第5章 油膜浮動兩級三環減速器的振動分析
5.1引言
三環減速器在工作過程中存在較嚴重的振動,振動的危害很大,影響了這一新型減速裝置的推廣使用。對三環減速器來說,振動主要是由于環板機構過死點位置時高速軸受到水平方向的雙向沖擊及垂直向沖擊力作用、不平衡慣性力及嚙合剛度波動或嚙合沖擊的的影響。傳遞功率越大,嚙合力也越大,沖擊峰越高;轉速越高沖擊脈寬越小,激振力帶寬越寬,這時更容易激發減速器及其附聯結構的廣泛共振,從而發生強烈振動。文獻采用紅外熱成像技術對三環減速器溫升問題進行了測試和分析也證明軸承是主要的發熱源,三環減速器的振動和溫升均源于輸入軸的惡劣承載工況,特別是過大的死點沖擊。
筆者設計的新型三環減速器的均載裝置就是利用了滑動軸承的動壓原理,在三環減速器輸入軸偏心套與環板軸承內圈之間插入一個能夠自由轉動的浮動套筒(浮環),在偏心軸旋轉時,在偏心套與浮環之間、浮環與軸承內圈均形成動壓油膜,這種結構減小了偏心套與軸承內圈、偏心套與輸入軸的剛性接觸,提高了偏心套、環板軸承的壽命。當一塊環板的轉臂軸承所受的載荷增加時,相應的偏位角隨之減少,這降低了接觸面的溫升,更重要的是浮環內、外所形成的油膜的最小油膜位置的點將產生移動,使內嚙合放松,嚙合力減小,則該環板上的載荷自然就會減少,同時,另外一環板,則使內嚙合變緊,嚙合力增大,環板上的載荷自然就會增大,從而達到各環板載荷均衡的目的。
本文提出的新型三環減速器以同步帶傳動作為一級傳動實現高速軸的同步輸入,克服了高速軸受到水平方向的雙向沖擊力作用,對整機來說其不平衡慣性力(力矩)為零,同時,均載后各環板單位寬度的嚙合力基本相等,使得嚙合力峰值下降。同時,兩級三環減速器減振的原因還有:
1.采用油膜浮動后,兩側環板理論上同步,理論和實驗也證明,新型三環減速器的載荷不均勻系數較現有的環板偏心相位差為120°的減速器的小,因而,降低了沖擊力的幅值,使振動減弱。
2.偏心相位差為180°的新型三環減速器增加了一級同步帶傳動,帶的彈性及雙軸同步輸入使得減速器受力合理,產生的沖擊變小,振動減小。
3.采用一級傳動后,作為二級傳動三環傳動的輸入轉速減小,二級傳動中單片環板所產生的慣性力和慣性力矩較原三環減速器的要小的多,環板作用在高速軸上的慣性力自然下降,同時,新型減速器整機的慣性力和慣性力矩為零,使得慣性力(力矩)引起的振動減弱。
本章將對油膜浮動新型兩級三環減速器的減振機理和振動問題進行研究。
5.2 油膜浮動兩級三環減速器的減振機理
振動將降低三環減速器的承載能力和壽命,同時,還產生噪聲,惡化環境,三環減速器的環板機構在過死點時將受到較大的死點沖擊,這是三環減速器振動較大的主要原因,各環板的載荷分配不均又加劇了振動。三環減速器有兩高速偏心軸和通過轉臂軸承安裝在高速軸上的三片內齒環板,工作時產生的慣性力和慣性力矩也是引起振動的一個重要因素。振動和發熱問題都與嚙合力的大小成正比,本文提出的新型油膜浮動均載完全平衡兩級三環減速器,其同步帶傳動能夠克服高速軸受到的水平方向的雙向沖擊力作用,并使得原減速器上作用的周期性的嚙合力轉變為新型減速器的恒定嚙合力,同時,三環傳動的轉速降低,使得作用在偏心轉臂軸承處的慣性力降低,也使得沖擊脈寬越大,激振力帶寬變窄,這時不容易激發減速器及其附聯結構的廣泛共振;完全平衡的環板布置方案能夠使慣性力(力矩)完全平衡,更重要的是使得嚙合力產生的作用到偏心軸支撐軸承的作用力變小;而在偏心軸和轉臂軸承之間加裝油膜浮動裝置,這相當于環板和偏心軸之間采用了彈性連接,既可有效的實現三環減速器的均載,又可減輕三環傳動的振動。下面予以討論。
下面以一塊環板為例分析油膜浮動的減振原理。
對于原三環減速器,環板相當于支撐在剛度為K的偏心套上,如圖5-1所示,輸入端結構如圖5-2所示。

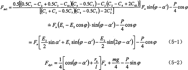
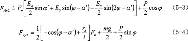
由第二章的內齒環板受力知,作用在轉臂軸承處的作用力(以A1點為例,且將環環示為等效的等截面桿)可表示為:

同理,可得到A2的受力方程,A3的受力方程與A1的相同。

式中的E1、E2、E3和E4均為與結構有關的常系數。
由上面受力表達式可看出,雙軸輸入式三環減速器轉壁軸承處的水平方向的激振力較垂直方向的激振力要復雜的多,但均為簡諧激勵函數的和。而對于一般三環減速器,由于嚙合力也為復雜的函數,且峰值嚙合力為雙軸輸入時嚙合力的兩部,同時,由于輸入轉速度,其慣性力的幅值也較雙軸輸入式三環減速器大的多。
對于新型三環減速器,分別c和y坐標方向來研究(以A1點為例),由牛頓定律可列出轉臂軸承的運動微分方程。

式中 m——轉臂軸承質量;c1——油膜阻尼系數;k1——油膜剛度。
是常數項,只對系統地靜變形的位置有影響,而不會對系統在靜平衡位置近旁振動的規律產生影響,因此,該項產生的自由衰減運動漸漸消失。
=k1x0
所以,式(5-5)可用下式表示:

這是復雜周期性激勵引起的受迫振動方程。根據疊加原理,線性系統在激振力F(x)作用下的響應,等于其各次諧波單獨作用響應的總和。
由振動理論知,單自由度系統在簡諧激振力作用下的強迫振動的解由以固有頻率ωn為頻率的通解和以ω為頻率的特解組成,由于阻尼的存在,以固有頻率ωn為頻率的運動將趨于消失,這里只考慮其特解。

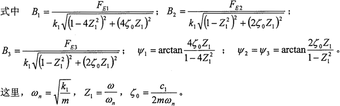
對式(5-6)求解,得系統的位移響應:
x=B1·sin(2ωt-α′+ψ1)+B2·sin(ωt-α′+ψ2)+B3·sin(ωt-π/2+ψ3) (5-7)

將有關參數代入上式便可獲得系統的位移響應曲線。
對系統的位移響應(5-7)式求導,有:

對系統的速度響應(5-8)式求導,有:

對于與x坐標軸方向相垂直的y方向,也可仿上面過程進行推導,但由于其激振力不含2φ項其結果比x坐標軸方向要簡單一些。
實際上,減速器的振動主要表現為偏心軸支撐軸承的振動,其振動的主要激振力便是轉臂軸承處的油膜作用力和偏心軸的慣性力和慣性力,偏心軸的慣性力和慣性力矩對支撐的作用力為零,由第二章受力分析知,雙軸輸入式三環減速器支撐軸承所受的x方向激振力為:
對比(5-1)和(5-3)式可看出,慣性力項抵消,而且FAx1、FAx3與FAx2的作用力方向相反,因而,筆者設計的油膜浮動兩級三環減速器較一般的三環減速器在支撐軸承處的振動要小的多。
綜上,油膜浮動兩級三環減速器的減振機理:
1.完全平衡使得環板和偏心軸的慣性力及慣性力矩對偏心軸和輸出軸支撐軸承的激振力為零,消除了慣性力及慣性力矩在偏心軸和輸出軸支撐軸承處產生的振動。
2.同步帶實現了雙偏心曲柄軸同步輸入,使得三環減速器的嚙合力為定值,且對輸出軸支撐軸承的激振力理論上為零,對偏心軸支撐軸承的激振力也減小,嚙合力所產生的振動減小。
3.油膜浮動均載使得任一環板的實際的單位寬度上的嚙合力的最大值降低,從而減小了嚙合產生沖擊力的幅值,這樣,振動自然也減少。
4.油膜浮動均載時由于禍合的影響以及油膜的吸振功能,也使得減速器的振動減少。
5.一級同步帶傳動,降低了偏心軸的轉速,因而除減小了慣性力和慣性力矩的影響外,還使得激振力帶寬變窄,使得激發減速器及其附聯結構的廣泛共振的可能性減小。
5.3油膜浮動均載的兩級三環減速器的振動分析
由第三章的分析知,油膜力是復雜的非周期性函數,考慮到軸徑的振幅很小,對油膜力作線性化處理(所得函數仍含有耦合項),由于油膜剛度較轉臂軸承和偏心軸的剛度小的多,這里僅考慮油膜的影響,應用牛頓第二定律可列出該環板的運動微分方程(先不考慮環板的標號)。


由上面三個公式可看出,即使作了線性化處理,公式中仍然含有耦合項,即kxy、kyx、cxy和cyx一般不等于零,油膜正是這些特性的影響下具有良好的吸振能力。
由于方程數比未知數少一個,需補充一個方程。根據環板長度不變的條件,

式中 cxx、cxy、cyx、cyy、cxx′、cxy′、cyx′、cyy′——環板左、右支撐的油膜阻尼系數;
kxx、kxy、kyx、kyy、kxx′、kxy′、kyx′、kyy′——環板左、右支撐的油膜剛度系數。
這些系數可通過實驗測定。
(5-13)式可寫成:

設方程的特解為(不考慮環板的編號):

代入方程求解有:
A1(k11-m11ω2)+A2c11ω+B1k12+B2c12ω+C1k13+C2c13ω=px1
A1(-c11ω)+A2(k11-m11ω2)+B1(-c12ω)+B2k12+C1c13ω+C2k13=px2
A1k21+A2c21ω+B1(k22-m22ω2)+B2c22ω+C1(k23-m23ω2)+C2c23ω=py1
A1(-c21ω)+A2k21+B1(-c22ω)+B2(k22-m22ω2)+C1(-c23ω)+C2(k23-m23ω2)=py2
A1k31+A2c31ω+B1(k32-m32ω2)+B2c32ω+C1(k33-m33ω2)+C2c33ω=0
A1(-c31ω)+A2k32+B1(-c32ω)+B2(k32-m32ω2)+C1(-c33ω)+C2(k33-m33ω2)=0
寫成矩陣形式:
[N]6×6[A]6×1=[PN]6×1 (5-17)
式中 [A]=[A1 A2 B1 B2 C1 C2]T是一個6階線性代數方程組,其行列式不等于零,根據文獻的主元素消去法編寫的簡單的數值計算程序便可方便的求得。
[A]6×1=[N]-16×6[PN]6×1
特解中的常數項構成的方程組為:

這是一個3階線性代數方程組,其行列式不等于零,對上式求解有:

這樣,方程的特解便得到,通過油膜作用在任一環板支撐的力的表達式也就確定了。各環板作用在兩偏心軸的力上也隨之得到。
對新型油膜浮動三環減速器的曲柄軸軸承支撐,可用振動理論進行分析。
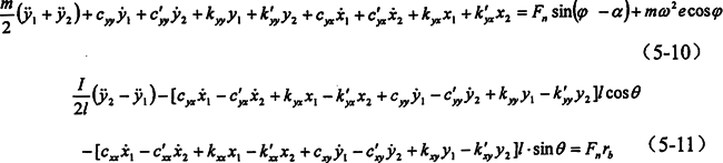
下面討論油膜力對曲柄軸的影響。由于是對稱布置,中間環板為單側環板質量的2倍且成180°相位差,其慣性力(力矩)完全平衡,不計其影響。應用牛頓第二定律可列出曲柄軸的運動微分方程(以左支撐的x軸為例):

式中 m0——偏心軸的質量的一半;c0——左支撐軸承的阻尼;
k0——左支撐軸承的剛度。
k0x00=Q0,此為振動的平衡位置。

這個方程的瞬態解為:
x0=H0e-αtsin(ωnt+θ0)+H1sin(ωt+β0-ψ) (5-22)
由Q1和Q2的表達式可以看出,兩側環板與中間環板通過油膜對高速軸的作用方向相反,互相抵消,即Q1和Q2較小,Q也較小;又由于油膜的剛度小于轉臂軸承的剛度,Q0也減小。
(5-22)式表明,環板的振動是以ωn和ω。為頻率的兩種振動的組合,其中以ωn為頻率的振動經過一段時間后將消失。
則方程的穩態解為:
x0=H1·sin(ωt+β0-ψ) (5-23)
對于與x坐標軸方向相垂直的y方向,也可仿上面過程進行推導,其結果與x坐標軸方向結論一致。另一高速軸也有一致的結論。由于實驗條件和時間所限,油膜的動特性系數尚未確定,故本文未給出數值解。但這不影響本文的分析和結論。
在樣機參數下,擠壓油膜剛度較小。三環減速器油膜浮動主要就是利用流體阻尼,來耗散振動體的振動能量,達到減小振動的目的。
5.4本章小結
本章在三環減速器受力分析和油膜浮動研究的基礎上,對油膜浮動均載兩級三環減速器的振動性能進行了系統研究。
分析表明:振動產生的主要原因在于高速軸受到的雙向沖擊、嚙合力波動以及慣性力(力矩)的作用,消除或減小這些因素的影響是筆者設計的主要目的。結合新型三環減速器樣機的振動分析,對油膜浮動兩級三環減速器的減振機理進行了研究,這為設計振動性能較好的三環減速器提供了理論依據。依據振動理論、變形協調條件以及流體動力潤滑理論,對油膜浮動兩級三環減速器的振動性能進行了研究,推導出了油膜浮動條件下轉臂軸承處和曲柄軸支撐軸承處的動態響應方程,揭示了油膜浮動均載裝置的減振原因。總的來說,油膜浮動兩級三環減速器有著良好的減振性能。
上一頁
下一頁