第三章 對中齒輪聯軸器系統的彎曲振動和扭轉振動
3.1 引言
齒輪聯軸器內外齒輪軸線在對中和不對中二種情況下,由于內外齒輪輪齒的接觸狀態不同,使得由齒輪聯軸器連接的轉子系統的運動形式存在差異。從理論上講,軸線嚴格對中,則各齒上的受力和變形完全相同,因而在齒輪聯軸器橫向上的力學特性也完全相同[34];而在不對中時,則正好相反,因此相應的力學模型也會有所不同。本章在上一章的基礎上,首先根據拉格朗日方程重點來討論半齒輪聯軸器在對中時,系統運動微分方程的建立過程,然后對一個由齒輪聯軸器連接的二個Jeffcott轉子所組成的系統(軸承—轉子—齒輪聯軸器系統)進行了比較詳細的數值分析。有關齒輪聯軸器在不對中時的建模和分析將在第五、第六、第七章中作詳細的討論。
在軸承—轉子—齒輪聯軸器系統的建立過程中要涉及到軸承、轉子和齒輪聯軸器這三部件的模化。在以小擾動為基礎的線性系統中,一般將滑動軸承的油膜力用八個線性化的剛度和阻尼系數來表征;而將轉子離散成為多個無質量的彈性軸段及具有質量和轉動慣量的多個剛性圓盤,主要的方法有集總參數法和有限元法,具體的作法參見文獻[90]。齒輪聯軸器作為整體系統的一個子系統,一般有二對齒數相等內外齒相嚙合的齒輪和相應的軸段組成,這樣自然可以將其視為簡單的軸般結構,將其中齒輪及軸段的質量和轉動慣量分別等效到相應的結點上,齒輪嚙合處的力學模型由上一章的六個剛度和阻尼系數給出。由于二對齒輪的嚙合建模完全類似,所以在此我們重點來討論一對嚙合的齒輪處,即半齒輪聯軸器系統的建模問題。并以此模型從理論上探討軸承—轉子—齒輪聯軸器系統的失穩機理。通過數值方法分析齒輪聯軸器對整體系統失穩轉速的影響,并著重與等效軸計算方法[6]進行比較。計算了在多種工況下系統的臨界轉速和不平衡響應。
3.2 半齒輪聯軸器系統運動方程
設將整個軸承—轉子—齒輪聯軸器系統劃分成n個軸段和n個結點,在第j個結點處存在一個半齒輪聯軸器系統,如圖3.1所示。將外齒輪和內齒套均看作一當量圓盤,并滿足小擾動假設,不計軸向運動,則圓盤的運動可用其中心的位移(xj,yj)和相應的偏轉角(φj,ψj,θj)來表示,其中三個偏轉角的意義見圖3.2。設oxyz為固定坐標系,oξηz為相應的旋轉坐標系,下面就以此為模型用拉格朗日方程來建立該子系統的運動微分方程。


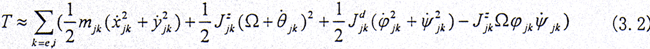
3.2.1 動能
半齒輪聯軸器系統的動能包括內齒套和外齒輪的平動動能和轉動動能

下標i,e分別表示內齒套和外齒輪。
對于半齒輪聯軸器系統,內齒套和外齒輪的齒數是相等的,因此繞轉軸的轉動角速度均為Ω加上一個相應的小量
,在小偏離的情況下,略去高階小量后得系統的動能[90]為

其中 Ω為轉子的轉動角速度;
mjk (k=e,i)分別為外齒輪和內齒套的質量;
Jljk(k=e,i l=d,z)分別為外齒輪和內齒套的赤道轉動慣量和極轉動慣量。
3.2.2 彈性勢能
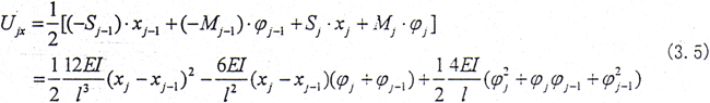
(1)軸段的彎曲彈性勢能,參見圖3.3。

其中 Sj-1,Mj-1,Nj-1,Sj,Mj,Qj,Nj分別為作用于第j-1、j個結點處軸截面上的剪力和彎矩,根據平衡方程則第j個軸段在x方向

式中 EI為軸段截面的抗彎剛度。
由式(3.3)可得

第j個軸段在x方向的彎曲彈性勢能[91]

同理可得y方向的彎曲彈性勢能。
(2)軸段的扭轉彈性勢能,參見圖3.4。

第j個軸段的扭轉彈性勢能

式中 GIp為軸段截面的抗扭剛度。
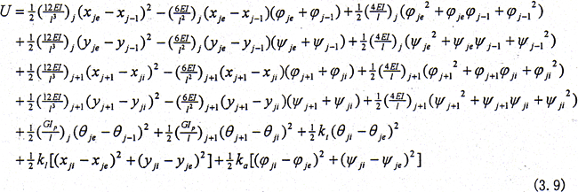
(3)半齒輪聯軸器系統的彈性勢能
第j個軸段的總彈性勢能
Uj=Ujx+Ujy+Ujt (3.7)
半齒輪聯軸器系統的彈性勢能包括左右軸段和聯軸器的彈性勢能
U=Uj+Uie+Uj+1 (3.8)
將以上各式代入即得

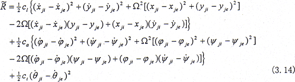
3.2.3 耗散函數
系統的能量耗散主要來自軸承的油膜阻尼和齒輪聯軸器的內阻尼。在此暫不考慮軸承的油膜阻尼部分,對于聯軸器的內阻尼所耗散的能量是與聯軸器內外齒輪的相對運動有關,因此建立耗散函數時,應該在旋轉坐標系中。半齒輪聯軸器系統的耗散函數為

由圖3.2中的坐標變換可得

將式(3.12)、(3.13)代入式(3.10)中得

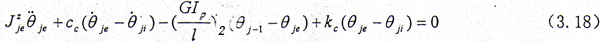
3.2.4 運動微分方程
根據拉格朗日方程

將式(3.2)、式(3.9)和式(3.14)分別代入式(3.15),就可以得到系統的運動方程。由于彎曲運動和扭轉運動不耦合,所以將二者分開以便于討論。
(1)半齒輪聯軸器的彎曲運動方程

這樣就得到了第j個結點(外齒輪、內齒套)處的彎曲運動微分方程。
(2)半齒輪聯軸器的扭轉運動方程
在外齒輪處

在內齒套處

3.3 軸承—轉子—齒輪聯軸器系統的運動微分方程
(1)系統的彎曲運動微分方程
轉子上各結點處(1,2,…,j-1)的彎曲運動微分方程可參見文獻[90]。將上面推得的第j個結點(即半齒輪聯軸器處)的彎曲運動微分方程合在一起就可以得到轉子—齒輪聯軸器系統的彎曲運動微分方程。如果在轉子的第i個結點處具有滑動軸承支承,則只要在第i個結點處的運動方程中直接加入反應軸承的八個油膜剛度和阻尼系數,這樣就可以得到整體系統的軸承—轉子—齒輪聯軸器耦合系統的彎曲運動微分方向,簡寫成

式中 {q}={x1 y1 φ1 ψ1 … xje yje φje ψje xji yji φji ψji … xn yn φn ψn}T
在式(3.20)中,[M],[C],[K]分別為整體系統的廣義質量、阻尼和剛度矩陣,這三個矩陣是對稱陣;而[G]是陀螺力陣,[S]是廣義循環力(或稱之為廣義約束阻尼力)陣,這二個矩陣是反對稱陣;{F}為外激振力陣。
(2)系統的扭轉運動微分方程
同理可以寫出轉子上各結點處(1,2,…,j-1)的扭轉運動方程,參見文獻[90]。再將上面得到的第j個結點(即半齒輪聯軸器處)的扭轉運動微分方程合在一起就可以得到整體系統的扭轉運動微分方程。簡寫為

式中 {β}={θ1 … θie θii … θn}T;
[J],[Cβ],[Kβ]分別為系統的轉動慣量陣,扭轉阻尼力矩和扭轉剛度陣;
{Fβ}為外扭轉激振力矩陣。
由于扭轉振動的內阻尼不存在自激,所以下面我們重點討論整體系統的彎曲振動。
3.4 齒輪聯軸器內阻尼引起自激振動的機理
在單自由度系統中,自激振動是由于負阻尼作用引起的,而在多自由度系統中就要復雜得多。并非一定象單自由度系統那樣純粹出于負阻尼,也可能由于各自由度之間的耦合作用引起不穩定振動。
對于具有內阻尼的簡單耦合系統

設方程的解為

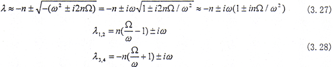
則式(3.22)的特征方程為
(mλ2+cλ+k)2+(Ωc)2=0 (3.24)
令
2n=c/m, ω2=k/m (3.25)
則方程的特征值為

一般而言n=c/2m是很小的,故有

從λ1,2可以看出,在轉子系統中,當Ω/ω>1,即轉子的轉動角速度大于系統的固有頻率值時,則由{x y}T={X Y}Ten(Ω/ω-1)t·eiωt組成的振幅隨時間增大,并以eiωt的形式振動,這樣振動隨時間不斷的增大,即產生自激振動。因此在轉子的轉動角速度Ω大于系統的固有頻率時,系統便會發生頻率為ω的自激振動,并且隨著Ω的增大(指超過ω后),系統的振動越來越敏感,這就是內阻尼引起自激振動的機理。當然在Ω/ω>1時,實際系統并不立即失穩,因為此時系統的非線性特性會顯現出來,在此我們不作討論。

對于式(3.20)的穩定性分析要復雜得多,形如式(3.14)的耗散函數首見于文獻[92]。美國學者Kane等在研究耗散的重力定向自旋衛星穩定性時發現的,與之相關的力被后來的學者稱之為約束阻尼,并沿用至今,而在轉子動力學中則多被稱為循環力[93].如果在系統運動方程中沒有循環力陣[S],則系統的穩定性可以利用著名的Kelvin-Tait-Chetaev定理來分析,但是當[S]≠0時,這個定理就不適用了。Mingori[94]、李俊峰等[95]對此作了專門的研究,給出了在某些特定條件下的判穩方法。文獻[94]仍要求解一同階矩陣的特征值;而文獻[95]中的條件則要求det[G]≠0,因而式(3.20)不滿足,比較可行的方法是運用Routh-Hurwitz法來判穩,但也只能解決低階系統,對于高階系統只能進行數值計算。一個比較簡單的物理解釋是在式(3.16)和式(3.17)中,存在首促進渦動的耦合力(clΩx)和耦合力矩(caΩφ)項。下面以耦合力(clΩx)為例來加以說明。設轉子的轉動方向和渦動方向如圖3.5所示,耦合力與軸的轉動方向相同,并且隨轉子轉動角速度Ω的增大而增大,在Ω高于某一極限值時,這個耦合力會超過外阻尼使軸心產生一個與該力同向的加速度,這個加速度使軸心軌跡發散,即系統失穩。
實際上從式(3.16)和式(3.17)可知,由于聯軸器的內阻尼使方程的最后一項產生交叉耦合并呈反對稱,而正是此項的出現會降低系統的穩定性,這也是轉子動力學中內阻尼引起的各種自激振動的共同特性。
上一頁
下一頁