2.2.4 半齒輪聯軸器的剛度主要與內外齒輪齒對的剛度以及輪齒的位置有關[34]。不計輪體的變形。齒對剛度KT=l/q,其中q為內齒、外齒柔度之和,計算可采用式(2.21)。
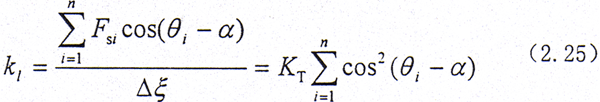
(1)橫向剛度系數kl
設在ξ方向給小位移△ξ,見圖2.6,則彈性位移為dsi=△ξ|cos(θi-α)|,產生的彈性力Fsi=KTdsi


式中 θi=2iπ/n
α—壓力角
n—齒數
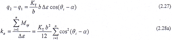
(2)轉角剛度系數ka
在外載荷較大時,則齒輪聯軸器內外齒面之間接觸良好。設齒面上的載荷是線性分布,其集度分別為q1、q2,如圖2.7所示。在繞η方向給一小轉角△δ,則在第i個齒對產生的扭矩為Mηi。b是穩態時內外齒之間的有效接觸齒寬。



由式(2.28)可見,半齒輪聯軸器系統的轉角剛度ka與接觸齒寬b的平方成正比。轉子系統在振動時,接觸齒寬b會隨內外齒輪間的相對轉角而發生變化,因此轉角剛度是轉角的非線性函數。但在穩態和小振動的前提下,可以進行線性化處理。如果在載荷較輕時,齒面間的接觸不緊密,可采用Marmol模型,見圖2.8。
Marmol的轉角剛度模型[34]為

*注:(2.28b)式在文獻[34]中推導有誤。

(3)扭轉剛度系數kt
設繞z方向給一小扭轉角△θ,如圖2.9所示,則在第i對齒對上產生的扭矩為△Mci,設rp為節圓半徑。則有


2.4.3 半齒輪聯軸器的阻尼
齒輪聯軸器中的阻尼主要是由于內外齒面之間的滑動摩擦力產生,工作時在其中注滿潤滑油,以減小齒面間的摩擦。在轉子動力學中,由摩擦而產生的阻尼大多采用等效粘性阻尼的方法來計算[34],即一周內向接觸面上的摩擦力消耗的能量等于等效粘性阻尼在同一周內所消耗的能量。齒輪聯軸器在振動時,內外齒輪軸線將發生渦動,而不是在一個橫向平面內振動,因此每個接觸的齒對間均要發生摩擦,并假設各個齒對情況相同。
(1)橫向阻尼系數cl
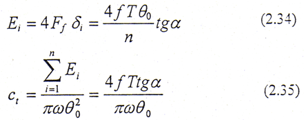
設內、外齒輪軸線間有一相對橫向振幅δ0,如圖2.10所示,則第i對齒面相對滑動的位移為δi=δ0/cosα,齒面滑動摩擦力為Ff=fT/rpncosα,其中f為齒面間的滑動摩擦系數,第i對齒對上的摩擦力消耗的能量為Ei=4Ffδi


式中 ω為振動角速度
上式分母中的系數2是因為轉動一周要在ξ,η兩個方向均要消耗能量。
(2)轉角阻尼系數ca
設內、外齒輪軸線間有一相對轉角振幅ε0,如圖2.11所示,在齒z處dz上的摩擦力
,此處的位移為zε0/cosα。

第i對齒對上的摩擦力消耗的能量

(3)扭轉阻尼系數ct
設內、外齒輪有一相對扭轉振幅θ0,如圖2.12所示,則第i對齒面間相對滑動位移為δi=rpθ0sinα。第i對齒對上的摩擦力消耗的能量為


以上建立了齒輪聯軸器的剛度和等效粘性阻尼系數。
2.5 作用在齒輪聯軸器上彎矩的實驗研究
山內進吾等[31]對作用于鼓形齒輪聯軸器上的彎矩(Mx-φ)進行了實測,對直齒聯軸器卻沒有論及。而目前在實際的高速轉子系統(例如在DH型和大化肥用透平壓縮機組)中主要采用的是直齒聯軸器。在后面的分析計算中,我們將發現齒輪聯軸器的轉角剛度對系統的影響較大,因此有必要對其進行實驗研究。通過對作用于齒輪聯軸器上彎矩的測試結果,來判斷齒輪聯軸器轉角剛度的大小,這樣可以在實際系統的動力學計算中,結合理論分析對聯軸器的動力特性作出比較合理的選擇。為此我們設計了如圖2.13所示的試驗裝置,取二個齒輪聯軸器,其中一個為直齒聯軸器(內齒套、外齒輪均為直齒),另一個為鼓形齒聯軸器(內齒套為直齒、外齒輪為鼓形齒)。對這二種齒輪聯軸器分別測量其FMx-φ的變化關系。通過這個關系可以判定內外齒之間的有效接觸齒寬及聯軸器的轉角剛度。
2.5.1 測試系統簡介

齒輪聯軸器的內齒套固定在一個三爪卡盤上,聯軸器的外齒輪插入內齒套與之相嚙合。采用3個電渦流傳感器,傳感器的布置見圖2.13,試驗臺的實拍照片見圖2.14。中間軸的一端與外齒輪固接,而另一端則用于施加扭矩和施加繞X方向的彎矩。扭矩和彎矩的大小由法碼的重量和桿或軸的長度來確定。作用于聯軸器上的扭矩
T=P·L1 (2.36)
式中 P為扭矩加載中法碼的重量,L1為桿的長。
作用于聯軸器上的彎矩
Mx=F·L2 (2.37)
式中 F為彎矩加載中法碼的重量,L2為中間軸的長度。
在實驗時通過改變法碼的重量P和F的大小來控制扭矩和彎矩的變化。這樣再經過傳感器、顯示器等可以得到各測點在z方向的位移z,測點的位移變化
△z=z-z0 (2.38)
式中 z0為測點在z方向的初始位移。
由于齒輪聯軸器的轉角位移變化△φ較小,故有
△φ≈△z/rp (2.39)
齒輪聯軸器的轉角位移
φ=φ0+△φ (2.40)
式中 φ0為齒輪聯軸器的初始轉角位移
根據作用于外齒輪上的彎矩和在內齒套測點處的轉角,就可以作出在某一工況下Mx-φ的關系曲線,進而可以求出齒輪聯軸器在該工況下的轉角剛度。

2.5.2 測試結果及分析
試驗用齒輪聯軸器參數如下:
直齒齒輪聯軸器:模數m=2.0mm;齒數n=20;實際齒寬B=15mm;壓力角α=20°。選擇二種扭矩工況進行測試T1=4.0kg·m,T2=5.5kg·m。
鼓形齒齒輪聯軸器:模數m=2.0mm;齒數n=20;實際齒寬B=15mm;壓力角α=20°。鼓形量為96;選擇二種扭矩工況進行測試T1=3.0kg·m,T2=5.5kg·m。
直齒聯軸器和鼓形齒聯軸器的測量結果,Mx-φ的關系曲線分別見圖2.15和圖2.16。橫坐標為齒輪聯軸器內外齒輪相對轉角位移,縱坐標為繞X軸的彎矩Mx。
(1)從Mx-φ之間的關系圖來看不論是直齒聯軸器還是鼓形齒聯軸器都明顯存在遲滯現象,即在某一處扭矩作用下,彎矩Mx從加載→卸載→反向加載→反向卸載的過程,Mx-φ之間形成一條有規律的封閉曲線,這主要是在加載和卸載的過程中由于齒面間的摩擦力方向的改變所造成的,在山內進吾[31]的實驗中也明顯存在。在同一扭矩作用下,直齒聯軸器進行了二個從加載到卸載的過程,鼓形齒聯軸器則進行了四個這樣的過程。由實驗結果來看,就總體而言重復性較好。
(2)隨著彎矩Mx的增大,轉角φ增大。對于直齒聯軸器而言,Mx-φ的關系是非線性的;對于鼓形齒聯軸器來說,Mx-φ的關系可以近似看成為線性的。從理論上來看,之所以出現這樣的現象是因為鼓形齒聯軸器內外齒面間的有效接觸寬度對轉角的變化不敏感,而直齒聯軸器則比較敏感。由于作用在聯軸器上的扭矩較小,因此內外齒間可能出現跨齒接觸情況,當轉角φ增大時,接觸齒寬增大,轉角剛度也增大,從而造成直齒聯軸器Mx-φ之間的關系是非線性的。
(3)比較圖2.15a和2.15b、圖2.16a和2.16b可知。隨扭矩T的增大,遲滯回線所圍的面積增大,表明在同一周內齒面間的摩擦力(力矩)隨扭矩T而增大,這與實際情況相符。
(4)由上面的實驗結果來看,不論是直齒聯軸器還是鼓形齒聯軸器,在一定的條件下,聯軸器所產生的彎矩Mx不大,這從另一個側面反應了齒面之間的有效接觸齒寬是比較小的。
(5)對鼓形齒聯軸器在加載階段轉的平均轉角剛度ka進行了計算,結果如下:在T=3.07kg·m時,ka≈9.2×104kg·mm;在T=5.50gk·m時,ka≈1.1×105kg·mm。對于直齒聯軸器Mx-φ的關系呈現出非線性,轉角剛度ka即為曲線的斜率,從圖2.15可知轉角剛度ka是變化的。在轉角取大值時,ka值較大;在轉角取小值時,ka值比較小。為了便于比較,在此對文獻[31]中(其中參數為:鼓形齒輪聯軸器模數為2.5,齒數為35,T=15.0kg·m,鼓形量為113~140微米)的測試結果也進行了計算,結果為ka≈9.1×105kg·mm,造成二者結果的差距主要是外載荷和由于齒輪結構參數的不同而引起齒對剛度具有相當大的差別,但從總體來說這一轉轉角剛度的數量級不大。因此在實際系統的動力學分析中,齒輪聯軸器的轉角剛度應取一小量。

2.6 小結
首先根據內嚙合的特點,本章提出了適合內嚙合齒輪輪齒變形和剛度計算的二梯形當量齒形法,導出了上下二個梯形的彎曲變形、剪切變形、由輪齒基體的彈性傾斜所引起的輪齒變形以及輪齒材料整體壓縮變形的計算公式,并將其應用到齒輪聯軸器的剛度分析中,通過實例計算和有限元法分析,結果表明用二梯形當量齒形法來計算齒輪聯軸器齒對的剛度具有良好的精度,能滿足工程計算要求。然后對齒輪聯軸器進行了受力分析,根據幾個基本的假設,用橫向剛度、轉角剛度、扭轉剛度、橫向阻尼、轉角阻尼和扭轉阻尼這六個動力系數來刻劃齒輪聯軸器的動力學行為。最后通過對作用于直齒和鼓形齒這二種聯軸器上的彎矩進行了實測。研究結果顯示對于鼓形齒齒輪聯軸器而言轉角與彎矩近似為線性關系,而對于直齒齒輪聯軸器這一關系則是非線性的。但就總體頁言在外載荷和轉角均較小時,聯軸器上作用的彎矩和轉角剛度均不大。
上一頁
下一頁