第四章 RV減速器的仿真修形研究
前面建立RV減速器的虛擬樣機模型時,假設擺線輪與針輪間沒有間隙;而在實際的擺線針輪減速器中,為了在嚙合面間形成油膜,補償溫升引起的熱膨脹和制造誤差,在擺線輪和針齒間應有一定的齒側間隙,否則將使嚙合摩擦損失增大,嚙合齒面間易產生膠合等。并且與實際工作情況吻合是虛擬樣機技術首要考慮的。另一方面由于機器人要求很高的定位精度和精密傳動,因此對RV減速器的傳動誤差與空程角誤差的要求尤其之高,通常其傳動誤差的允許值僅為1′,且空程角誤差也不超過1.5′,而擺線輪修形是RV減速器制造中最重要也最難的環節,其修形方式及修形量的選擇對整個機構傳動誤差及空程角誤差的影響非常大,因此在本虛擬樣機中將擺線輪修形并對其進行優化分析極為必要。
4.1 RV減速器中擺線輪的齒廓修形理論
擺線輪修形就是將標準齒廓進行修正,使擺線輪與針齒間得到側隙。根據擺線針輪行星傳動的嚙合與加工原理,目前國內一般采用以下三種修形方法:
1.移距修形法
磨削擺線輪齒廓時,使砂輪相對工作臺移動一個微小的距離△Rz,這樣就得到一條新的擺線齒廓,即修正的齒廓曲線:砂輪向工作臺多移動△Rz,定義為正移距修形;反之為負移距修形。采用這種方法加工擺線輪時,偏心距e,砂輪齒形半徑r,傳動比等均和加工標準齒廓時一樣,只是針齒中心圓半徑變為Rz一△Rz。因此,磨出的擺線齒廓的短幅系數Kl′=eZb/(Rz-△Rz)將大于理論齒廓的短幅系數K1′=eZb/Rz,顯然,短幅系數的增大將使擺線輪的嚙合性能發生變化。
2.等距修形法
磨削擺線輪齒廓時,機床的調整完全和加工標準齒廓時一樣,只是將砂輪齒形半徑相對地增大△r或減小△r,這樣的修形方法稱為等距修形法。砂輪半徑增大△r為正等距修形;反之為負等距修形。采用這種修形法磨出的擺線輪齒廓的短幅系數Kl沒有改變,它的齒廓與標準齒廓是同一條短幅外擺線的等距曲線,但△r大小的不同也將影響嚙合性能。
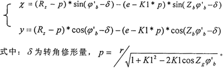
3.轉角修形法
采用這種方法加工擺線輪時,磨齒機的調整和加工標準齒廓時相同,只是在磨出標準齒廓以后,將分齒機構和偏心機構的聯系脫開,然后撥動分齒掛輪上的齒輪,使工作臺轉過一微小的角度δ,從而改變了擺線輪在上一次磨削時的初始位置。這樣重新磨削后,就得到一條與標準齒廓基本上一樣的齒廓,僅整個輪齒變瘦一些,而齒間變大一些;其特點是同時嚙合齒數較多,但擺線輪的齒頂和齒根圓直徑沒有變化,該處與針齒相嚙合時沒有間隙存在,因此不能單獨使用轉角修形法。
以上三種齒廓修形法中,轉角修形法不僅機構調整麻煩,而且不能單獨使用,然而采用適當的移距修形量和等距修形量相組合的方法可使磨削出的齒廓與用轉角修形法得到的齒廓相接近,因此在傳動中可使多對齒同時嚙合,并且在齒頂和齒根處均有間隙存在,采用這樣的修形方法磨削擺線輪比轉角修形法方便得多。
擺線輪的齒廓修形量是影響RV減速器傳動性能的重要參數,首先需建立一個概括上述的前兩種修形方法的通用擺線輪齒廓方程式,只要將標準齒廓方程式(3-l)中的Rz以(Rz-△Rz)代替,K1以K1′=e*zb/(Rz-△Rz)代替,r以(r+△r)代替,即可得到通用擺線輪齒廓方程式為:

雖然實際生產中很少使用轉角修形法,但研究移距修形量和等距修形量組合的方法時,所得齒廓常常要與轉角修形的齒廓進行比較,因此在此需建立轉角修形的齒廓方程式:

4.2 用子程序實現減速器優化
由于UG與ADAMS之間具有內部聯調的功能,即ADAMS不能驅動任何尺寸,要想隨機地調整修形量的大小來設變擺線輪的外形,進而得到最佳的傳動性能,必須在ADAMS中建立擺線輪。然而ADAMS建造擺線輪這種復雜零件的能力是比較弱的,因此選擇子程序的方式來完成。
4.2.1 ADAMS中使用子程序簡介
ADAMS/Solver是ADAMS必不可少的核心求解器,可自動解算運動學、(準)靜定、動力學的線性和非線性方程,而與c++或Fortran結合更提供了無限制的分析空間。運用ADAMS/Solver的子程序可以做到:
定義標準建模無法實現的模型單元;
建立自己經常使用的用戶庫;
使在ADAMS中的操作更加方便、快捷。
編寫用戶子程序并將其鏈接到ADAMS的步驟如下:
l)根據所要發布的命令或聲明從ADAMS的安裝目錄中選擇對應的子程序模板,比如要發布CURVE命令則需選擇CUESUB子程序。
2)決定你需要向子程序傳遞的參數,這些參數就是隨后在優化分析中將使用的設計變量,ADAMS每次調用子程序時將傳遞不同的參數。
3)按照子程序模板提供的框架,在文本編輯器或直接在編譯器中編寫、調試自己的程序。
4)在FORTRAN或VC++編譯器(根據ADAMS版本選擇相應的編譯器版本)中編譯完成的用戶子程序,生成目標文件(*.obj文件)。
5)在背景模式(即命令提示模式)下,將上一步的目標文件與ADAMS鏈接,生成可執行的用戶庫(*.dll)。
6)ADAMS調用用戶庫,產生所需的模型單元。
4.2.2子程序優化方案的實施
上已述及,擺線輪修形方式及修形量的選擇對RV減速器傳動誤差及空程角誤差的影響很大,因此進行優化分析應將傳動誤差及空程角誤差作為目標函數,而將移距修形量△Rz及等距修形量△r作為設計變量,且△Rz與△r的正、負號表明了修形方式,子程序又是建立擺線輪的通用齒廓方程,通過ADAMS對子程序的調用,就可得到最優的修形組合。具體的實現過程如下圖所示:

在子程序編譯中,FORTRAN與VC++是兩種可選的編譯器,考慮到ADAMS是用FORTRAN編制的,對其兼容性較好,因此我選擇了第一種編譯器。根據上面的設想,本人編制了可實現擺線輪修形FORTRAN子程序,通過編譯后按照上一節的鏈接步驟鏈接成了(鏈接過程見圖4-2)。此方法需進一步深入研究,本論文將采用另一種方案,即將UG與ADAMS聯合起來進行修形分析。

4.3UG與ADAMS聯調進行修形研究
前面已經以擺線傳輸線的參數化建模為例,闡述了UG的強大的基于特征的參數化造型功能,既然用子程序的方式實現不了,將UG的該功能加以充分利用,也可以實現優化修形的目的。實現的途徑是在建造擺線輪的表達式中考慮修形量△Rz與△r,這樣就建造了修形后的擺線輪,同時△Rz與△r是隨機可調的變量,可以得到任意組合的修形方式。并且UG的數據存儲具有單一數據庫的特點,零件圖中修改后,裝配圖及工程圖全都自動更新,不用人工去費時修改。然后,再將總裝配模型導入到ADAMS中施加約束。執行仿真。這樣就得到多組修形組合的仿真結果,經過統計分析就可得到最佳的修形組合。具體思路如下圖所示。

4.3.1 ADAMS的命令文件簡介
ADAMS的文件格式有多種,如.bin,.cmd,.adm,.req, .res及一些兒何模型交換格式STEP,Parasolid,IGES等而命令文件格式(.cmd) 為上述一個鏈條的循環過程提供了必要保障。
ADAMS命令文件用來定義模型執行一個或一系列明確的功能函數,它是最快且最容易的反復傳遞同樣命令的方法。一個命令文件以ASCH格式存儲,用戶可以輸入一個命令文件到ADAMS中讓ADAMS執行這些命令,并且可以輸出命令文件為后續創造模型做準備,因此這是在不同的計算機平臺上傳遞數據的方便方法。另外使用命令文件需注意該文件只可包含一個模型的數據且僅包括模型原件與其屬性,不包括分析結果,因而文件較小。
鑒于高效、方便的考慮,本課題中多處用到命令文件的功能,較重要的如下:
1.定義約束中,施加針齒與擺線輪的接觸力時,因針齒較多,故而接觸力個數較多,逐個定義太費事,因此先定義一、兩個接觸力,將模型文件輸出為.cmd文件格式,對該文件稍作編輯即得到定義所有接觸力的.cmd文件,在將此文件輸入到原模型中則定義了所有針齒與擺線輪的接觸力。
2.實現RV減速器的擺線輪優化修形時,.cmd文件更是起到了舉足輕重的作用。因為從UG中改變修形參數后的幾何模型再導入ADAMS后需重新設置環境、定義約束,這是極其繁重的工作,而優化要進行幾十到幾百次的分析,如此費時的工作是不符合要求的。命令文件解決了此問題,只要將一個已經定義的完整模型輸出為.cmd文件,再通過編輯提取必要的信息如環境設置、變量定義、約束定義等即可生成一個通用的文件,簡單起見就將其稱為約束定義文件,以后每一個在UG改變修形參數后導入ADAMS的文件均可直接使用該文件瞬時進行相關設置,極為方便。
4.3.2修形中考慮的約束條件
作為機器人用的RV減速器,最重要的性能指標是必須具有高的運動精度和位置精度,這樣才能使機器人的工作機構精確地達到預定的位置。因此,為保證高運動精度及小空程角誤差,要確定合理的設計變量即移距修形量與等距修形量,而從RV傳動自身的結構特點出發,在進行優化時要考慮兩個約束條件:
1.短幅系數的取值范圍。短幅系數Kl在減速器設計過程中是一個較重要的參數,當O<Kl<1時都能形成短幅外擺線,即從理論上說,Kl可在0到l的范圍內任取之。但實踐與分析表明,K1=0.5~0.75為最佳范圍。修形后Kl=e*zb/(Rz-△Rz),本課題中e=0.9mm,zb=30,故修形時需將Rz-△Rz控制在36~54 mm內。
2.修形所得的擺線輪與針齒盡量為共軛齒廓嚙合。要使瞬時傳動比恒定,運動誤差較小,要實現多齒嚙合,增大承載能力和扭轉剛度,都要求擺線輪與針齒齒形互為共輪子齒形。在優化時只要保證組合修形的齒形工作段與轉角修形的齒形比較吻合,即可滿足共軛齒廓嚙合。下圖是本課題設計的一種優化新齒形:

4.3.3優化實驗方案
通過命令文件對已改變修形參數的模型進行相關定義后,即可進行仿真分析。分析后發現負移距修形與負等距修形組合不能讓擺線輪與針齒間產生嚙合間隙,而對別的修形組合即負移距+正等距組合修形、正移距+負等距組合修形及正移距+正等距組合修形,在考慮約束條件的前提下每種方案各實驗5次。
一、傳動誤差分析
傳動誤差是指空載情況下輸入軸轉動到任意角度時,輸出軸的理論轉角與實際轉角的角度誤差。具體計算公式為

其中,θer——角度運動誤差,θin——任意時刻輸入軸轉角,i——傳動比,θout——輸出軸轉角。由于加工誤差、輪齒修形的原因引起瞬時傳動比的變化,必然出現傳動誤差,產生運動的不平穩性。在RV減速器中,漸開線齒輪嚙合在前級,后級是擺線針輪傳動,由于后級的傳動比一般約是前級的4~30倍,前級的漸開線齒輪的傳動誤差將被縮小同樣的倍數后輸出,所以其傳動誤差關鍵取決于后級的擺線針輪的嚙合誤差,而實際工作中擺線輪的修形方式及修形量的選擇是影響擺線針輪的嚙合誤差很大的因素。因此本課題中僅研究了輪齒修形對傳動誤差的影響,所采用的修形量以及得到的傳動誤差大小如表4-1所示,限于篇幅,對于負移距+正等距、正移距+負等距和正移距+正等距組合修形的傳動誤差仿真結果曲線各只列出一組(圖4-5、4-6、4-7)。
實驗次數 |
移距修形量(mm) |
等距修形量(mm) |
傳動誤差(分) |
空程角誤差(分) |
1 |
-0.360 |
0.450 |
2.856 |
0.619 |
2 |
-.0225 |
0.375 |
4.894 |
0.643 |
3 |
-0.022 |
0.026 |
0.183 |
0.120 |
4 |
-0.250 |
0.260 |
0.196 |
0.576 |
5 |
-0.048 |
0.063 |
0.372 |
0.810 |
6 |
0.360 |
-0.120 |
0.426 |
0.586 |
7 |
0.430 |
-0.220 |
0.168 |
0.558 |
8 |
0.210 |
-0.160 |
0.353 |
0.080 |
9 |
0.008 |
-0.004 |
0.036 |
0.039 |
10 |
0.050 |
-0.035 |
0.039 |
0.062 |
11 |
0.360 |
0.220 |
15.588 |
1.03 |
12 |
0.055 |
0.051 |
1.680 |
0.546 |
13 |
0.180 |
0.170 |
0.436 |
0.756 |
14 |
0.330 |
0.220 |
1.20 |
0.96 |
15 |
0.042 |
0.027 |
0.310 |
0.24 |
表4-1修形結果

將表4-l的15組仿真結果進行統計可得,采用正移距+負等距組合修形得到的整機傳動誤差,比負移距+正等距及正移距+正等距組合修形得到的傳動誤差要小。實際應用中可將此種組合修形方式加以推廣。
為了能了解RV減速器中擺線輪與針輪嚙合實際的傳動狀態,并衡量本文分析的有效性,在此選取大連鐵道學院研制的RV-25OAⅡ減速器和日本王宏酋等人研究的RV樣機的傳動誤差進行對比。大連鐵道學院在考慮優化組合修形及各項制造誤差的前提下獲得樣機的傳動誤差為0.68′,日本王宏酋等人也考慮各項誤差后制造出的試驗樣機的傳動誤差為0.617′。本研究所得到的傳動誤差的仿真結果多數不大,尤其是正移距+負等趾組合修形得到的整機傳動誤差非常小,均小于以上兩個研究機構的結果,原因在于分析過程中為簡化起見未考慮各種制造誤差的影響,但本研究的分析方法是準確有效的,若將所得的結果用于實際生產中,能有效地改進RV減速器的傳動性能,并推動該領域的快速發展。
二、空程角誤差的分析
空程角誤差主要指輸入軸開始轉動時,由于有齒側間隙存在,輸出軸滯后于輸入軸一個微小轉角。它的存在將影響系統的動態品質,空程角誤差的研究對機器人用的高精度RV傳動裝置來說是非常重要的。
RV減速器空程角誤差存在的根本原因是第二級傳動中擺線輪與針輪間的嚙合間隙所致,而為了保證傳動的正常進行,擺線輪與針輪間必須保證有一定的嚙合間隙。也就是說,RV減速器的空程角誤差是不可避免的,最重要的是如何減小它。影響擺線輪與針輪間嚙合間隙的因素,也即影響空程角誤差大小的因素有擺線輪的修形和傳動元件的制造誤差,本課題研究了作為設計參數的等距和移距修形量對空程角誤差的影響。
分析采用修形量及得到的空程角誤差值見表4-1,由表中的結果統計的得出正移距+負等距組合修形的誤差值要小于其它兩種組合修形的值,可以羅好地滿足設計要求。
綜上所述,本論文得出在不考慮各種制造誤差、保證擺線輪與針齒為共扼嚙合的前提下,正移距十負等距組合的修形方式得到的傳動誤差及空程角誤差值都較小。最好的下組修形組合是移距修形量△Rz=0.008,等距修形量△r=-0.004,此組得到的傳動誤差及空程角誤差值均最小。
上一頁
下一頁