況下為

式中σ1、σ2、σ3—互相正交的三個主應力N
k—由材料本身所具有的性質所確定的常數
當上述三個關系式處于不等式的情況下,材料處于彈性狀態,如三個關系式中的任何一個處于等式的情況下,材料即處于塑性狀態。這個準則稱為屈雷斯卡塑性條件。
在材料力學中對于塑性材料常用最大剪應力屈服條件作為強度理論來使用,通常稱為第三強度理論。
(2)馮·米賽斯(Von·Mises)屈服準則
屈雷斯片屈服條件不考慮中間應力的影響,另外當應力處在兩個屈服面的交線上時,處理時要遇到一些數學上的困難,在主應力方向不知時,屈服條件又很復雜,因此米賽斯在1913年研究了實驗結果后,提出了另一種屈服條件。馮·米賽斯準則認為,對于各項同性材料,應力偏量第二不變量等于某一定值時材料屈服。在復雜應力狀態下,某點的應力狀態由六個分量確定,即以應力分量或應變分量為坐標的空間,空間中每點代表一個應力或應變狀態,將處于屈服應力狀態下的點連成面即為屈服面,可用應力分量表示

K為與材料相關的屈服極限。應力偏量第二不變量J2達到下式條件時材料屈服

式中σS—材料單軸試驗屈服應力N
把一個多維應力狀態用單軸應力等效起來,則:

式中σ1,σ2,σ3是三個主應力。上式的幾何意義是以σ1=σ2=σ3為軸線的圓柱面。在過原點O 并且垂直于σ1=σ2=σ3的π平面上,屈服函數的軌跡是半徑為σS的一個圓周,而在σ3=0的平面上,屈服函數的軌跡是一個橢圓,它的長半軸 ,短半軸是
米塞思屈服條件從物理意義上可以解釋為:材料的形狀改變彈性比能達到某一極限值時,材料開始屈服;或者解釋為:當材料八面體上的剪應力達到某極限值時材料開始屈服。在材料力學中,用米賽斯屈服條件作為強度理論使用時,通常稱為第四強度理論。
4.2.2 非線性有限元方程的解法
按照解的數學依據進行分類,非線性有限元方程的解法主要有最小化法、迭代法和增量法等。
(1)最小化法
在結構力學中,求解一個結構的平衡問題,通常等于求解結構總位能∏的駐值問題。

式中U(q)為結構的應變能,而 為外載所做功:上式的求解方法之一就是直接數值搜索,即通過數學規劃中無約束最小化方法。
它的缺陷是:一、往往收斂于局部最小而不是全局最;二、效率非常低。
(2)迭代法
使用虛功原理使式(4-7)總位能變分為零,得

由此可以從第i次的迭代求得i+1次的未知變量{qi-1}

的力學意義為:第i次迭代后的不平衡力,當它等于零時, 是精確的,當它不等于零時必須迭代求解以逼近精確值。Wi為超松弛因子,用以加速收斂。當式中[Ki]是割線方陣時,稱為割線剛度陣,其嚴重缺陷是收斂性差。如果采用切線剛
度陣[Ki]T時就得到牛頓-拉斐遜(Newton-Raphson)迭代法。
牛頓-拉斐遜迭代法的基本思想是:
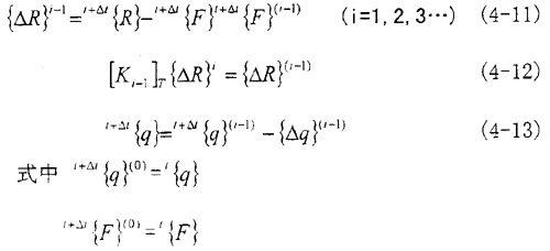
在t+△t時刻,非線性求解的基本方程為



由于節點力和節點位移之間為非線性關系,故必須對上式進行迭代求解,步驟如下

上述方程是根據有限元系統的響應線性化得到的,每一次迭代都是用式(4-11)算小平衡的載荷向量,由這些載荷向量從式(4-10)中導出位移向量,然后繼續迭代直至不平衡線荷同量{ΔR}(i-1)或位移向量qi足夠小為止。
對切線剛度陣不同的選擇方案決定了不同的迭代方法。完全牛頓-拉斐遜法( FullNewton-Raphson)(簡稱F.N.R)在每一次迭代前都要重新形成[Ki-1]T,并解方程(4-12)。為了節約機時,盡量減少形成[Ki-1]T以及對其進行三角分解的次數,修正的牛頓-拉斐遜法(ModifiedNewton-Raphson)(簡稱M.N.R)沿用了i=1時的切線剛度陣[K0]T,這樣僅形成一次切線剛度陣并進行三角化分解而后的迭代只是線性方程組的回代過程。實際應用修正的牛頓-拉斐遜法時可人為的規定只要進行了一定次數的迭代,就重新形成和分解一次剛度矩陣,以改善[Ki-1]T性質.
M.X.R法在收斂性方面比F.N.R法差,對于逐漸硬化和突然硬化這兩種變形硬化的結構,隨著載荷的增加,典型位移的增加速度變慢,結構變得更加剛硬,這時用M.N.R法往往會導致發散,即迭代難以收斂。從效率上來說,對于一個軟化或輕微硬化結構,達到同一加載步的收斂解的迭代次數,F.N.R法比M.N.R法少,故總的計算時間F.N.R不一定比M.N.R方法多,尤其在非線性程度較高的情況下更是如此。
擬牛頓-拉斐遜法(Quiasi Newton Raphson)(簡稱QXR)提供了一個介于M.N.R法和F.N.R法之間的折衷辦法,在每次迭代中既不重新形成和分解剛度矩陣,又不沿用舊的剛度矩陣,而是用一定的方法對舊的剛度矩陣加以修正并計算新的位移。擬牛頓法給出了第(i+1)次到第i次矩陣的割線逼近,又稱割線牛頓法,而量有效的方法BFGS法(Broyden Fletcher Gotdfard Shanno),它結俁了無約束最小化方法給出了最后公式。而字最大的缺點是要占用較多的計算機空間。
比較上述三種方法(F.N.R法,M.N.R法和BFGS法),一般來說,在計算效率上最高的為修正牛頓-拉斐遜法,其次為BFGS法,再次為全牛頓-拉斐遜法;在收斂性力方面情況正好相反,最好的為全牛頓-拉斐遜法,其次為BFGS法,再次為修正,牛頓-拉斐遜法。在結構的分析過程中,當非線性程度不高時(一般為加載初期)用修正牛頓-拉斐遜法,當非線性程度較高時(一般為加載后期)使用BFGS法或全牛頓-拉斐遜法。
為了取得較好的收斂解,在用ANSYS進行計算機模擬的過程中,選用全牛頓-拉斐遜法。
(3)增量法
增量法求解非線性問題時,載荷是一步步逐級旋加的。其前提條件是施加過程中載荷分布是不變化的,可以把某一時刻外載{F}寫為λ{F}ref、,λ為載荷乘子,{F}ref為參考載荷矢量,這樣增量形式的平衡方程為

即:

式中增量剛度矩陣 對應于真實變形曲線的梯度,這是增量法的一個優點,它可以追蹤結構的變形歷史,這對材料與幾何非線性(特別是極限屈曲分析)是很有用的。
最簡單的增量法是歐拉-柯西(Euler-Cauchy)法,它在非線性有限元法中稱變剛度法,在上述的方程中, 由每一增量步開始時物體的構形計算出,步驟如下


此法普在非線性有限元發展的初期廣泛使用,但是期致命的弱點是很快漂移,而不符合實際解,為避免漂移采用平衡修正法可大大提高精度,甚至避免漂移現象。
4.2.3迭代收斂準則
對于方程組的平衡迭代而言,需要一個有效的收斂準則來判斷是否結束迭代,用于結構力學的收斂準則主要有三種:
(1)位移準則

式中aD—位移收斂容差
||Δqi+1||一某種范數,通常取無窮范數、1范數和2范數
在有些時候,位移收斂準則不可靠。
(2)不平衡力(殘余力)準則
不平衡力表示為

式中{F}——外載荷矢量
{Pi}——第i次迭代終了時與內力相平衡的節點力矢量
靜力分析時{Pi}為:

力的收斂準則為

(3)能量準則
本準則的意圖在于同時控制位移和力,使之一起處于平衡。方法是把每一次迭代時內能的增量(即不平衡力在位移增量上做的功)同初始的內能增量相比較。

式中aE——預定的能量容差
上一頁
下一頁
|