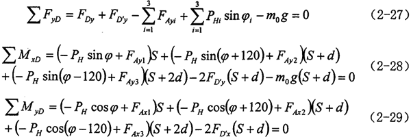
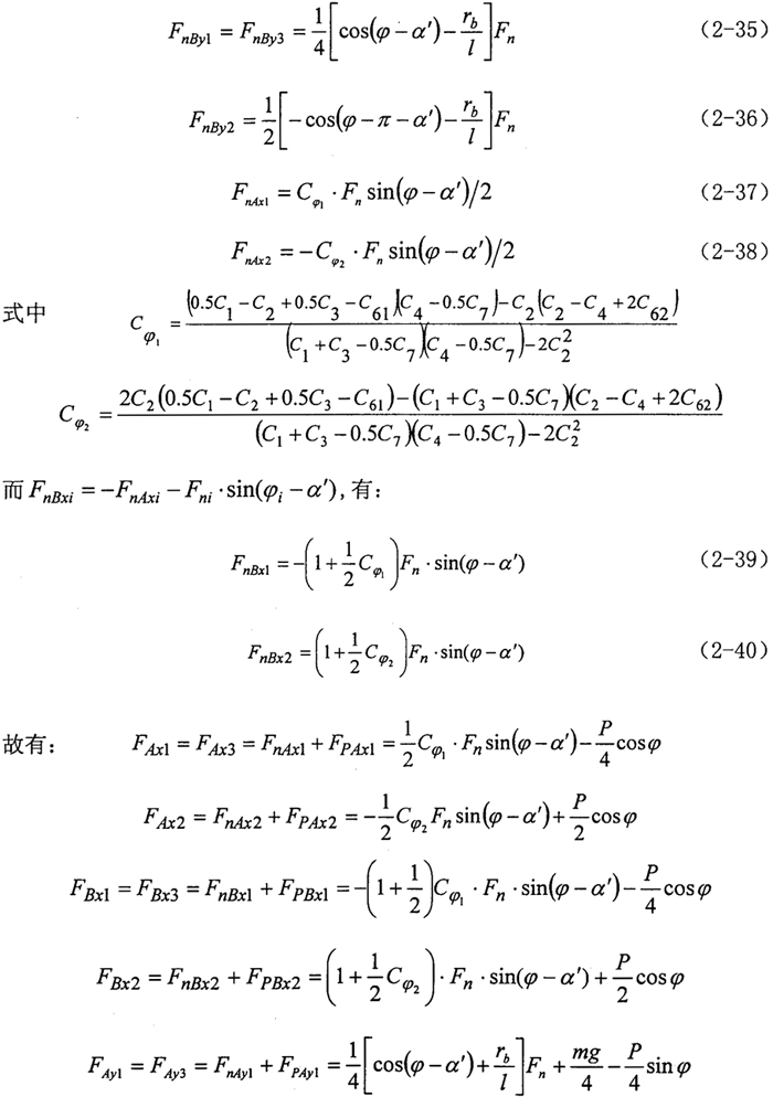
2.曲柄軸支撐軸承的作用力分析 根據力學原理,對于輸入同可得到下列方程式:


解方程,有:

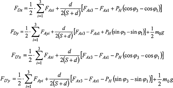
將上述方程中的A和D′換成B和G′,以及rb/l換成-rb/l便得到了支承軸的支撐力。
同理,列出輸出軸的力和力矩方程,并求解有如下結果:

由方程的解可看出,不論是曲柄軸還是輸出軸,其支撐軸承既受到慣性力(力矩)的作用,還受到嚙合力(力矩)的作用。由公式可看出,該三環減速器環板的布置型式,即使各環板的嚙合力相等,嚙合力作用在各軸的兩側支撐軸承處的作用力也是不等的。由于各環板的嚙合力是不相等的,且各嚙合力是與轉角和環板結構尺寸等參數有關的的復雜函數,所以各軸的兩側支撐軸承受到較大的由嚙合力(力矩)和慣性力(力矩)引起的周期激進力的作用,這是三環減速器振動大的原因。對于支承軸來說,各環板在其上作用的轉矩和為零,但每相雙曲柄機構在其上的作用轉矩是不斷變化的,在一個周期中,既受到正轉矩的作用,也受到反方向轉矩的作用,這種轉矩的波動將通過曲柄軸作用到安裝在箱體上的支撐軸承上,引起減速器的振動。
2.3 設計的理論依據及設計參數的確定
2.3.1 慣性力和慣性力矩的計算
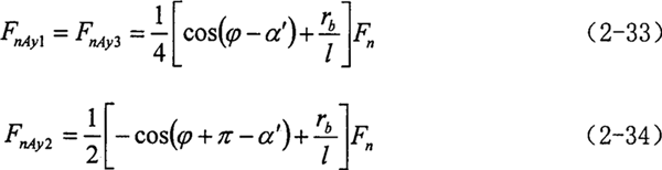
1.慣性力的作用由上節轉臂軸承的受力分析知,環板慣性力作用在兩曲柄軸每一環板上的轉臂軸承的慣性力各為環板慣性力的l/2。
每一曲柄和環板的慣性力作用在曲柄轉動中心的慣性力為:(PBi/2)+PHi
由于在基本型三環減速器曲柄軸上作用的三個慣性力大小相等,方向成120°,構成了一個封閉的力三角形。故,曲柄軸上的慣性力之和為零。
所以,作用在偏心軸上的慣性力的矢量和為零:

上式表明,該基本型三環減速器傳動機構是靜平衡的。
2.慣性力矩的作用 以中間環板在曲柄軸的作用點為坐標原點,以曲柄軸方向為動軸x′方向(與x′方向相垂直方向為y′)進行分析,由于中間環板的慣性力通過坐標原點,不產生慣性力矩。由于兩側環板相對于中間環板對稱布置,兩環板在x′方向的慣性力分力所產生的慣性力矩之和(對y′軸取矩)為零,而兩側環板在方向慣性力分力大小相等方向相反,其產生的相對于x′軸的慣性力矩為:
Mx′=2·[(Pi/2)+PHi]sin(π/3)·d
則相對于x和y軸的慣性力偶矩分別為

這表明:對稱型三環減速器的慣性力是平衡的,但慣性力矩則是不平衡的。
2.3.2 設計的理論依據及設計參數的確定
三環傳動的內齒環板作曲線平動,每片內齒環板都相當于一個平行雙曲柄機構的連桿,環板上的任意點的軌跡均為以偏心軸的偏心距為半徑的圓。為此,要求環板除軸向厚度外的其它各結構尺寸均相同。
對于對稱型三環減速器,設環板及與其對應的曲柄的質量為mB, mHi(包含轉臂軸承的質量),相應的板厚為bi,每相雙曲柄機構的質心在環板的中心,并記單位厚度環板的質量為mb。(綜合考慮了環板和曲柄的質量)。靠近輸入側的環板編號為1,其曲柄轉角為φ;中間環板為2,其對應的曲柄轉角為φ+θ01;另一塊為3,其對應的曲柄轉角為φ+θ02。根據平面連桿機構的慣性力和慣性力矩的完全平衡理論,有下列關系式:

展開有:
mbb1ωH2e0cosφ+mbb2ωH2e0cos(φ+θ01)+mbb3ωH2e0cos(φ+θ02)=0
mbb1ωH2e0sinφ+mbb2ωH2e0sin(φ+θ01)+mbb3ωH2e0sin(φ+θ02)=0
mbb1ωH2e0Ssinφ+mbb2ωH2e0(S+d)sin(φ+θ01)+mbb3ωH2e0(S+2d)sin(φ+θ02)=0
mbb1ωH2e0Scosφ+mbb2ωH2e0(S+d)cos(φ+θ01)+mbb3ωH2e0(S+2d)cos(φ+θ02)=0
化簡上式,有:
b1cosφ+b2cos(φ+θ01)+b3cos(φ+θ02)=0
b1sinφ+b2sin(φ+θ01)+b3sin(φ+θ02)=0
b2sin(φ+θ01)+2b3sin(φ+θ02)=0
b2cos(φ+θ01)+2b3cos(φ+θ02)=0
進一步化簡,有:
b1sinφ-b3sin(φ+θ02)=0
b1cosφ-b3cos(φ+θ02)=0
求解上式,有sinθ02=0,即:θ02=0或π,代入方程檢驗知,只有θ02=0是方程的解。
將θ02=0回代。可方便得到:b1=b3;θ01=π和b2=2b3。
結果θ02=0,θ01=π, b1=b3和b2=2b3表明:慣性力和慣性力矩的完全平衡的三環減速器的兩則環板完全相同,且偏心相位差為零;中間環板的厚度為側面環板厚度的兩部,且與側面環板成偏心相位差為180°的布置。
該結果是我們提出的完全平衡三環減速器結構的理論基礎。
2.4 完全平衡雙軸輸入三環減速器的彎曲振動分析
2.4.1 結構及工作原理
完全平衡雙軸輸入式三環式減速器如圖2-7所示。其工作原理為:三環式減速器的曲柄軸在動力的驅動下同步旋轉,傳動環板上的內齒圈與輸出軸上的外齒輪相互嚙合,形成了大傳動比,從而實現了減速及動力傳遞。雙軸同步輸入可以克服傳動機構的死點問題。

2.4.2 新型三環減速器的受力分析
1.轉臂軸承上的作用力 由于雙軸輸入式完全平衡三環減速器的環板結構與對稱型三環減速器是一樣的,僅由原來的單軸輸入改為雙軸同步輸入,原來環板之間120°相位差布置改為現在的兩側環板同相位,與中間環板成180°相位差布置,因而其受力分析過程和第i塊傳動環板的力(力矩)平衡方程和變形協調方程也與對稱型三環減速器一樣。只是雙軸輸入式完全平衡三環減速器的嚙合力由原理對稱型三環減速器復雜的函數關系變成了常數。其值為:
Fn=T0/(2rb)
對形成的慣性力方程和變形協調條件方程聯合進行求解,可方便的得出:

由于嚙合點位置變化,下面求任意時刻嚙合力作用在轉臂軸承上的力。
將雙軸輸入的嚙合力代入嚙合力作用時的平衡方程和變形協調條件方程,并考慮環板1和環板3同相位,即:C61=C63,求解有:



由此根據雙軸輸入工況時的力(力矩)平衡方程和變形協調方程便求得了第i塊傳動環板轉臂軸承A及B處的所有反力。
輸入軸轉臂軸的受力圖2-8和2-9所示。

由環板軸承的受力曲線可看出,兩輸入軸環板軸承受力是不同的,其最大值也略有差別。
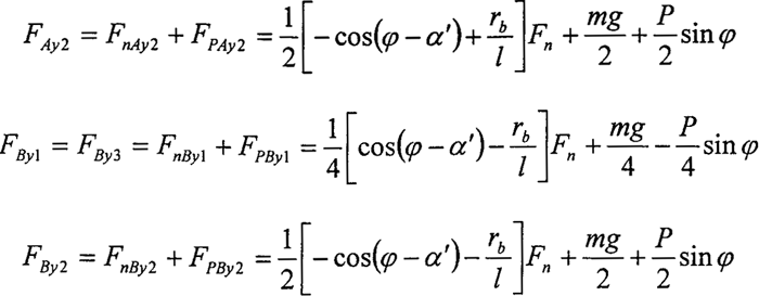
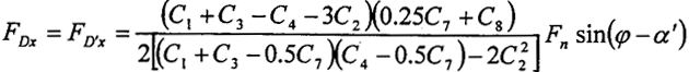
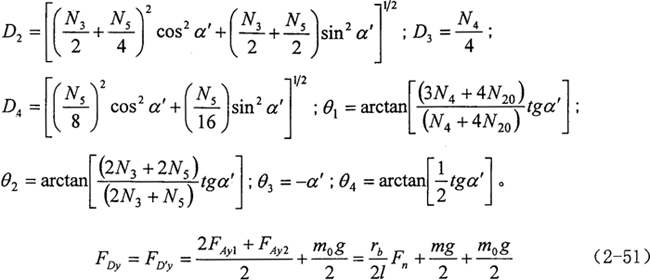
2.支撐軸承的作用力 根據力學原理,對于曲柄軸DD′列出力和力矩方程并求解有(忽略帶輪上所受的力):

由于三環減速器的中間環板與兩側環板成180°布置,若令:
由:C61=0.5C7-C8;C62=0.5C7+C8,代入式(2-48),并整理有:

寫成:
FDx=FD′x=N0sin(φ-α′)+N1C8sin(φ-α′) (2-49)
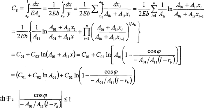
由于嚙合點在不斷的變化,也就是說C8關于轉角的函數。

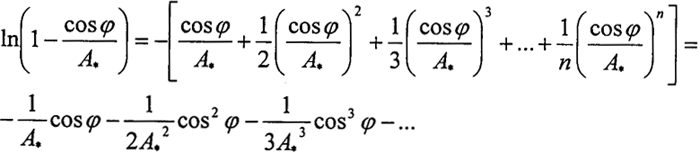
按冪級數展開有:

這里:A*=-A01/A11(l-rb)
取前三項足可以保證精度。將上式代入(2-49),并整理有:

式中


兩輸入軸的支撐軸承D和G的受力情況如圖2-10和2-11所示。

將上述方程中的A和D′換成B和G′,便得到了另一根曲柄軸的力和力矩方程。進而得到另一曲柄軸的支撐軸承的受力。
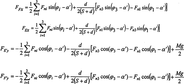
同理,列出并求解輸出軸的力和力矩方程有如下結果:
FEy=FE′y=G/2
FEx=FE′x=0
式中 G——輸出軸的重力。
此式表明,完全平衡雙軸輸入式三環減速器嚙合力對輸出軸是完全平衡。
24.3 三環減速器的振動分析
實際上,在工作過程中,慣性力和嚙合力在軸的的作用點的變形量是不等的,即使是在慣性力平衡,各環板單位寬度上的嚙合力相等的條件下,力作用在曲柄軸處的撓度也是不同的。如:輸入軸的中間環板處x方向受力2,兩側各環板x方向受力各為-P,由力學原理,兩側環板處在曲柄軸x方向的撓度為:xz=0.6671
,而中間環板在曲柄軸x方向的撓度為: xz=1.1603
,約為側面撓度的1.74 倍。若考慮其影響,整機的的慣性力和費性力矩也是不平衡的。由于各環板的載荷分布不均,嚙合力的影響則更大。
以曲柄軸DD′的D點為例研究其曲柄軸支撐軸承的受力后的振動。以x方向為例。
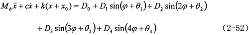
根據振動理論,可得到系統的運動方程為:

式中 Mb——曲柄軸質量的一半;C——軸承阻尼系數;k——軸承剛度。
式中的常數項,只對系統的靜變形的位置有影響,而不會對系統在靜平衡位置近旁振動的規律產生影響。因此,D0產生的自由衰減運動漸漸消失。
這是周期性激勵引起的受迫振動方程。在激振動力作用下的位移響應,即:方程的穩態解(以固頻率為頻率的振動經過一段時間后將消失,不考慮)為:

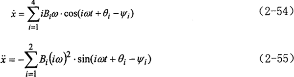
將有關參數代入上式便可獲得系統的位移響應曲線。
對公式(2-53)求一階導數和二階導數,可得速度和加速度響應。

式中


在y方向,由于受到一個方向和大小恒定的力作用,該力只對系統的靜變形的位置有影響,而不會對系統在靜平衡位置近旁振動的規律產生影響。同理,也可求的另一曲柄軸支點處的動態響應。
由于輸出軸支點處不受激進力的作用,從理論上將該處無振動,實際上,由于各環板單位寬度上承受的載荷是不同的,且由于嚙合處的嚙合間隙和嚙合剛度的變化,致使沖擊不可避免。這也是試驗中在輸出軸承支撐處存在振動的原因。
2.5兩種三環減速器的振動性能的對比
2.5.1 慣性力和慣性力矩對兩種減速器振動性能的影響
完全平衡三環減速器傳動機構滿足了平面機構動平衡條件,其慣性力和慣性力矩均為零,這不同于基本型三環減速器的慣性力為零,而慣性力矩不為零。圖2-12 所示為輸入轉速為1440r/min時基本型三環減速器支撐軸兩端支撐軸承A和A′處的x和y方向單位寬度(cm)受力圖。

由于雙軸輸入完全平衡三環減速器的慣性力完全平衡,因而,各曲柄軸支撐軸承上作用的慣性力為零。基本型三環減速器的慣性力平衡,但慣性力矩不為零。
由本章第二節曲柄軸和輸出軸的支撐軸承的受力分析和圖2-12知,慣性力對完全平衡型的曲柄支撐軸承和兩種三環減速器輸出軸的支撐軸承無影響;而對于基本型三環減速器,慣性力在曲柄軸的支撐軸承處的x和y方向受到慣性力產生的激進頻率為必沖擊力的影響,由慣性力產生的曲柄軸兩支撐處的動反力大小相等,方向相反。這說明,環板和偏心曲柄的慣性力(矩)的大小不影響曲柄軸和輸出軸的支撐軸承,但影響曲柄軸的支撐軸承。
從理論上講,慣性力和慣性力矩不引起完全平衡型三環減速器曲柄軸和輸出軸支撐處的振動。
總的來說,基本型三環減速器的慣性力在曲柄軸兩支撐處x和y方向均產生激進頻率為ω的動反力,且兩支撐處動反力的大小相等方向相反。這些動反力通過軸承作用在箱體上,是減速器產生振動的一個重要原因。完全平衡雙軸輸入式三環減速器的慣性力在曲柄軸和輸出軸的支撐處均無動反力,從理論上講,慣性力對箱體的振動無影響。但從減速器的受力分析知,曲柄軸各偏心曲柄處軸有不等的彈性變形,該變形使得曲柄和環板的慣性力不相等,對箱體產生沖擊力,但這比對基本型三環減速器的影響小的多。
從慣性力的影響看,完全平衡雙軸輸入式三環減速器的性能較佳。
2.5.2 嚙合力對兩種三環減速器的影響
1.對基本型三環減速器振動性能影響 從支撐軸承的受力分析知,由于變嚙合力的作用,輸出軸兩支撐處分別受到不等的周期性沖擊力作用,即使雙軸輸入時,周期性的沖擊力也存在,只是兩側的沖擊力大小相等方向相反。曲柄軸也同樣受到不等的周期性沖擊力作目。這說明,嚙合力對基本型三環減速器振動性能的影響較大。
2.對完全平衡雙軸輸入式三環減速器振動性能影響 從支撐軸承的受力分析知,在嚙合力的作用下,輸出軸各支撐處受力為零,即輸出軸支撐不受嚙合力的影響。而曲柄軸的y方向,嚙合力的作用使軸兩端支撐處產生相等的反作用力,由振動理論知,這個力只影響其靜變形量;在曲柄軸的x方向,軸的兩端支撐處受力相同,是一個周期性激進力。這說明,嚙合力只對完全平衡雙軸輸入式三環減速器曲柄軸的x方向的振動有影響。
3.討論 嚙合力影響基本型三環減速器的曲柄軸和輸出軸支撐處的振動只影響完全平衡雙軸輸入式三環減速器曲柄軸的x方向的振動,且影響較小。
從嚙合力的影響看,完全平衡雙軸輸入式三環減速器的性能較為理想。
2.6 本章小結
本章在對基本型三環減速器進行分析的基礎上,提出了環板拉壓變形的積分求解公式,改進了三環減速器的變形協調條件,并給出了考慮慣性力和嚙合力分別作用的變形協調方程;建立了考慮環板和轉臂偏心軸(軸承)慣性力和重力的三環減速器的受力分析模型,并推導出了各環板所受的嚙合力、環板轉臂偏心軸承以及偏心軸和輸出軸支撐軸承的受力表達式。對完全平衡雙軸輸入式三環減速器進行了受力分析和計算,計算結果表明:完全平衡雙軸輸入式三環減速器的力學性能良好。
依據連桿機構平衡理論,提出了完全平衡雙軸輸入式三環減速器的結構方案,建立了完全平衡雙軸輸入式三環減速器的理論基礎。
依據振動理論,對完全平衡雙軸輸入式三環減速器進行了振動分析,建立了減速器的振動方程,得出了該減速器的輸出軸和曲柄軸支撐的y方向不受激進力的作用,僅在x方向受到由嚙合力引起的周期性的沖擊力作用。求出了x方向振動的位移、速度和加速度響應。
研究了慣性力和嚙合力對基本型三環減速器和完全平衡雙軸輸入式三環減速器振動性能的影響。得出了慣性力和嚙合力對基本型三環減速器的曲柄軸支撐有沖擊,嚙合力對輸出軸支撐有影響;慣性力對完全平衡雙軸輸入式三環減速器振動性能無影響,嚙合力僅對完全平衡雙軸輸入式三環減速器的x方向振動性能有影響,且影響較基本型要小。
綜上所述,完全平衡雙軸輸入式三環減速器有著較好的力學性能。
上一頁
下一頁