第3 章 偏心轉動及動載荷工況三環減速器油膜浮動均載的研究
3.1 引言
由于三環減速器充分地利用了功率分流和內嚙合多齒接觸的原理,因此,三環減速器的承載能力較大。上一章的受力分析和振動分析表明:采用三片內齒環板偏心之間呈180°相位角的布置形式,能夠實現慣性力和慣性力矩的完全平衡,又使得嚙合力對振動的影響減小,采用雙軸輸入又可使三環減速器各環板所受的嚙合力相等,避免機構的過死點的沖擊,改善高速軸的受力情況,提高傳動系統的效率。在雙軸輸入和完全平衡狀態下,嚙合力對輸出軸支撐軸承的作用力和作用力矩也完全平衡。由于不可避免的制造和安裝誤差及動力傳遞過程中出現的零部件變形,使得三片內齒環板之間的作用載荷分配不均勻,引起動載荷增加,導致振動加劇,造成齒面點蝕、軸承損壞、齒輪箱發熱,甚至發生事故。本文提出的同步帶傳動作為一級傳動的完全平衡均載減振的三環減速器,可實現減速器齒輪傳動部分的慣性力和慣性力矩完全平衡和三環傳動的雙軸輸入,克服了死點位置沖擊和振動較大的問題。該減速器的油膜浮動實現了三蘇減速器均載和減振。由于本文提出的油膜浮動方案是在旋轉的偏心軸表面與轉臂軸承之間插入一個圓柱套筒形成的,并受到一個動載荷的作用,其動力學研究尚未見到相關的報道,本章對油膜浮動動力學的有關問題進行研究。
3.2 兩級三環減速器的誤差分析
由于不可避免的制造和安裝誤差的影響,三片傳動環板所承擔的載荷并不相同,這種現象嚴重影響著三環傳動優越性的發揮,使得輪齒在嚙合時產生振動,發出噪音,嚴重時會導致異常工作情況甚至出現事故。減少或消除制造和安裝晨差引起的各行星輪載荷分配不均的問題影響的有效方法是在結構設計中采用均載機構,通過均載機構的彈性變形使得三環傳動過程中的各構件之間能夠自動補償誤差,從而達到各傳動環板受載均勻的目的。
三環減速器制造安裝誤差中影響載荷分配的主要因素是:偏心套偏心誤差Em、環板內齒輪偏心誤差Er及輸出外齒輪偏心誤差EW,由于軸承、傳動軸以及齒輪的齒形、基節等的制造誤差相對于前面的幾項偏心誤差很小,故可忽略不計。
選擇不同的均載構件,其等效中心誤差是不同的,本章選擇如圖3-1所示的在三環減速機的轉臂偏心軸套與轉臂軸承之間插入一轉動套筒,在偏心軸和套筒之間以及套筒與軸承內表面之間形成動壓油膜的油膜浮動均載方案。

為此應將三環減速機的單個構件的誤差即:偏心套偏心誤差Em、環板內齒輪偏心誤差Er及輸出外齒輪偏心誤差Ew等效換算到均載構件偏心軸上以得到等效中心誤差。下面簡要分析各種制造安裝誤差的影響:
構件誤差使環板轉臂軸承的中心相對其理論位置產生的位移可分解為環板內齒輪的嚙合力反力方向位移和嚙合力反力垂直方向位移,前者需要均載機構來補償,后者僅相當于使內齒輪繞其瞬心做了一個微小轉動,只會導致嚙合輪齒間的齒面滑動,不會改變內齒環板的受力,因此,轉臂偏心軸的浮動量為構件誤差所要求的轉臂軸承中心位移在嚙合力反力方向上的分量(有效位移)。由文獻的誤差分析知:
偏心套偏心誤差與等效中心誤差的關系:Em′=Em
環板內齒輪偏心誤差與等效中心誤差的關系:Er′=Er
外齒輪與等效中心誤差的關系:
式中α′——嚙合角。
為此,以偏心軸為均載構件,在最不利情況下均載構件的最大位移量為各等效中心誤差的累計值:

實際上,影響總等效中心誤差的因素很多,例如構件溫度變形、彈性變形和軸承間隙等等。各等效中心誤差都為時間的周期函數,且其相位為等概率密度。故在任一時刻,它們不可能是同向的。因此,按平方和的方法計算均載構件的位移量更為合適,即:

根據實驗樣機DQSH145的參數及誤差分析得:
偏心套偏心誤差為Em=0.030mm;
內齒輪偏心誤差為Er=0.060mm;
外齒輪偏心誤差為Ew=0.060mm;
這里:內齒輪和外齒輪的偏心誤差近似取其相應徑向跳動公差的一半。
所以,制造安裝誤差等效到偏心軸的徑向位移的最大值Emax=0.092mm;也就是說,所有零件在載荷作用下產生的變形與偏心軸上的油膜浮動的受力變形之和,應該能使偏心軸中心產生0.O92mm的徑向位移量。
3.3 動力潤滑的基本方程-Reynolds方程
Reynolds方程是流體潤滑理論最基本的方程,它是根據流體力學的連續方程和運動方程推導的。
連續方程


式中u,v,w——分別為沿坐標x, y,z方向的流速;X,Y,Z——體積力分量;p——密度;η——粘度;t——時間。
幾點假設
(1)忽略體積力的作用,如重力或磁力等。除磁流體潤滑( Magnetohydrodynamic Lubrication,MHD)外,這一假設通常是正確的。即:X=Y=Z=0
(2)流體在界面上無滑動,即貼于界面的油層速度與界面速度相同。這已被實驗證實。
(3)在沿潤滑膜厚度方向上,不計壓力的變化。由于膜厚僅百分之幾毫米,事實上壓力不可能發生明顯的變化。
(4)與油膜厚度相比較,軸承表面的曲率半徑很大,因而忽略油膜曲率的影響,并用平移速度代替轉動速度。
(5)潤滑劑是牛頓流體,這對于一般工況條件下使用的礦物油而言是合理的。
(6)流動為層流,油膜中不存在渦流和湍流。對于高速大型軸承,可能處于湍流潤滑。
(7)與粘性力比較,可忽略慣性力的影響,包括流體加速的力和油膜彎曲的離心力。然而,對于高速大型軸承需考慮慣性力的影響。即:
du/dt=dv/dt=dw/dt=0
(8)沿潤滑油膜厚度方向粘度數值不變。這個假設沒有實際根據,只是為了數學運算方便所作的簡化。
(9)速度梯度中,
比較大,其他速度梯度都很小,只保留
,其它刪除。
在以上假設的基礎上,Navier-Stokes方程可簡化成:


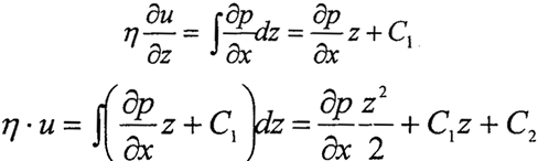
將式(3-4)對z積分兩次,于是

用邊界條件確定C1和C2。由于界面上流體速度等于界面速度,如果兩固體表面的速度為U0和Uh,即當z=0時,u=U0;當z=h,u=Uh。求得

因此,潤滑膜中任意點沿X方向的流速為

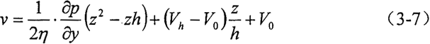
同理對式(3-5)積分求解可得:

潤滑油膜是在不破裂的情況下工作的,所以必須滿足連續方程(3-3)。
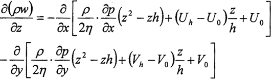
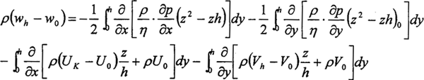
將(3-6)和(3-7)式代入(3-3)式得:

由0到h對y求積分得

利用含參變量的定積分公式積分等式右邊,并令U=U0+Uh,V=V0+Vh,則得

此式就是普遍形式的Reynolds方程。
必須強調指出:上式的Reynolds方程是根據一系列假設推導出來的,適用于一般工況條件的潤滑計算。在特殊的工況條件下,當某些假設不能成立時,必須針對具體情況推導相應的Reynolds方程形式。
3.4 油膜浮動均載機理及用于三環減速器的研究
日本高橋崇發明的在行星輪中間放置浮動中間輪的油膜浮動裝置獨具匠心,它以結構簡單、均載效果好而著稱于世。該均載方式是基于滑動軸承理論,在行星輪與行星輪軸承之間裝設一中間環,該環與行星輪孔之間留有徑向間隙并儲有潤滑油,運轉時,形成動壓油膜。當行星輪間載荷分配不均勻時,徑向力變化將引起油膜厚度變化,進而引起偏位角改變,即各行星輪對行星輪軸承產生不等量的位移,從而實現均載。理論分析和應用實踐證明:油膜浮動均載效果好、結構簡單、軸向尺寸小、造價低、減振性能好。三環減速器的優越性也完全依賴于“功率分流”,各環板之間實現載荷均衡就成為一個十分重要的問題。
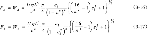
完全平衡均載的兩級三環減速器的油膜浮動裝置就是一個滑動軸承。就是在三環減速器輸入軸偏心套與環板轉臂軸承內圈之間插入一個能夠自由運動的浮動套筒(浮環),偏心軸旋轉時,在油膜力的作用下浮環隨之旋轉,轉臂軸承內圈又隨浮環旋轉。這種結構減小了偏心套與軸承內圈、偏心套與輸入軸的剛性接觸,提高了偏心套及環板軸承的壽命。上一章已對雙驅動工況(由同步帶實現)傳動環板轉臂軸承A及B處的反力進行了研究,并給出了計算公式。由環板轉臂軸承處的反力分力公式知,輪齒在嚙合過程中,嚙合力增大時,環板轉臂軸承處的反力的各分力也增大,A、B點合力也增加。
先按普通滑動軸承的情況進行分析。由于環板轉臂軸承屬徑向短圓柱滾子軸承,根據半Aommerfeld條件,沿連心線方向和沿連心線垂直方向的總分力分別為:

式中 W——總載荷;c——半徑間隙;U——軸表面圓周速度;ε——偏心率;η——粘度;L——軸承的總軸向長度。
由(3-14)式知,外載荷W增加,則偏心率ε也相應增大。
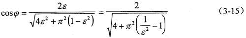
下面是偏位角公式:

由上式知:當ε增大時,偏位角的余弦增加,偏位角φ減少,偏位角φ的減少降低了接觸面的溫升,更重要的是浮環內表面與偏心套外表面、浮環外表面與浮環軸承內表面均形在了油膜,這對三環減速器有良好的均載效果。
當某一環板上的嚙合力Fn增加時,環板轉臂軸承所受的合力:
隨之增加,該力需與環板上兩油膜力對應相等。

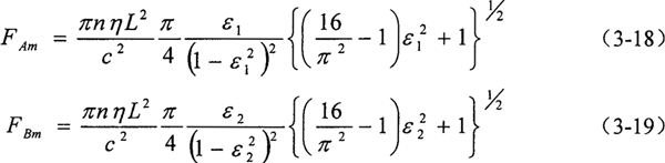
相應軸承單位面積載荷為:

式中n——軸的轉速。
軸承單位面積載荷也隨之增加,ε也增大,偏位角φ變小,最小油膜位置點將沿著近似以c為直徑的半圓周軌跡由Q′移到Q″點。也就是環板轉臂軸承中心的位置將同時移動,由于移動的大小和方向不完全相同,則環板相對于水平線有微小轉動,平動和轉動的結果使環板中心的位置將沿輪齒嚙合方向移動P′P″,即嚙合處得到放松P′P″,該環板輪齒上的載荷自然會減少,按同樣分析方法,同時嚙合的另一環板,使內嚙合變緊,嚙合力增加,從而達到各環板載荷均衡的目的。
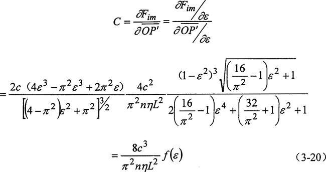
據滑動軸承理論,油膜剛度系數C為:

由于OP′和FAm、FBm均是ε的函數,(FAm、FBm取之一,以Fim表示,ε角標暫不考慮)

上式是按滑動軸承理論進行的,與我們設計的油膜浮動裝置有重要區別。我們設計的油膜浮動均載方案,共有兩層油膜,即:偏心套與浮環、浮環與滾動軸承之間各形成一層共轉滑動軸承油膜,設浮環內外半徑為r、r′,c、c′為浮環的內外半徑間隙,C1為環板的浮動量,由摩擦學理論可導出共轉軸承的浮動量C′和半徑間隙c′與普通滑動軸承的浮動量C和半徑間隙c之間的關系下:

也就是說,當環板各軸承所受的載荷變化時,將時環板軸承孔中心產生較大的位移,使環板內齒輪與輸出軸上外齒輪嚙合處產生一定的位移的松脫或巾緊,以達到各環板均載的目的。剛度越小,說明浮動裝置對載荷變化的敏感程度高。
而載荷分配不均勻系數與傳動系統的剛度成正比關系,對于新型三環減速器的高速軸支撐,其剛度為:
,而動力傳動對軸和軸承的剛度和強度有較高的要求,因而,只能降低油膜的剛度。采用上述環板結構,相當于兩彈簧串聯,其剛度降氏,使各環板承受的載荷大小趨于均勻。
3.5 偏心轉動及動載荷工況三環減速器油膜浮動的數學模型
以普通形式的Reynolds方程為基礎,下面建立偏心轉動工況下三環減速器油膜浮動時的動和方程的具體表達式。
實際上,實用的機器難以想象在某種運動系統中兩個相互垂直方向上都有油楔和速度。因而,通常可把軸線安排成使:
這時,Reynolds方程可寫成:

上一頁
下一頁