第三章 RV減速器虛擬樣機的建模
3.1 RV減速器虛擬樣機的幾何建模
3.1.1基于特征的參數化建模
一、參數化造型技術
參數化技術以一種全新的思維和方式進行產品的造型、創新設計和修改設計,是指設于對象的結構形狀比較確定,可以用一組參數來定義幾何圖形(體素)的尺寸數值并約束尺寸的關系,為設計者進行幾何造型提供條件。參數與設計對象的控制尺寸有明顯的對應關系,設計結果的修改受尺寸驅動的影響,所以也稱為參數化尺寸驅動。參數化技術以其強有力的草圖設計、尺寸驅動修改等功能,成為初始設計、產品建模(實體造型)及修改設計、系列化設計、多方案比較和動態設計的有效手段。
參數化設計的出發點是,通過說明產品的幾何組成要素之間的幾何特征及其相互位置關系,定義一類形狀或結構相似的幾何實體,該類實體的實例由一組特定的幾何約束值確定。由此,參數化實體模型是由幾何模型和幾何約束模型兩部分組成。完備的約束模型通過尺寸對幾何形狀的某些控制元素加以約束,構成對幾何形體數據的唯一而完整的表示。在產品的幾何形狀修改和重建時,可以通過幾何約束建立尺寸與幾何定義變量之問的約束方程組,求解約束方程組以實現尺寸變化到幾何改變的傳遞。
參數化造型是參數化技術在幾何造型中的具體應用,使用約束來定義和修改幾何模型,約束包括尺寸約束、拓撲約束和工程約束(如應力、性能等),這些約束反映了設計時要考慮的因素。
通常,參數化特征造型方法包括兩種方式:
1.尺寸驅動系統又稱參數化造型系統,它不考慮工程約束,只考慮幾何尺寸及拓撲。
2.變量設計系統考慮所有約束,通過求解一組約束方程組來確定產品的形狀和尺寸。約束與尺寸可以是幾何關系也可以是工程計算關系。變量設計可應用于公差分析、運動機構優化設計等。
二、基于特征的參數化造型
將參數化造型的思想和特征造型的思想有機地結合到一起,用尺寸驅動或變量設計的方法定義特征并進行類似的操作,這樣就形成了參數化特征造型。由于特征全部用參數化定義,因此對形狀、尺寸、公差、表面粗糙度等均可隨時修改和更新,最終達到修改設計的目的。參數化方法使設計者構造幾何模型時可以集中于概念設計和整體設計,充分發揮創造性,提高設計效率,基于特征的技術包含了零件的制造加工信息,為設計考提供了符合人們思維習慣的設計環境,二者有機結合起來進行實體造型將極大地提高,受計效率。
基于特征的參數化設計是實現動態設計、優化的前提。傳統的二維圖板式制圖注定沒計與造型永遠是完全脫節的兩部分。而UG具有強大的基于特征的參數化造型功能,道模和修改方便快捷,所以本課題運用UG的目的不僅是要完成幾何建模,同時要立足于發現問題、及時解決問題以及后期與ADAMS組合起來進行產品優化。
3.1.2 RV減速器的結構分析
本課題研究的減速器型號為RV-6AⅡ,用于120kg點焊機器人上,其額定工況是輸入轉速1500r/min,負載為58N·m,下圖為利用UG生成的該型號RV減速器的爆炸圖,主要由齒輪軸、行星輪、曲柄軸、轉臂軸承、擺線輪、針輪、剛性盤及輸出盤等零部件組成。

一、零部件介紹
(l)齒輪軸:齒輪軸用來傳遞輸入功率,且與漸開線行星輪互相嚙合。
(2)行星輪:它與轉臂(曲柄軸)固聯,兩個行星輪均勻地分布在一個圓周上,起功率分流的作用,即將輸入功率分成兩路傳遞給擺線針輪行星機構。
(3)轉臂(曲柄軸)H:轉臂是擺線輪的旋轉軸。它的一端與行星輪相聯接,另一端與支撐圓盤相聯接,它可以帶動擺線輪產生公轉,而且又支撐擺線輪產生自轉。
(4)擺線輪(RV齒輪):為了實現徑向力的平衡在該傳動機構中,一般應采用兩個完全相同的擺線輪,分別安裝在曲柄軸上,且兩擺線輪的偏心位置相互成180°。
(5)針輪:針輪與機架固連在一起而成為針輪殼體,在針輪上安裝有30個針齒。
(6)剛性盤與輸出盤:輸出盤是RV型傳動機構與外界從動工作機相聯接的構件,輸出盤與剛性盤相互聯接成為一個整體,而輸出運動或動力。在剛性盤上均勻分布兩個轉臂的軸承孔,而轉臂的輸出端借助于軸承安裝在這個剛性盤上。
二、傳動原理

圖3-2是RV傳動簡圖。它由漸開線圓柱齒傳輸線行星減速機構和擺線針輪行星減速機構兩部分組成。漸開線行星齒輪3與曲柄軸2連成一體,作為擺線針輪傳動部分的輸入。如果漸開線中心齒輪1順時針方向旋轉,那么漸開線行星齒輪在公轉的同時還有逆時針方向自轉,并通過曲柄帶動擺線輪作偏心運動,此時擺線輪在其軸線公轉的同時,還將在針齒的作用下反向自轉,即順時針轉動。同時通過曲柄軸將擺線輪的轉動等速傳給輸出機構。
為計算RV傳動的傳動比,將上述的傳動簡圖用圖3-3所示的結構簡圖代替。該機構簡圖包括兩個簡單行星機構:x1和x2。輸出件A為中心輪1,輸出件B為輸出盤6,且有ω6=ω4。支承件E為針輪7,漸開線行星輪2與轉臂(曲柄軸)3均為輔助件d。

再由圖1-2,按照封閉差動輪系求解傳動比的如下關系式來計算其傳動比:

從圖1-1可知,當針輪7固定,輸出盤6輸出時

式中Z1——漸開線中心輪齒數;Z2——漸開線行星輪齒數;
Z4——擺線輪齒數;Z7——針輪齒數,Z7=Z4+1。
經計算,本型號RV減速器的傳動比為103。
三、RV傳動過程剖析
1.第一級減速的形成
執行電機的旋轉運動由齒輪軸傳遞給兩個漸開線行星輪,進行第一級減速。
2.第二級減速的形成
行星輪的旋轉通過曲柄軸帶動相距180°的擺線輪,從而生成擺線輪的公轉;同時由于擺線輪在公轉過程中會受到固定于針齒殼上的針齒的作用力而形成與擺線輪公轉方向相反的力矩,也造就了擺線輪的自轉運動,這樣完成了第二級減速。
3.運動的輸出
通過兩個曲柄軸使擺線輪與剛性盤構成平行四邊形的等角速度輸出機構,將擺線輪的轉動等速傳遞給剛性盤及輸出盤。
3.1.3 RV減速器的參數化建模
UC的基于特征的參數化造型功能為RV減速器的幾何建模提供了可靠的保證,也為后續的仿真和優化奠定了堅實的基礎。在建造每個零件時比較重要卻往往易忽視的一點是進行材料屬性的定義,比如密度和彈性模量,因為在后續分析中要用到這些屬性,同時UG與ADAMS和ANSYS的無縫鏈接可以讓這些屬性參數實現通訊。
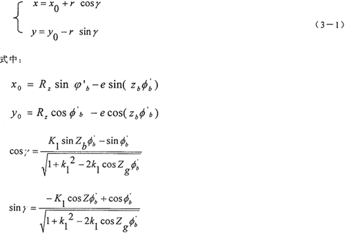
下面僅就具有代表性且較復雜的關鍵零件——擺線輪來簡述一下參數化建模的方法。RV減速器的第二級擺線針輪傳動采用圓柱面針齒與具有短幅外擺線等距曲線齒面的擺線輪相嚙合,擺線輪齒面形狀復雜,但對整個系統的承載能力與壽命有極大的影響,因此齒面的造型極為重要。擺線輪齒廓形狀可由其曲線齒廓方程直接生成。
擺線輪齒廓形狀曲線表達式:

其中各個符號含義如下:(參見圖3-4)
zg——擺線輪齒數; e——偏心距; r——針齒半徑; φ′b——針齒中心相對擺線輪中心轉過的角度; Rz——針齒分布圓半徑;
zb——針齒齒數; k1——短幅系數或變幅系數; γ——M點公法線與X軸的夾角

參照上述的擺線輪齒廓形狀曲線表達式,在UG中建立的擺線的參數表達式見下圖:

式中t為系統內部變量,范圍從O變到1,相應地φ′b從0變到360,得到完整的擺線輪廓,之后把形成的封閉曲線沿與曲線所在的平面相垂直的方向拉伸就形成了擺線針輪的實體。圖3-5就是所得到的擺線輪,當然這里建造的擺線輪沒有考慮修形,因為修形是擺線輪制造中較難把握的環節,因而關于修形的研究在下一章中有詳細的論述。
3.1.4整個模型的驗證
當所有的零件裝配完成后,在導入到仿真軟件前,有必要對整壞模型進行幾何仿真,確保所設計的模型符合要求,并發現可能存在的缺陷,及時糾正問題,同時對后續的工作具有較大的指導意義。
一、質量屬性驗證
通過UG強大的質量屬性檢驗功能,可獲得每個零件及整個模型的密度、體積、質量和慣量等必要信息。上圖3-7是所獲得的擺線輪的相關信息。

二、干涉檢驗
可以檢查模型裝配完成后的靜態干涉狀況,確保幾何體建模正確且裝配正確。UG的干涉檢驗分為硬干涉(Hard Interferences)、軟干涉(Soft Interferences)、接觸干涉(Touch1ng Interferences)和包含干涉(Containment Interferences)。當檢驗有干涉時,UG會高亮干涉點,引導用戶發現問題。各種干涉定義如下:
·硬干涉一一兩幾何體彼此相交,且二者間無包含關系。
·軟干涉一一兩幾何體間的距離小于或等于干涉臨界點(進行分析前指定,一般默認為0),但不接觸。
·接觸干涉一一兩幾何體接觸但不相交。
·包含干涉一一一方完全包含另一方。
后三種都是實際結構可能存在的,當出現第一種干涉即硬干涉時就要引起高度重視,這可能是:設計存在問題,必須及時糾正。就是借助此功能,造型完成后,本人發現輸出盤與擺紅、輪間有硬干涉(見圖3-8),與設計此減速器的部門交換意見,原來他們在設計完后沒有發現此問題,等制造出成品后才發現,便通過手工磨削將干涉部分除去。此處也充分體現了與傳統的設計方法相比,虛擬樣機技術有著不可比擬的優越,即在制造第一臺物理樣機前就發現了機構在結構方面的缺陷。至于機構的優化和性能改進方面,通過后面的仿真分析更能清楚地展現虛擬樣機技術的優越。

3.2 RV減速器的系統仿真
3.2.1 系統仿真概述
機械系統仿真指工程師在數字計算上建立系統的模型,并在模型上進行不同的實驗,其后以圖形或表格等方式顯示該系統在各種工程條件下的運動特性,從而修改并優化原始設計方案。
一般機械系統仿真過程流程圖:

優勢:1、縮短產品試制周期、減少物理樣機實驗次數,因此,工程師可在產品優化方面軍投入更多的精力;
2、機械系統仿真技術增加了零件彈性,添加了真實的摩擦力和控制系統,明顯提高了預測產品性能的精度;
3、機械系統仿真技術可幫助工程師更好地理解不同設計方案對產品性能的影響;
4、可以實時、快速地確定影響設計方案性能的敏感系數;
5、從開發模式而言,在虛據點樣機技術中,工程師從系統的角度出發對產品進行設計優人,這一點優于傳統地零部件設計方法;
3.2.2 RV減速器虛擬樣機的物理建模
一、在ADAMS中進行機械系統仿真的步取:
1.運動分析:對機構進行必要的運動分析,大致了解其運動規律;
2.簡化模型:對不影響系統分析的零部件進行精簡,以節約存儲空間,加快模型的計算。本減速器進行的簡化主要有:將漸開線齒輪用圓柱代替(因為ADAMS中有專門的齒輪約束副),曲柄上的軸承與曲柄固結為一體,刪除針齒殼(因其與機架固結,不影響運動傳遞);
3.環境設置:進行坐標系、系統單位及網格等的設置,為后續的工作做準備;
4.約束定義:施加約束,并定義各約束的屬性;
5.定義激勵:建立驅動及力,即計算系統在給定位置上對給定激勵的各種響應,包括位移、角位移、速度和加速度響應等,并計算有激勵產生的約束力;
6.進行仿真:設置好必要的仿真參數,執行仿真分析;
7.結果處理:提取必要信息,顯示、處理并輸出仿真結果。
二、對RV減速器抽齒的確定
當傳動比i較大時,理論上要求的針齒數較多,在針齒殼上鉆的針齒銷孔也要增多,從而使針齒殼的強度削弱。且針齒殼孔過多,孔間臂厚太薄,加工后會產生較大的變形。因此,當針齒數過多時(24個以上),需要抽齒,即在設計中按針齒等距的均勻抽掉一半或三分之二的方式進行抽齒。雖然在本減速器的物理模型中刪除了針齒殼,但考慮到實際加工的限制,還是對減速器進行一半抽齒,即每隔一個針齒抽去一個針齒。因擺線針輪傳動從理論上說有二分之一的齒嚙合,而實際上參與嚙合的齒數大約有三分之一,故在該多齒嚙合的傳動中,抽齒后仍可保持傳動的連續性。因此,擺線輪齒數不變,傳動比也不變;故抽齒后,各構件的相互幾何關系不發生任何變化,幾何計算也仍需按抽齒前的進行。
三、整個機構施加的約束
運動分析和環境設置是仿真分析中較基本的內容,而準確定義反映實際機構運動關系的約束和激勵較難把握,因此僅對其做詳細的說明。
一個完整的機構可由以下基本元件組成:構件、力、約束、運動激勵等。約束的實現是建立虛擬樣機的重要內容,約束類型方式決定了機械系統運動學、動力學的特征,是仿真分析真實可靠性的保證。約束定義的是機構內兩構件的聯接關系,它限制兩構件在某個方向上的相對運動。常用的約束類型有:理想約束、虛約束、高幅約束等。
1.本系統加入的約束為:
齒輪軸與大地間施加一個旋轉運動副(Revolute Joint);
兩個行星齒輪與齒輪軸間分別施加行星齒輪副(Gear),為了實現行星齒輪副的定義,在兩個行星齒輪與齒輪軸間均添加一根無質量的輔助構件一一系桿,系桿與行星齒輪和齒輪軸都使用旋轉運動副聯接,這樣可以實現準確的運動關系定義,且不影響整機的性能分析;
兩個曲柄軸與行星齒輪間分別施加固定約束副(Fix Joint),來模擬它們間的花鍵聯接,因為此處漸開線花鍵的作用是讓曲柄軸與行星齒輪固結為一體,固定約束副的工程意義正如此;
兩個擺線輪與兩個曲柄軸之間施加基于力的接觸(Circle in circle contact,共四個)
針齒與兩擺線輪間施加接觸力(solid to Solid Contact Force);
每個針齒與大地間均施加一個旋轉運動副(Revolute Joint);
剛性盤與兩曲柄軸間施加基于力的接觸(Circlein Circle Contact,共兩個);
輸出盤與剛性盤間施加固定約束副(Fix Joint);
兩擺線輪與齒輪軸間,及剛性盤與輸出軸間要施加平行軸虛約束(Parallel_axes Primitive_Joint),因為ADAMS要求曲線與曲線接觸(如Circle in Circle Contact)必須始終保持在一個平面內,但在仿真過程中因徑向力或力矩可能出現不平衡,這樣會導致開始在一個平面內的兩條曲線不再位于一個平面上,因此平行軸虛約束非常必要。并且,此約束的施加不會產生過約束。
在此對本課題所采用的接觸力(Contact Force)模型和基于力的接觸(Force-Based Contact)模型作補充說明,這兩種模型能較好地模擬實體間的接觸與碰撞。
(一)接觸力模型
在ADAMS中接觸分為兩類:二維接觸和三維接觸,其中二維接觸用于模擬平面幾何體單元之間的相互作用,如圓、曲線、點等;而三維接觸用于模擬實體之間的相互作用,如球、圓柱體、封閉殼、拉伸體以及旋轉體等。接觸力模型使用兩種不同的算法:
(1)基于恢復的接觸
在這種方式中,ADAMS的分析引擎一一ADAMS/Solver根據懲罰系數和恢復系數來計算接觸力,其中懲罰系數定義了接觸材料的局部剛度特性,懲罰系數大則保證一個幾何體與另一個幾何體的穿入深度較小,然而懲罰系數大會導致數值積分困難;恢復系數則表示碰撞接觸中的能量損耗。如果其值為O,則表示兩個碰撞體為完全的、理想的塑性接觸。如果值為1,則表示為完全彈性碰撞,沒有能量損耗。它的取值與接觸材料、摩擦有關系。
(2)普于IMPACT函數的接觸
在這種方式中,ADAMS/Solver根據ADAMS函數庫中的IMPACT函數來計算接觸力,該力實質上被模擬為一個非線形的彈簧阻尼器。
本論文中所定義的接觸力都是基于IMPACT函數的接觸模型。在ADAMS中定義IMPACT函數的方程為:
上式中,
·x:指定一個距離變量來表示被定義接觸的兩物體間的相對位移;

·xl:一個正的實數,指定x的自由長度,如果x小于x1那么ADAMS/Solver計算的力值為正,否則,力值為零(具體含義見圖3-7),x1可以為實數、函數或變量;
·k:為剛度(Stiffness),指定被用于計算接觸碰撞模型中法向作用力的材料剛度。一般來講,剛度越高,接觸體就越硬。
·cmax:為阻尼(Damping),是一個非負的實數,用于指定接觸材料的阻尼屬性。
·d:稱為穿入深度(Penetration Depth),定義ADAMS/Solver啟動完全阻尼的深度。
ADAMS/Solver使用一個立方函數來模擬阻尼系數,當深度為零時阻尼系數為零,當深度達到所定義的穿入深度時為完全阻尼。
·e:力指數(Force Exponent):ADAMS?Solver將法向作用力建摸為一個非線形彈簧阻尼器。

(二)基于力的接觸(Force-Based Contact)模型
基于力的接觸是作用在零件上的特殊的力。當指定的零件幾何體彼此進入一個預定義的接近程度,這些力就將會激活。ADAMs/Solver將根據一個接觸數組來確定這些力的值,而該數組中的幾個主要參數與IMPACT函數中的參數意義相似。具體如下:
·剛度:單元的穿入深度所產生的力。
·力指數:力變形特征的指數。
·阻尼:最大粘性阻尼系數。
·穿入深度:全阻尼開始啟動的穿入深度。
·靜摩擦系數(μs):作用在相對運動相反方向上的摩擦力與法向作用力的比值。
·靜摩擦滑動速度(Vs):靜摩擦系數達到全值的速度。
·動摩擦系數(μk):作用在相對運動相反方向上的摩擦力與法向作用力的比值。
·動摩擦滑動速度(Vk):靜摩擦系數完全轉變為動摩擦系數的速度值。
幾個摩擦參數的關系如下圖所示:

這些參數的設定是令大多工程師們較頭疼的,在對其含義透徹理解的基礎上還涉及較多的工程實際經驗。不僅要考慮相碰撞的兩物體的材料,還與機構所工作的環境(有無潤滑油)有關,經過多次實驗且與有經驗的工程師交流,最終將接觸約束的各參數定義為下表(表3-l)所示:
k |
e |
c |
d |
μs |
Vs |
μk |
Vk |
1e5N/mm |
1.5 |
50N-ec/mm |
0.1mm |
0.08 |
0.1mm/sec |
0.05 |
10mm/sec |
表3-1接觸約束的參數定義
2.運動激勵與力:電機轉速與輸出扭矩,即在輸入軸的旋轉副上施加旋轉運動激勵(Rotational Motion),使輸入軸保持等速旋轉,在輸出盤上施加負載(Simple_component Torque)。
約束定義完后需對整個模型進行校驗,確保所有的零件均施加了約束且約束施加合理準確。下面是驗證結果:
VERIFY MODEL:.RV_reducer
29 Gruebler Count (approximate degrees of freedom)
26 Moving Parts (not including ground)
20 Revolute Joints
3 Fixed Joints
3 Parallel_axes Primitive_Joints
1 Motions
2 Gears
29 Degrees of Freedom for .RV_reducer There are no redundant constraint equations. Model verified successfully
仿真到某一時刻的模型見下圖:

3.2.3 RV減速器虛擬樣機的驗證
為了檢驗不同的輸入角速度情況下,輸出角速度與輸入角速度的關系是否保持為減速比,可將輸入角速度設置為變量,取不同的值進行驗證。
(1)空載情況下
本課題中對輸入轉速取兩個值(n1=500轉/分3000度/稍及n1=100轉/分=600度/秒)分別進行了仿真,仿真結果如下圖(圖3-9,3-10):


按RV減速器傳動比的理論計算公式i16=1+(z2/z1)Z7,由村課題所研究的RV減速器的參數:Z2=34,Z1=10,Z7=30,計算得到總的傳動比為103,而由仿真得到的傳動比在圖3-8中為i=3000/29.12=103.02,在圖3-9中為i=600/5.829=102.93,且圖中擺線輪與輸出盤的角速度相等說明輸出部分施加的約束滿足等角速度輸出原理。
(2)額定負載下
在輸出軸上施加58N·m的力矩,輸入軸轉速為1500轉/分(即9000度/秒),仿真的結果為:

虛擬樣機模型驗證的結論:對該虛擬樣機模型,只要定義了輸入轉速和負載扭矩,就可以進行正確的仿真,并且傳動比總為103,也就是說該模型適合于任何工況,并且針齒與擺線輪間作用力的變化規律符合工程上的實際情況,因此該樣機模型建立正確,可以進行下面的分析。
上一頁
下一頁