第4章 不對中狀態的理論分析
4.1 以材料力學為基礎的受扭分析
聯軸器正常工作情況下,只受到一個旋轉的扭矩。因此首先來研究圓環受扭轉時的應力,這要綜合研究幾何、物理和靜力等三方面的關系。

4.1.1 變形幾何關系
為了觀察圓軸的扭轉變形,與薄璧圓筒受扭一樣,在圓周表面上作圓周線和縱向線,在扭轉力偶矩m作用下,得到與薄璧圓筒受扭時相似的現象。即:各圓周線繞軸線相對地旋轉了一個角度,但大小,形狀和相鄰圓周線的距離不變,在校變形的情況下,縱向線仍然近似地是一條直線。只是傾斜了一個微小的角度,變形前表面上的方格,變形后錯動成菱形。
根據觀察到的現象,做下述基本假設:圓周扭轉變形前原為平面的橫截面,變形后仍保持平面,形狀和大小不變,半徑仍保持為直線;且相鄰兩截面間的距離不變。這就是圓周扭轉的平面假設。按照這一假設,扭轉變形中,圓軸的橫截面就像剛性平面一樣,繞軸線旋轉了個角度。以平面假設為基礎到處的應力和變形計算公式,符合試驗結果,且與彈性力學一致。
在圖4.1中,ф表示圓周兩端截面的相對轉角,稱為扭轉角。扭轉角用弧度來度量。用相鄰的橫截面p-p和q-q從軸中取出長為dx的微段。剪應變
y=P
(4-1)
式中dф/dx是轉角φ沿x軸的變化率。對一個給定的截面來說,它是常量。公式表明,橫截面上任一點的剪應變與該點到圓心的距離p成正比。
4.1.2 物理關系
以
P表示橫截面上距圓心為ρ出的剪應力,由剪切胡克定律知道
P=G·y (4-2)
將式(5-1)代入上式則可以得到
P= G·P
(4-3)
這表明,橫截面上任一點的剪應力
ρ與該點到原新的距離ρ成正比。因為Yρ發生于垂直于半徑的平面內,所以Yρ也與半徑垂直。如果注意到剪應力互等定理,則在縱向截面和橫截面上,沿半徑剪應力的分布如圖4.2所示

因為公式中的 dф/dx尚未求出,所以仍不能用它計算剪應力,這就要用靜力關系來解決。
4.1.3 靜力關系
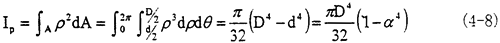
于圓軸橫截面內,按極坐標取微分面積dA,求出內力系對圓心的力矩就是截面上的扭矩即:

Ip稱為橫截面對圓心點的極慣性矩。由公式可以算出橫截面上距圓心為ρ的任一點的剪應力為:

在圓截面邊緣上,ρ為最大值R,得到最大剪應力為:

引用記號Wt=
,Wt為抗扭截面系數,便可以改寫公式為τmox=
,導出的公式中引進了截面極慣性矩和抗扭截面系數,在空心軸的情況下有


其中D和d分別為空心圓截面的外徑和內徑,R為外半徑,α=d/D
最后建立圓軸扭轉的強度條件,根據軸的受力情況或扭矩圖,求出最大扭矩Tmax。對于等截面桿,按照公式算出最大剪應力τmax不超過許用應力[τ],

4.2 以彈塑性力學為基礎的受扭分析
在材料力學中已知圓軸扭轉時的變形規律。隨著扭矩MT的增加,剪應力也不斷增大。由于圓軸最外層剪應力最大,因而最外層首先進入塑性狀態,此時的扭矩就是圓軸的彈性極限扭矩
MT=
(τθz)max (4-11)

(1)當最外層開始屈服時,此時最外層剪應力應達到剪切屈服應力τy,即(τθz)max=τy,如圖4.4(a),于是有
=
τy。
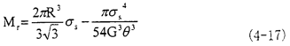
若選用Mises屈服準則,則有

若選用Tresca屈服準則,則有

(2)當圓軸整個截面都進入塑性狀態,如圖4.4(c),此時的扭矩就是圓軸的塑性極限
,即

若選用Mises屈服準則,則

若選用Tresca屈服準則,則

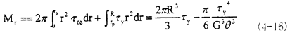
(3)當扭矩MT處于彈性與塑性極限扭矩之間時,即
<MT<
時,則圓軸外層處于塑性狀態,內層處于彈性狀態,彈性區與塑性區的分界面半徑為rP,此時扭矩

此時剪應力在截面上沿半徑R的分布情況見如圖4.4(b)所示。
若先Mises屈服準則,則有

若選用Tresca屈服準則,則有

隨著扭矩的增加,塑性區由圓軸的外層向軸的中心逐漸擴大,直至整個截面全部進入塑性狀態。當軸的整個截面全部進入塑性狀態后,圓軸將進入無約束的塑性變形,此時的圓軸將完全喪失承載能力。
彈性與塑性極限扭矩之比為:

4.3 軸向不對中時的聯軸器的工作狀態
在像膠右端面圓環上取單元體,且在分析過程中時取關鍵的四個象限點的位置作為研究對象,分別為90°,180°,270°,360°位置為研究對象。后面的徑向不對中、角向不對中以及綜合不對中也采用相同的4個位置進行分析。

軸向不對中時,由于軸向的偏移,橡膠圓環左端面受到附加的向左拉應力,右端面則受到附加的向右的拉應力,并且在旋轉過程中,拉應力σax的大小和方向的大小和方向都不會隨著圓環的旋轉角度改變而改變;由橡膠圓環旋轉扭矩產生的剪應力τrot方向始終與其線速度方向相反,而線速度方向在旋轉一周的過程中不斷的變化。軸向不對中時的應力情況應該是σox與τrot的疊加,所以其受力情況比較復雜。
根據實際情況計算出工作時的剪應力:GK2型內燃機車啟動發電機ZQF-38TH,115V,38KW,1170~358Or/min;GK2型內燃機機用柴油機型號為MTU16V396TC14,持續功率為1378KW,旋轉角速度為18O0rad/min。柴油機冷區液溫度為40℃時最小啟動轉矩包括加速余量約8OON.m,曲軸扭矩約75ON.m

根據聯軸器破壞時的橡膠圓環的裂紋方向和角度,可以知道裂紋有一個400的斜角,也就是說引起破壞的應力平面具有一定的角度。首先假設破壞僅僅是源于軸向不對中應起的,下面對具體的位置進行討論。
(1)軸向不對中90°位置:當圓環上的單元體旋轉到最上方時,也就是90°位置時,單元體的應力如下圖所示。

此時的受力情況其實屬于二向應力狀態,利用解析法可知

最大主應力平面如圖4.9所示。
上一頁
下一頁