第6章 兩級三環減速器用于抽油機的探討
6.1 引言
有桿抽油方法是各油田最為廣泛使用的一種人工舉升采油法,占我國機械采油井的90%以上。有桿抽油設備的地面驅動部分就是抽油機。而減速器是抽油機的重要部件,其作用是傳遞動力和降低運動速度,將電動機的高速轉動(1450,96,735r/min)變為抽油機曲柄的低速轉動(4~15r/min)。由于抽油機的工況惡劣和在用的外嚙合減速器的特點,減速器的一級傳動齒輪壽命短,影響了抽油機的正常工作。三環減速器是在普通減速器技術的基礎上開發的一種新型傳動裝置,其基本件運動和受力均勻并充分利用了功率分流和內嚙合多齒接觸的原理,因而它具有體積小、重量輕(比普通軟齒面圓柱齒輪減速器輕1/3-2/3)、結構緊湊、傳動比大、傳動效率高(單級為92%-96%)、承載能力大等優點。筆者提出了一種以金屬彈性均載環作為均載和隔離振動元件的積極隔振的可用于抽油機的新型帶有同步帶傳動的完全平衡均載減振的三環減速器,該減速器齒輪傳動部分的慣性力和慣性力矩完全平衡,同步帶傳動實現了三環傳動的雙軸輸入和功率分流及均載,并克服了死點問題,彈性均載環實現了三環減速器均載和減振。本章筆者首先對一種新型抽油機進行了結構、運動和動力學研究,隨后提出了一種可用于抽油機的新型三環減速器,最后,根據振動理論對處于彈性支撐的輸出軸進行了動態受力分析,結果表明:該新型三環減速器完全可取代在用的減速器用在抽油機上,且新型三環減速器有著優越的動力學性能。
6.2 雙擺增程式抽油機的幾何尺寸計算及動力分析
6.2.1結構及工作原理
雙擺增程式抽油機的結構如圖6-1所示。其工作原理為:電機的高速旋轉運動,通過兩級三環減速器、四連桿機構轉變成游梁的往復擺動,游梁上的擺輪隨游梁一起擺動,再通過鏈條纏繞滑輪組傳動并帶動光桿上下運動,實現抽油過程。該機是利用鏈條行程是擺輪行程兩倍的原理,實現增程的。

6.2.2 雙擺增程式抽油機的幾何尺寸計算
雙擺增程抽油機幾何關系如圖6-2所示。

雙擺增程式抽油機主體機機由四連桿機構和滑輪組組成,各桿件的尺寸決定了抽油機的運動性能。相關的幾何參數計算公式如下:
(1)曲柄位置角φ,井口位于觀察者左側,曲柄鉛直且位于時針12點的位置時,φ=0,曲柄順時針旋轉為正。
(2)機架位置角φ0,當φ=0時,曲柄與機架K0所夾的角:

(3)當曲柄處于任意位置時的其它參數公式如下:

6.2.3 運動和動力分析
曲柄隨減速器輸出軸作勻速圓周運動,連桿作平面運動,游梁繞支架軸承中心擺動,安裝在游梁上的擺輪隨游梁一起擺動,通過鏈條繞滑輪組傳動,抽油機懸點加速度的大小是評價抽油機優劣的重要因素之一,外負荷是引起三環減速器振動的重要因素。
1.四桿機構的運動分析 曲柄角速度:
ω1=2πn/60,
式中 n——曲柄轉速,(r/min)。
連桿角速度:

游梁角速度:

連桿角加速度:

游梁角加速度:

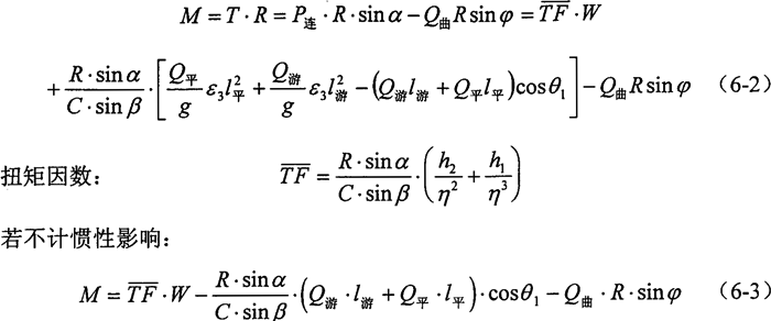
2.連桿力和曲柄軸扭矩計算 設地游梁上作用有鏈條拉力W2、W3,連桿作用力P連,游藝機梁支點o1的反作用力R平、R垂,游梁重和擺輪重的折合力Q游以及平衡重Q平。
對o1作力矩平衡式,得出P連:

式中 l平——平衡重質心到o1的距離;
l游——考慮擺輪后的游梁質心到o1的距離;
W——懸點載荷;
η——單滑輪的效率。
在曲柄銷處的作用力有切向力T,連桿作用力P連,曲柄折合力Q曲,曲柄軸承沿曲柄的反作用力P柄以及曲柄質量造成的離主力Q曲ω2R/g。
對曲柄軸中心o作力矩平衡式,得扭矩

公式(6-2)、(6-3)為雙擺機減速器曲柄軸扭矩的計算公式。
同型的雙擺機與塔架機相比,具有減速器配備功率低,整機高度低,重量輕,投資小等優點。
6.3 用于抽油機的兩級三環減速器
6.3.1 結構及工作原理
用于抽油機的新型兩級三環減速器的結構如圖6-3所示。

其工作原理為:電機軸上的小帶輪通過嚙合傳動,帶動同步帶運動,同步帶再通過嚙合傳動,帶動兩大帶輪同步旋轉,實現一級減速、均載和功率分流。相同的大帶輪使三環減速器的曲柄軸1和8同步旋轉,傳動環板上的內齒圈2, 3和4與輸出軸7上的外齒輪6相嚙合,形成了大傳動比,實現了二級減速及動力傳遞。三環減速器輪齒嚙合的均載由彈性均載環實現。采用平頂圓弧齒同步帶傳動作為一級減速的目的是進行功率分流并形成雙軸輸入以克服死點,同時還可增加減速器的傳動比,并使內齒環板的運動速度下降,這樣,能夠使減速器在重載高速的條件下,環板引起箱體5的振動較小。同時,可采用價格較低的轉速在1500r/min 以上的高速電機。
6.3.2結構特點及用于抽油機應注意的問題
設計的新型三環減速器由于在結構上采用了對稱布置的承載能力高(多齒嚙合)的內嚙合傳動,并利用了內齒環板上的內齒圈的空間體積,使完全相同( 2和4可看作為一塊)的兩塊內齒環板均勻的分擔輸出軸外齒輪上的載荷,這使每個輪齒所受的負荷較小。減速器是機械采油用抽油機的重要部件,目前,主要采用雙圓弧齒輪減速器,該部件采用的是兩級外嚙合傳動,傳動過程中的嚙合齒數較小,單齒受的力較大,一級傳動輪齒易發生破壞。同時,外嚙合使得減速器的體積和重量大。安裝在輸出軸軸承外圈和軸承孔座之間的彈性均載環的彈性變形使得輸出軸上的外齒輪浮動,可以補償減速器的制造、安裝誤差和傳動中的變形,實現三環減速器的均載和減振。針對抽油機的工況,我們認為,帶有同步帶傳動的完全平衡均載減振的新型三環減速器完全可用于抽油機,一級同步帶傳動既能實現三環傳動所需的同步輸入,又可通過調整大小兩同步帶輪的尺寸比例(調一級傳動比),實現調整抽油機的沖次,滿足生產需要。剎車裝置布置在輸入軸無帶輪一側。輸出軸處在減速器的中心,抽油機的兩根曲柄分別對稱安裝在輸出軸的兩外伸端上,這使得減速器受力合理。為了避免曲柄轉動時與輸入軸端的同步帶輪相碰,應使輸出軸的外伸端向外伸出長―些。
6.4用于抽油機的兩級三環減速器的振動分析
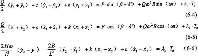
6.4.1動力學模型
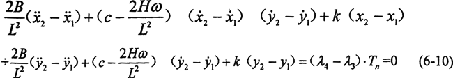
抽油機曲柄軸的彎曲和扭轉剛度較高,而設計的彈性支撐的剛度較低,又由于重載工況下,內嚙合時,嚙合的齒數較多,嚙合剛度波動小,可看成定值,且嚙合剛度遠高于彈性支撐剛度,故曲柄軸可簡化成水平布置的軸對稱剛性轉子在兩個完全相同的彈性支撐中回轉的形式,且輪齒的 的合點受恒定的嚙合力作用。如圖6-4所示。

設:彈性支撐的剛度和阻礙尼分別為k和c,輸出軸與曲柄和平衡塊構成的轉子的主中心軸慣性矩為H,赤道慣性矩為B,質量為Q,R為中心對回轉軸線的偏心距,L中心到支撐點的距離,左右彈性支撐上相應兩點的坐標分別為y1,x1和y2,x2。λ1,λ2,λ3,λ4為載荷分配不均勻的影響系數,可由均載試驗的結果或力平衡方程求得,若均載效果好,均載系數接近1,λ1,λ2,λ3,λ4的值近似為0。
依據牛頓第二定律和慣性中心運動的理論以及在相對運動中對于慣性中心的力矩理論,可得轉子的運動微分方程為:


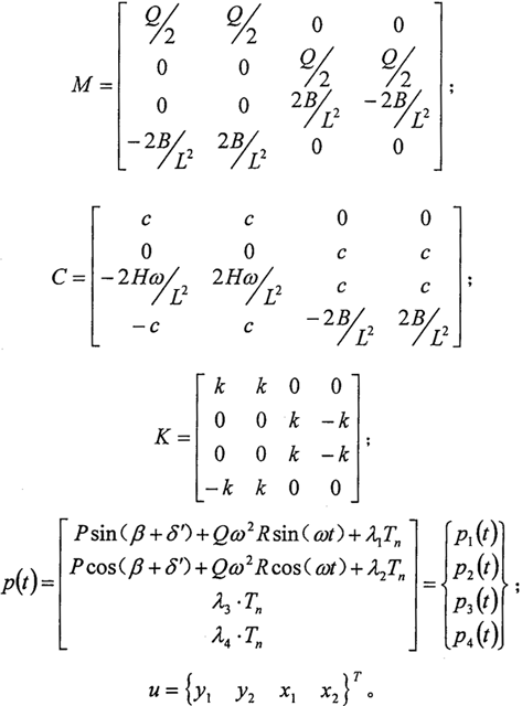
用矩陣形式表示為:

式中

方程中的慣性矩陣、阻尼矩陣和剛度矩陣均勻為非對角陣,故,該方程是一個相互耦合的二階常微分方程組。
6.4.2 激振力的處理
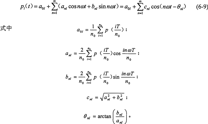
方程右端的激勵精圖治振力是復雜周期函數,依據傅里葉級數展開原量,可將非簡諧的周期性激振力展成多個頻率成整倍數關系的簡諧激振力函數之和。由前面分析知,連桿力分力、慣性力和曲柄軸扭矩均為曲柄轉角的函數,由于曲柄軸轉速恒定,故,激振力為時間的函數,設為Pl(t),(l=1,2,3,4)其周期為T,考慮到激振力函數復雜且連桿力中的懸點載荷W難以用數學表達式描述,積分難以實現,采用求和的方法求系數更為有效,以n0作為一個周期的等分區間數(一般取n0=36),時間區間為△t=T/n0,則它的傅里葉級數為:

上式中的各系數可通過自編的簡單計算機求和程序求得,均分網格n0越多,計算精度越高,取n0=36時的計算精度已足夠高了。
6.4.3 動態響應的求解方法
由于新型三環減速器的均載機構均載效果好,均載系數接近1,則:λ1,λ2,λ3,λ4的值近似為0。
則式(6-7)-(6-6),有:

對于對稱的新型三環減速器,觀察方程(6-10),x2=x1,y2=y1是方程的解。
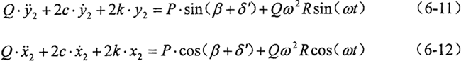
將上述關系代入式(6-4)和(6-5),有:

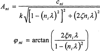
根據疊加原理,對方程(6-11)和(6-12)求解,可得系統在x和y方向的總響應分別是:

式中

這里,i是x或y。
上面討論了未考慮均載影響,即:均載系數為1,λ1,λ2,λ3,λ4的值為0時的新型三環減速器彈性支撐時的動態響應問題。若均載效果較差時,則需考慮λ1,λ2,λ3,λ4的影響,即使均載較好,均載系數的影響也是不可忽略的,這時需要對方程進行以復模態為基礎的復模態分析。
6.4.4討論
1.固有頻率的變化 安裝彈性均載環后,系統的質量不變,但是系統的剛度較安裝均載環前降低許多,由公式
知,系統無阻尼固有頻率也隨之降低。也就是說,彈性作用降低了沖擊力的幅值,使振動減弱。
2.同步帶傳動的影響 新型三環減速器增加了一級同步帶傳動,帶的彈性作用可有效的吸收部分高速軸運動時產生的振動,同時實現了兩曲柄軸的扭矩分布均勻,克服了單軸輸入時的高速軸受到的水平方向的雙向沖擊,這使得新型三環減速器的受力合理,傳動效率高,產生的沖擊力變小。
3.新型結構對振動的影響 采用一級傳動后,二級傳動的輸入軸的轉速降低,二級傳動中的單片內齒環板所產生的慣性力和慣性力矩較原三環減速器的要小的多(僅為一級帶傳動比的平方分之一),整機的慣性力和慣性力矩為零,使得慣性力(力矩)引起的振動減弱。
6.5本章小結
本文依據功率分流、彈性環均載減振、同步齒形帶緩沖及吸振和機構動力平衡原理,提出了一種具有圓弧齒同步帶傳動的完全平衡、均載減振,偏心相位差為180 。的新型三環減速器。并對該減速器用于抽油機進行了研究。
根據機構學理論和力學原理,建立了雙擺增程式抽油機的幾何關系式和運動學和動力學方程,為振動分析提供了激振力研究了新型減速器用于抽油機的可行性,提出了用于抽油機的新型三環減速器設計中應注意的幾個問題。
依據振動理論建立了具有彈性支撐的輸出軸的動力學分析模型,采用周期函數的傅里葉級數展開,將復雜的激振力分解成為多個頻率成整倍數關系的簡諧激勵函數,其系數采用在區間內均分后再求和的方法得到。依據牛頓第二定律和慣性中心運動的理論以及在相對運動中對于慣性中心的力矩理論,導出了相互耦和的運動微分方程,并給出了動態響應表達式,結果表明,輸出軸兩端支撐同步,保證了輪齒的良好嚙合。該新型減速器可用作抽油機的傳動裝置。
上一頁
下一頁